• 文献检索
  • 文档翻译
  • 深度研究
  • 学术资讯
  • Suppr Zotero 插件Zotero 插件
  • 邀请有礼
  • 套餐&价格
  • 历史记录
应用&插件
Suppr Zotero 插件Zotero 插件浏览器插件Mac 客户端Windows 客户端微信小程序
定价
高级版会员购买积分包购买API积分包
服务
文献检索文档翻译深度研究API 文档MCP 服务
关于我们
关于 Suppr公司介绍联系我们用户协议隐私条款
关注我们

Suppr 超能文献

核心技术专利:CN118964589B侵权必究
粤ICP备2023148730 号-1Suppr @ 2026

文献检索

告别复杂PubMed语法,用中文像聊天一样搜索,搜遍4000万医学文献。AI智能推荐,让科研检索更轻松。

立即免费搜索

文件翻译

保留排版,准确专业,支持PDF/Word/PPT等文件格式,支持 12+语言互译。

免费翻译文档

深度研究

AI帮你快速写综述,25分钟生成高质量综述,智能提取关键信息,辅助科研写作。

立即免费体验

结合态和非结合态蛋白质侧链构象分布的相关性分析。

Correlation analysis of the side-chains conformational distribution in bound and unbound proteins.

机构信息

Center for Bioinformatics, The University of Kansas, Lawrence, KS 66047, USA.

出版信息

BMC Bioinformatics. 2012 Sep 17;13:236. doi: 10.1186/1471-2105-13-236.

DOI:10.1186/1471-2105-13-236
PMID:22984947
原文链接:https://pmc.ncbi.nlm.nih.gov/articles/PMC3479416/
Abstract

BACKGROUND

Protein interactions play a key role in life processes. Characterization of conformational properties of protein-protein interactions is important for understanding the mechanisms of protein association. The rapidly increasing amount of experimentally determined structures of proteins and protein-protein complexes provides foundation for research on protein interactions and complex formation. The knowledge of the conformations of the surface side chains is essential for modeling of protein complexes. The purpose of this study was to analyze and compare dihedral angle distribution functions of the side chains at the interface and non-interface areas in bound and unbound proteins.

RESULTS

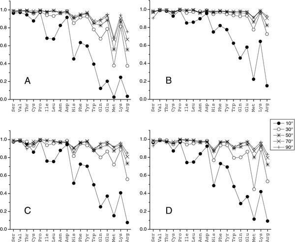
To calculate the dihedral angle distribution functions, the configuration space was divided into grid cells. Statistical analysis showed that the similarity between bound and unbound interface and non-interface surface depends on the amino acid type and the grid resolution. The correlation coefficients between the distribution functions increased with the grid spacing increase for all amino acid types. The Manhattan distance showing the degree of dissimilarity between the distribution functions decreased accordingly. Short residues with one or two dihedral angles had higher correlations and smaller Manhattan distances than the longer residues. Met and Arg had the slowest growth of the correlation coefficient with the grid spacing increase. The correlations between the interface and non-interface distribution functions had a similar dependence on the grid resolution in both bound and unbound states. The interface and non-interface differences between bound and unbound distribution functions, caused by biological protein-protein interactions or crystal contacts, disappeared at the 70° grid spacing for interfaces and 30° for non-interface surface, which agrees with an average span of the side-chain rotamers.

CONCLUSIONS

The two-fold difference in the critical grid spacing indicates larger conformational changes upon binding at the interface than at the rest of the surface. At the same time, transitions between rotamers induced by interactions across the interface or the crystal packing are rare, with most side chains having local readjustments that do not change the rotameric state. The analysis is important for better understanding of protein interactions and development of flexible docking approaches.

摘要

背景

蛋白质相互作用在生命过程中起着关键作用。蛋白质-蛋白质相互作用构象特性的表征对于理解蛋白质缔合的机制很重要。大量实验确定的蛋白质和蛋白质-蛋白质复合物结构的快速增长为研究蛋白质相互作用和复合物形成提供了基础。表面侧链构象的知识对于蛋白质复合物的建模至关重要。本研究的目的是分析和比较结合和未结合蛋白质中界面和非界面区域的侧链二面角分布函数。

