Institut für Genomforschung und Systembiologie, Centrum für Biotechnologie, Universität Bielefeld, Bielefeld, Germany.
Microb Biotechnol. 2013 Mar;6(2):118-30. doi: 10.1111/1751-7915.12004. Epub 2012 Nov 20.
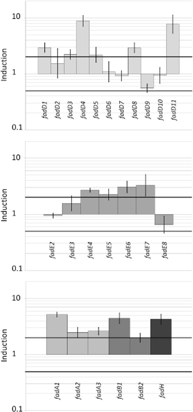
Corynebacterial fatty acid metabolism has been associated with human body odour, and is therefore discussed as a potential target for the development of new deodorant additives. For this reason, the transcription levels of fad genes associated with lipid metabolism in the axilla isolate Corynebacterium jeikeium were analysed during growth on different lipid sources. The transcription of several fad genes was induced two- to ninefold in the presence of Tween 60, including the acyl-CoA dehydrogenase gene fadE6. DNA affinity chromatography identified the MarR-like protein FamR as candidate regulator of fadE6. DNA band shift assays and in vivo reporter gene fusions confirmed the direct interaction of FamR with the mapped fadE6 promoter region. Moreover, DNA affinity chromatography and DNA band shift assays detected the binding of GlxR to the promoter regions of fadE6 and famR, revealing a hierarchical control of fadE6 transcription by a feed-forward loop. Binding of GlxR and FamR to additional fad gene regions was demonstrated in vitro by DNA band shift assays, resulting in the co-regulation of fadA, fadD, fadE and fadH genes. These results shed first light on the hierarchical transcriptional control of lipid metabolism in C. jeikeium, a pathway associated with the development of human axillary odour.
棒状杆菌的脂肪酸代谢与人体气味有关,因此被认为是开发新型除臭添加剂的潜在目标。出于这个原因,分析了生长在不同脂质源上时腋窝分离的棒状杆菌属 Corynebacterium jeikeium 中与脂质代谢相关的 fad 基因的转录水平。在存在吐温 60 的情况下,包括酰基辅酶 A 脱氢酶基因 fadE6 在内的几个 fad 基因的转录被诱导了两到九倍。DNA 亲和层析鉴定出 MarR 样蛋白 FamR 是 fadE6 的候选调节因子。DNA 带迁移分析和体内报告基因融合证实了 FamR 与映射的 fadE6 启动子区域的直接相互作用。此外,DNA 亲和层析和 DNA 带迁移分析检测到 GlxR 与 fadE6 和 famR 的启动子区域结合,揭示了 fadE6 转录的级联控制由前馈环介导。体外 DNA 带迁移分析证实了 GlxR 和 FamR 与其他 fad 基因区域的结合,导致 fadA、fadD、fadE 和 fadH 基因的共同调节。这些结果首次阐明了与人体腋窝气味发展相关的 C.jeikeium 中脂质代谢的分级转录控制途径。