Suppr超能文献

基于肥胖和动脉粥样硬化标志物预测加纳绝经后女性的代谢综合征。

Prediction of metabolic syndrome among postmenopausal Ghanaian women using obesity and atherogenic markers.

机构信息

Department of Biochemistry and Biotechnology, College of Science, Kwame Nkrumah University of Science and Technology, Kumasi, Ghana.

出版信息

Lipids Health Dis. 2012 Aug 10;11:101. doi: 10.1186/1476-511X-11-101.

Abstract

BACKGROUND

Metabolic syndrome (MetS) is an important health problem which puts individuals at risk for cardiovascular diseases and type 2 diabetes as well as obesity-related cancers such as colon and renal cell in men, and endometrial and oesophageal in women.

OBJECTIVE

This study was aimed at examining how obesity indicators and related determinants influence metabolic syndrome, and how the factors can be used to predict the syndrome and its cut-offs in postmenopausal Ghanaian women.

METHODS

Two hundred and fifty (250) Ghanaian subjects were involved in the study with one hundred and forty-three (143) being premenopausal women and one hundred and seven (107) postmenopausal women. The influence of traditional metabolic risk factors including high blood pressure, dyslipidemia and glucose intolerance on obesity and atherogenic indices i.e. body mass index (BMI), waist circumference (WC), waist-to-hip ratio (WHR), Waist-to-thigh ratio (WTR), waist-to-height ratio (WHtR), high density lipoprotein cholesterol to total cholesterol ratio (HDL-C/TC), high density lipoprotein cholesterol to low density lipoprotein ratio (HDL-C/LDL-C) and triglyceride to high density lipoprotein cholesterol ratio (TG/HDL-C) were identified according to the Harmonization (H_MS) criterion.

RESULTS

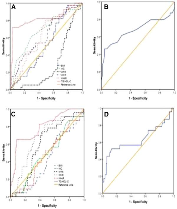
The predominant anthropometric marker that significantly influence metabolic risk factors among the pre- and postmenopausal women was waist-to-hip ratio (premenopausal: p- 0.004, 0.026 and 0.002 for systolic blood pressure (SBP), fasting blood glucose (FBG) and HDL-C; postmenopausal: p-0.012, 0.048, 0.007 and 0.0061 for diastolic blood pressure (DBP), FBG, triglyceride (TG) and high density lipoprotein cholesterol (HDL-C) respectively). Using the receiver operating characteristic (ROC) analysis, the area under the curve for WC, WHR, TG/HDL-C and HDL-C/TC among postmenopausal women were estimated at 0.6, 0.6, 0.8 and 0.8 respectively. The appropriate cut-off values for WC, WHR, TG/HDL-C and HDL-C/TC that predicted the presence of metabolic syndrome were 80.5 cm, 0.84, 0.61 and 0.34 respectively.

CONCLUSION

The presence of metabolic syndrome among Ghanaian postmenopausal women can be predicted using WC, WHR, TG/HDL-C and HDL-C/TC.

摘要

背景

代谢综合征(MetS)是一个重要的健康问题,使个体面临心血管疾病和 2 型糖尿病的风险,以及肥胖相关的癌症,如男性的结肠癌和肾癌,以及女性的子宫内膜癌和食道癌。

目的

本研究旨在探讨肥胖指标和相关决定因素如何影响代谢综合征,以及这些因素如何用于预测绝经后加纳女性的代谢综合征及其切点。

方法

本研究纳入了 250 名加纳受试者,其中 143 名为绝经前女性,107 名为绝经后女性。根据协调(H_MS)标准,确定了包括高血压、血脂异常和葡萄糖不耐受在内的传统代谢危险因素对肥胖和动脉粥样硬化指标(即体重指数(BMI)、腰围(WC)、腰臀比(WHR)、腰大腿比(WTR)、腰高比(WHtR)、高密度脂蛋白胆固醇与总胆固醇比值(HDL-C/TC)、高密度脂蛋白胆固醇与低密度脂蛋白比值(HDL-C/LDL-C)和甘油三酯与高密度脂蛋白胆固醇比值(TG/HDL-C))的影响。

结果

绝经前和绝经后女性中,显著影响代谢危险因素的主要人体测量标志物是腰臀比(premenopausal:p-0.004、0.026 和 0.002 用于收缩压(SBP)、空腹血糖(FBG)和高密度脂蛋白胆固醇(HDL-C);postmenopausal:p-0.012、0.048、0.007 和 0.0061 用于舒张压(DBP)、FBG、甘油三酯(TG)和高密度脂蛋白胆固醇(HDL-C))。使用受试者工作特征(ROC)分析,绝经后女性的 WC、WHR、TG/HDL-C 和 HDL-C/TC 的曲线下面积分别估计为 0.6、0.6、0.8 和 0.8。WC、WHR、TG/HDL-C 和 HDL-C/TC 预测代谢综合征存在的适当切点值分别为 80.5cm、0.84、0.61 和 0.34。

结论

加纳绝经后女性代谢综合征的发生可以通过 WC、WHR、TG/HDL-C 和 HDL-C/TC 来预测。

https://cdn.ncbi.nlm.nih.gov/pmc/blobs/0872/3479426/f3f589e79258/1476-511X-11-101-1.jpg

文献检索

告别复杂PubMed语法,用中文像聊天一样搜索,搜遍4000万医学文献。AI智能推荐,让科研检索更轻松。

立即免费搜索

文件翻译

保留排版,准确专业,支持PDF/Word/PPT等文件格式,支持 12+语言互译。

免费翻译文档

深度研究

AI帮你快速写综述,25分钟生成高质量综述,智能提取关键信息,辅助科研写作。

立即免费体验