Suppr超能文献

在 GdSi 单晶体中可能存在磁极化子开关的正、负磁电阻。

Possible magnetic-polaron-switched positive and negative magnetoresistance in the GdSi single crystals.

机构信息

Jülich Centre for Neutron Science JCNS, Forschungszentrum Jülich GmbH, Outstation at Institut Laue-Langevin, Boîte Postale 156, F-38042 Grenoble Cedex 9, France.

出版信息

Sci Rep. 2012;2:750. doi: 10.1038/srep00750. Epub 2012 Oct 19.

Abstract

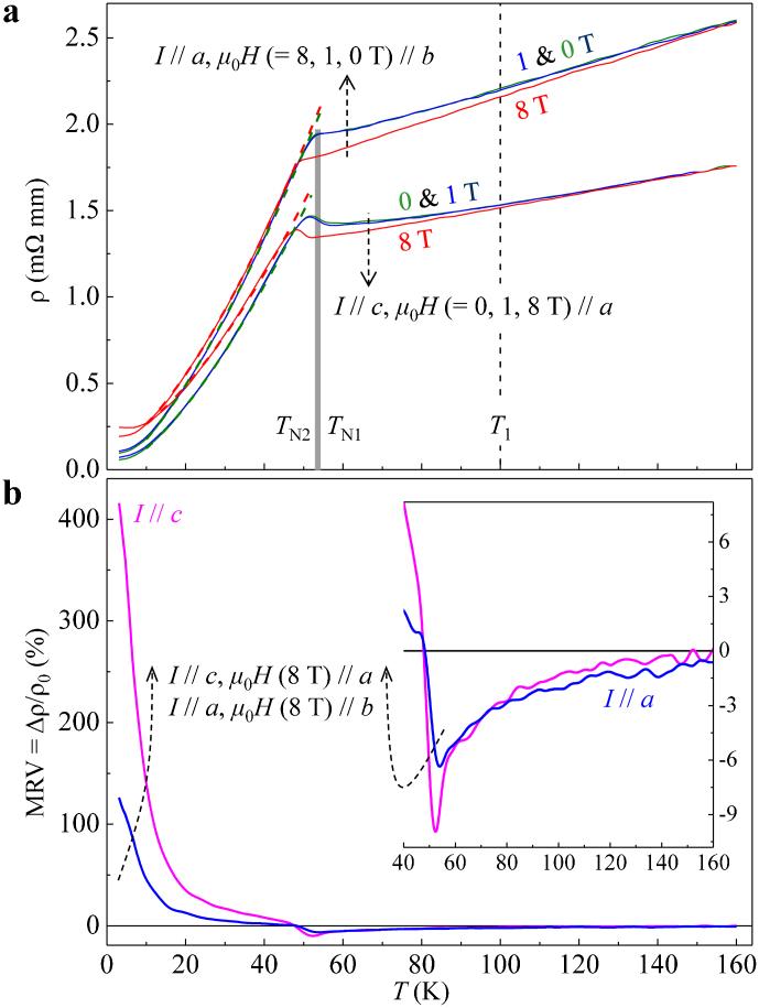
Magnetoresistance (MR) has attracted tremendous attention for possible technological applications. Understanding the role of magnetism in manipulating MR may in turn steer the searching for new applicable MR materials. Here we show that antiferromagnetic (AFM) GdSi metal displays an anisotropic positive MR value (PMRV), up to ~415%, accompanied by a large negative thermal volume expansion (NTVE). Around T(N) the PMRV translates to negative, down to ~-10.5%. Their theory-breaking magnetic-field dependencies [PMRV: dominantly linear; negative MR value (NMRV): quadratic] and the unusual NTVE indicate that PMRV is induced by the formation of magnetic polarons in 5d bands, whereas NMRV is possibly due to abated electron-spin scattering resulting from magnetic-field-aligned local 4f spins. Our results may open up a new avenue of searching for giant MR materials by suppressing the AFM transition temperature, opposite the case in manganites, and provide a promising approach to novel magnetic and electric devices.

摘要

磁电阻(MR)因其在可能的技术应用方面的巨大潜力而受到了广泛关注。理解磁在操纵 MR 中的作用可能会反过来引导人们寻找新的适用的 MR 材料。在这里,我们展示了反铁磁(AFM)GdSi 金属表现出各向异性的正磁电阻值(PMRV),最高可达415%,同时伴随着大的负热体积膨胀(NTVE)。在 T(N)附近,PMRV 变为负值,降至-10.5%。它们打破常规的磁场依赖性[PMRV:主要是线性的;负磁电阻值(NMRV):二次的]和异常的 NTVE 表明,PMRV 是由 5d 带中磁极化子的形成引起的,而 NMRV 可能是由于磁场对齐的局部 4f 自旋导致电子自旋散射减弱所致。我们的结果可能为通过抑制 AFM 转变温度来寻找巨大的 MR 材料开辟了一条新途径,与锰氧化物的情况相反,并为新型磁电设备提供了一种有前途的方法。

https://cdn.ncbi.nlm.nih.gov/pmc/blobs/4c5e/3475993/3c32466b03af/srep00750-f1.jpg

文献AI研究员

20分钟写一篇综述,助力文献阅读效率提升50倍。

立即体验

用中文搜PubMed

大模型驱动的PubMed中文搜索引擎

马上搜索

文档翻译

学术文献翻译模型,支持多种主流文档格式。

立即体验