Department of Neurosurgery, The Second Affiliated Hospital, School of Medicine, Zhejiang University, Hangzhou 310000, PR China.
J Neuroinflammation. 2012 Aug 11;9:194. doi: 10.1186/1742-2094-9-194.
High-mobility group box 1 (HMGB1), originally described as a nuclear protein that binds to and modifies DNA, is now regarded as a central mediator of inflammation by acting as a cytokine. However, the association of HMGB1 in the peripheral blood with disease outcome and cerebrovasospasm has not been examined in patients with aneurysmal subarachnoid hemorrhage.
In this study, 303 consecutive patients were included. Upon admission, plasma HMGB1 levels were measured by ELISA. The end points were mortality after 1 year, in-hospital mortality, cerebrovasospasm and poor functional outcome (Glasgow Outcome Scale score of 1 to 3) after 1 year.
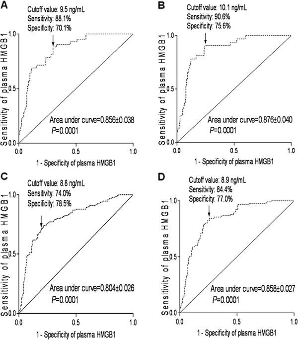
Upon admission, the plasma HMGB1 level in patients was statistically significantly higher than that in healthy controls. A multivariate analysis showed that the plasma HMGB1 level was an independent predictor of poor functional outcome and mortality after 1 year, in-hospital mortality and cerebrovasospasm. A receiver operating characteristic curve showed that plasma HMGB1 level on admission statistically significantly predicted poor functional outcome and mortality after 1 year, in-hospital mortality and cerebrovasospasm of patients. The area under the curve of the HMGB1 concentration was similar to those of World Federation of Neurological Surgeons (WFNS) score and modified Fisher score for the prediction of poor functional outcome and mortality after 1 year, and in-hospital mortality, but not for the prediction of cerebrovasospasm. In a combined logistic-regression model, HMGB1 improved the area under the curve of WFNS score and modified Fisher score for the prediction of poor functional outcome after 1 year, but not for the prediction of mortality after 1 year, in-hospital mortality, or cerebrovasospasm.
HMGB1 level is a useful, complementary tool to predict functional outcome and mortality after aneurysmal subarachnoid hemorrhage. However, HMGB1 determination does not add to the accuracy of prediction of the clinical outcomes.
高迁移率族蛋白 B1(HMGB1)最初被描述为一种与 DNA 结合并修饰 DNA 的核蛋白,现在被认为是一种细胞因子,是炎症的中心介质。然而,在伴有动脉瘤性蛛网膜下腔出血的患者中,外周血 HMGB1 与疾病结局和脑血管痉挛之间的关系尚未得到研究。
本研究纳入了 303 例连续患者。通过 ELISA 法测定入院时患者的血浆 HMGB1 水平。终点事件为 1 年后的死亡率、住院期间死亡率、脑血管痉挛和 1 年后的不良功能结局(格拉斯哥结局量表评分为 1 至 3 分)。
入院时,患者的血浆 HMGB1 水平明显高于健康对照组。多变量分析显示,血浆 HMGB1 水平是 1 年后不良功能结局和死亡率、住院期间死亡率和脑血管痉挛的独立预测因子。受试者工作特征曲线显示,入院时的血浆 HMGB1 水平对 1 年后的不良功能结局和死亡率、住院期间死亡率和脑血管痉挛具有统计学意义的预测作用。HMGB1 浓度曲线下面积与 WFNS 评分和改良 Fisher 评分对 1 年后的不良功能结局和死亡率以及住院期间死亡率的预测相当,但对脑血管痉挛的预测则不然。在联合逻辑回归模型中,HMGB1 改善了 WFNS 评分和改良 Fisher 评分对 1 年后不良功能结局的预测曲线下面积,但对 1 年后死亡率、住院期间死亡率或脑血管痉挛的预测则不然。
HMGB1 水平是预测动脉瘤性蛛网膜下腔出血后功能结局和死亡率的有用、互补工具。然而,HMGB1 测定并不能提高对临床结局预测的准确性。