结果

为了计算二面角分布函数,将构象空间划分为网格单元。统计分析表明,结合和未结合界面和非界面表面之间的相似性取决于氨基酸类型和网格分辨率。对于所有氨基酸类型,分布函数之间的相关系数随着网格间距的增加而增加。显示分布函数之间差异程度的曼哈顿距离相应减小。具有一个或两个二面角的短残基比长残基具有更高的相关性和更小的曼哈顿距离。Met 和 Arg 与网格间距增加的相关性增长最慢。在结合和未结合状态下,界面和非界面分布函数之间的相关性具有相似的网格分辨率依赖性。结合和未结合状态下,由生物蛋白质-蛋白质相互作用或晶体接触引起的界面和非界面分布函数之间的差异,在界面处的 70°网格间距和非界面处的 30°网格间距处消失,这与侧链构象的平均跨度一致。

结论

界面处结合时的临界网格间距的两倍差异表明构象变化较大,而在其余表面处的构象变化较小。同时,界面或晶体包装相互作用引起的构象转变很少见,大多数侧链发生局部调整而不改变构象状态。该分析对于更好地理解蛋白质相互作用和开发灵活对接方法很重要。

https://cdn.ncbi.nlm.nih.gov/pmc/blobs/0df3/3479416/3295f853418c/1471-2105-13-236-5.jpg
https://cdn.ncbi.nlm.nih.gov/pmc/blobs/0df3/3479416/69bd302ca980/1471-2105-13-236-1.jpg
https://cdn.ncbi.nlm.nih.gov/pmc/blobs/0df3/3479416/31f51e9c9c06/1471-2105-13-236-2.jpg
https://cdn.ncbi.nlm.nih.gov/pmc/blobs/0df3/3479416/3d3c72f44f97/1471-2105-13-236-3.jpg
https://cdn.ncbi.nlm.nih.gov/pmc/blobs/0df3/3479416/f86a1ed4a511/1471-2105-13-236-4.jpg
https://cdn.ncbi.nlm.nih.gov/pmc/blobs/0df3/3479416/3295f853418c/1471-2105-13-236-5.jpg
https://cdn.ncbi.nlm.nih.gov/pmc/blobs/0df3/3479416/69bd302ca980/1471-2105-13-236-1.jpg
https://cdn.ncbi.nlm.nih.gov/pmc/blobs/0df3/3479416/31f51e9c9c06/1471-2105-13-236-2.jpg
https://cdn.ncbi.nlm.nih.gov/pmc/blobs/0df3/3479416/3d3c72f44f97/1471-2105-13-236-3.jpg
https://cdn.ncbi.nlm.nih.gov/pmc/blobs/0df3/3479416/f86a1ed4a511/1471-2105-13-236-4.jpg
https://cdn.ncbi.nlm.nih.gov/pmc/blobs/0df3/3479416/3295f853418c/1471-2105-13-236-5.jpg

相似文献

1
Correlation analysis of the side-chains conformational distribution in bound and unbound proteins.结合态和非结合态蛋白质侧链构象分布的相关性分析。
BMC Bioinformatics. 2012 Sep 17;13:236. doi: 10.1186/1471-2105-13-236.
2
Rotamer libraries and probabilities of transition between rotamers for the side chains in protein-protein binding.蛋白质-蛋白质结合中侧链的构象文库和构象转变概率。
Proteins. 2012 Aug;80(8):2089-98. doi: 10.1002/prot.24103. Epub 2012 Jun 12.
3
Side-chain conformational changes upon Protein-Protein Association.蛋白质-蛋白质相互作用时侧链构象的变化。
J Mol Biol. 2011 Apr 29;408(2):356-65. doi: 10.1016/j.jmb.2011.02.030. Epub 2011 Feb 25.
4
Structure fluctuations and conformational changes in protein binding.蛋白质结合中的结构波动与构象变化。
J Bioinform Comput Biol. 2012 Apr;10(2):1241002. doi: 10.1142/S0219720012410028.
5
Reassessing buried surface areas in protein-protein complexes.重新评估蛋白质-蛋白质复合物中的埋表面积。
Protein Sci. 2013 Oct;22(10):1453-7. doi: 10.1002/pro.2330. Epub 2013 Sep 4.
6
Statistical and conformational analysis of the electron density of protein side chains.蛋白质侧链电子密度的统计与构象分析
Proteins. 2007 Feb 1;66(2):279-303. doi: 10.1002/prot.21150.
7
Shape complementarity of protein-protein complexes at multiple resolutions.多分辨率下蛋白质-蛋白质复合物的形状互补性。
Proteins. 2009 May 1;75(2):453-67. doi: 10.1002/prot.22256.
8
Comparing interfacial dynamics in protein-protein complexes: an elastic network approach.比较蛋白质-蛋白质复合物中的界面动力学:一种弹性网络方法。
BMC Struct Biol. 2010 Aug 8;10:26. doi: 10.1186/1472-6807-10-26.
9
Rotamers: to be or not to be? An analysis of amino acid side-chain conformations in globular proteins.旋转异构体:存在与否?球状蛋白质中氨基酸侧链构象分析
J Mol Biol. 1993 Mar 20;230(2):592-612. doi: 10.1006/jmbi.1993.1172.
10
Minimal ensembles of side chain conformers for modeling protein-protein interactions.用于模拟蛋白质-蛋白质相互作用的侧链构象异构体最小集合。
Proteins. 2012 Feb;80(2):591-601. doi: 10.1002/prot.23222. Epub 2011 Nov 22.

