Suppr超能文献

计算创伤分诊精度:不同严重创伤定义的影响

Calculating trauma triage precision: effects of different definitions of major trauma.

作者信息

Lossius Hans Morten, Rehn Marius, Tjosevik Kjell E, Eken Torsten

机构信息

Department of Research and Development, The Norwegian Air Ambulance Foundation, Holterveien 24, PO Box 94, NO-1441 Drøbak, Norway.

出版信息

J Trauma Manag Outcomes. 2012 Aug 17;6(1):9. doi: 10.1186/1752-2897-6-9.

Abstract

BACKGROUND

Triage is the process of classifying patients according to injury severity and determining the priority for further treatment. Although the term "major trauma" represents the reference against which over- and undertriage rates are calculated, its definition is inconsistent in the current literature. This study aimed to investigate the effects of different definitions of major trauma on the calculation of perceived over- and undertriage rates in a Norwegian trauma cohort.

METHODS

We performed a retrospective analysis of patients included in the trauma registry of a primary, referral trauma centre. Two "traditional" definitions were developed based on anatomical injury severity scores (ISS >15 and NISS >15), one "extended" definition was based on outcome (30-day mortality) and mechanism of injury (proximal penetrating injury), one "extensive" definition was based on the "extended" definition and on ICU resource consumption (admitted to the ICU for >2 days and/or transferred intubated out of the hospital in ≤2 days), and an additional four definitions were based on combinations of the first four.

RESULTS

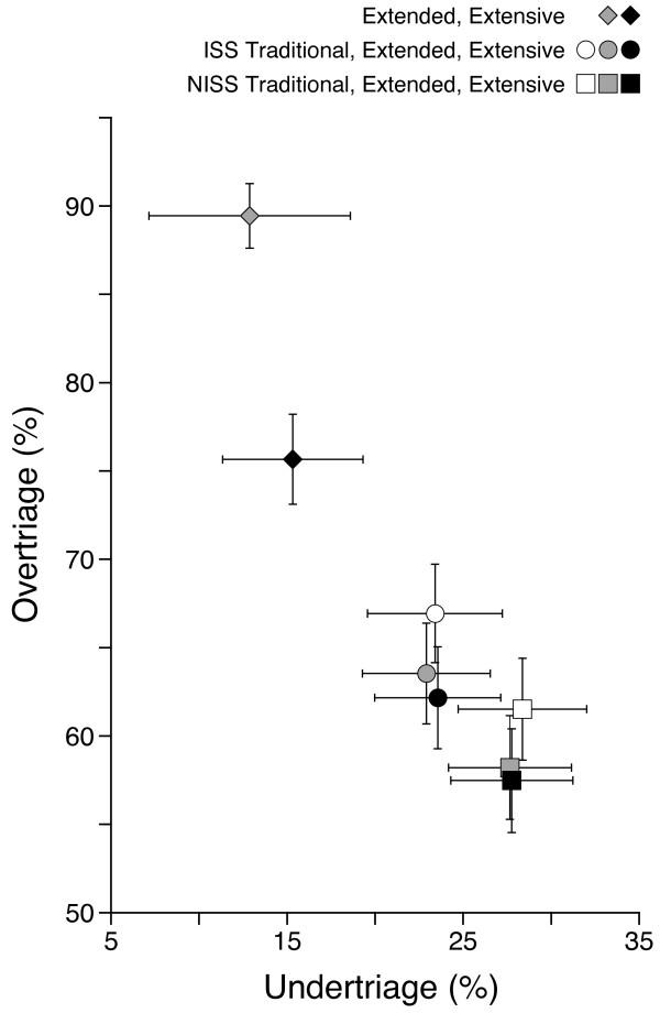
There were no significant differences in the perceived under- and overtriage rates between the two "traditional" definitions (NISS >15 and ISS >15). Adding "extended" and "extensive" to the "traditional" definitions also did not significantly alter perceived under- and overtriage. Defining major trauma only in terms of the mechanism of injury and mortality, with or without ICU resource consumption (the "extended" and "extensive" groups), drastically increased the perceived overtriage rates.

CONCLUSION

Although the proportion of patients who were defined as having sustained major trauma increased when NISS-based definitions were substituted for ISS-based definitions, the outcomes of the triage precision calculations did not differ significantly between the two scales. Additionally, expanding the purely anatomic definition of major trauma by including proximal penetrating injury, 30-day mortality, ICU LOS greater than 2 days and transferred intubated out of the hospital at ≤2 days did not significantly influence the perceived triage precision. We recommend that triage precision calculations should include anatomical injury scaling according to NISS. To further enhance comparability of trauma triage calculations, researchers should establish a consensus on a uniform definition of major trauma.

摘要

背景

分诊是根据损伤严重程度对患者进行分类并确定进一步治疗优先级的过程。尽管“重大创伤”一词是计算过度分诊率和分诊不足率的参照标准,但其定义在当前文献中并不一致。本研究旨在调查重大创伤的不同定义对挪威创伤队列中感知到的过度分诊率和分诊不足率计算的影响。

方法

我们对一家一级转诊创伤中心创伤登记处纳入的患者进行了回顾性分析。基于解剖损伤严重程度评分(ISS>15和NISS>15)制定了两个“传统”定义,一个“扩展”定义基于结局(30天死亡率)和损伤机制(近端穿透伤),一个“广泛”定义基于“扩展”定义和ICU资源消耗(入住ICU超过2天和/或在≤2天内插管转出医院),另外四个定义基于前四个定义的组合。

结果

两个“传统”定义(NISS>15和ISS>15)之间的感知分诊不足率和过度分诊率没有显著差异。在“传统”定义中加入“扩展”和“广泛”定义也没有显著改变感知到的分诊不足和过度分诊情况。仅根据损伤机制和死亡率定义重大创伤,无论有无ICU资源消耗(“扩展”和“广泛”组),都会大幅提高感知到的过度分诊率。

结论

尽管当基于NISS的定义取代基于ISS的定义时,被定义为遭受重大创伤的患者比例增加,但两种量表在分诊精度计算结果上没有显著差异。此外,通过纳入近端穿透伤、30天死亡率、ICU住院时间大于2天以及在≤2天内插管转出医院来扩展重大创伤的纯解剖学定义,并没有显著影响感知到的分诊精度。我们建议分诊精度计算应包括根据NISS进行的解剖损伤分级。为了进一步提高创伤分诊计算的可比性,研究人员应就重大创伤的统一定义达成共识。

https://cdn.ncbi.nlm.nih.gov/pmc/blobs/29d5/3464123/ed1b7106cfad/1752-2897-6-9-1.jpg

文献检索

告别复杂PubMed语法,用中文像聊天一样搜索,搜遍4000万医学文献。AI智能推荐,让科研检索更轻松。

立即免费搜索

文件翻译

保留排版,准确专业,支持PDF/Word/PPT等文件格式,支持 12+语言互译。

免费翻译文档

深度研究

AI帮你快速写综述,25分钟生成高质量综述,智能提取关键信息,辅助科研写作。

立即免费体验