Suppr超能文献

原子力显微镜作为一种应用于纳米/生物传感器的工具。

Atomic force microscopy as a tool applied to nano/biosensors.

机构信息

National Nanotechnology Laboratory for Agribusiness (LNNA), Embrapa Instrumentation, São Carlos, SP, Brazil.

出版信息

Sensors (Basel). 2012;12(6):8278-300. doi: 10.3390/s120608278. Epub 2012 Jun 14.

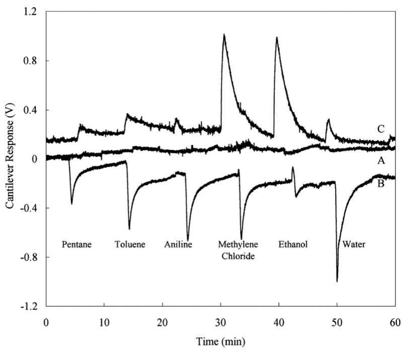
Abstract

This review article discusses and documents the basic concepts and principles of nano/biosensors. More specifically, we comment on the use of Chemical Force Microscopy (CFM) to study various aspects of architectural and chemical design details of specific molecules and polymers and its influence on the control of chemical interactions between the Atomic Force Microscopy (AFM) tip and the sample. This technique is based on the fabrication of nanomechanical cantilever sensors (NCS) and microcantilever-based biosensors (MC-B), which can provide, depending on the application, rapid, sensitive, simple and low-cost in situ detection. Besides, it can provide high repeatability and reproducibility. Here, we review the applications of CFM through some application examples which should function as methodological questions to understand and transform this tool into a reliable source of data. This section is followed by a description of the theoretical principle and usage of the functionalized NCS and MC-B technique in several fields, such as agriculture, biotechnology and immunoassay. Finally, we hope this review will help the reader to appreciate how important the tools CFM, NCS and MC-B are for characterization and understanding of systems on the atomic scale.

摘要

这篇综述文章讨论并记录了纳米/生物传感器的基本概念和原理。更具体地说,我们评论了使用化学力显微镜(CFM)研究特定分子和聚合物的结构和化学设计细节的各个方面,以及其对原子力显微镜(AFM)针尖和样品之间化学相互作用控制的影响。该技术基于纳米机械悬臂梁传感器(NCS)和基于微悬臂梁的生物传感器(MC-B)的制造,可根据应用提供快速、灵敏、简单和低成本的原位检测。此外,它还可以提供高重复性和再现性。在这里,我们通过一些应用实例回顾了 CFM 的应用,这些实例应该作为理解和将该工具转化为可靠数据来源的方法问题。接下来,我们描述了功能化 NCS 和 MC-B 技术在农业、生物技术和免疫分析等多个领域的理论原理和应用。最后,我们希望这篇综述能帮助读者认识到 CFM、NCS 和 MC-B 工具对于原子尺度系统的表征和理解是多么重要。

https://cdn.ncbi.nlm.nih.gov/pmc/blobs/0c82/3436029/e8eb5049dfff/sensors-12-08278f1.jpg

文献检索

告别复杂PubMed语法,用中文像聊天一样搜索,搜遍4000万医学文献。AI智能推荐,让科研检索更轻松。

立即免费搜索

文件翻译

保留排版,准确专业,支持PDF/Word/PPT等文件格式,支持 12+语言互译。

免费翻译文档

深度研究

AI帮你快速写综述,25分钟生成高质量综述,智能提取关键信息,辅助科研写作。

立即免费体验