引用本文的文献

1
Computational reconstruction of atomistic protein structures from coarse-grained models.基于粗粒度模型的蛋白质原子结构的计算重建
Comput Struct Biotechnol J. 2019 Dec 26;18:162-176. doi: 10.1016/j.csbj.2019.12.007. eCollection 2020.
2
Localized conformational interrogation of antibody and antibody-drug conjugates by site-specific carboxyl group footprinting.通过位点特异性羧基足迹法对抗体及抗体-药物偶联物进行局部构象询问。
MAbs. 2017 Feb/Mar;9(2):307-318. doi: 10.1080/19420862.2016.1268306. Epub 2016 Dec 8.
3
The impact of side-chain packing on protein docking refinement.

本文引用的文献

1
Rotamer libraries and probabilities of transition between rotamers for the side chains in protein-protein binding.蛋白质-蛋白质结合中侧链的构象文库和构象转变概率。
Proteins. 2012 Aug;80(8):2089-98. doi: 10.1002/prot.24103. Epub 2012 Jun 12.
2
Minimal ensembles of side chain conformers for modeling protein-protein interactions.用于模拟蛋白质-蛋白质相互作用的侧链构象异构体最小集合。
Proteins. 2012 Feb;80(2):591-601. doi: 10.1002/prot.23222. Epub 2011 Nov 22.
3
A smoothed backbone-dependent rotamer library for proteins derived from adaptive kernel density estimates and regressions.
侧链堆积对蛋白质对接优化的影响。
J Chem Inf Model. 2015 Apr 27;55(4):872-81. doi: 10.1021/ci500380a. Epub 2015 Mar 24.
4
Assessment of protein side-chain conformation prediction methods in different residue environments.不同残基环境下蛋白质侧链构象预测方法的评估
Proteins. 2014 Sep;82(9):1971-84. doi: 10.1002/prot.24552. Epub 2014 Mar 31.
5
Low-resolution structural modeling of protein interactome.蛋白质相互作用组的低分辨率结构建模。
Curr Opin Struct Biol. 2013 Apr;23(2):198-205. doi: 10.1016/j.sbi.2012.12.003. Epub 2013 Jan 5.
基于自适应核密度估计和回归的蛋白质平滑骨架相关构象文库。
Structure. 2011 Jun 8;19(6):844-58. doi: 10.1016/j.str.2011.03.019.
4
Side-chain conformational changes upon Protein-Protein Association.蛋白质-蛋白质相互作用时侧链构象的变化。
J Mol Biol. 2011 Apr 29;408(2):356-65. doi: 10.1016/j.jmb.2011.02.030. Epub 2011 Feb 25.
5
Side-chain rotamer transitions at protein-protein interfaces.蛋白质-蛋白质界面处的侧链构象转变。
Proteins. 2010 Nov 15;78(15):3219-25. doi: 10.1002/prot.22821.
6
Protein-protein interaction and quaternary structure.蛋白质-蛋白质相互作用与四级结构。
Q Rev Biophys. 2008 May;41(2):133-80. doi: 10.1017/S0033583508004708.
7
DOCKGROUND system of databases for protein recognition studies: unbound structures for docking.用于蛋白质识别研究的DOCKGROUND数据库系统:用于对接的未结合结构。
Proteins. 2007 Dec 1;69(4):845-51. doi: 10.1002/prot.21714.
8
The limit of accuracy of protein modeling: influence of crystal packing on protein structure.蛋白质建模的准确性极限:晶体堆积对蛋白质结构的影响。
J Mol Biol. 2005 Aug 12;351(2):431-42. doi: 10.1016/j.jmb.2005.05.066.
9
Rotamer libraries in the 21st century.21世纪的旋转异构体库。
Curr Opin Struct Biol. 2002 Aug;12(4):431-40. doi: 10.1016/s0959-440x(02)00344-5.
10
On the role of the crystal environment in determining protein side-chain conformations.论晶体环境在确定蛋白质侧链构象中的作用。
J Mol Biol. 2002 Jul 12;320(3):597-608. doi: 10.1016/s0022-2836(02)00470-9.