Suppr超能文献

具有三种基于知识的粗粒化势的蛋白质(H3.1)的无规卷曲到球状的热响应。

Random coil to globular thermal response of a protein (H3.1) with three knowledge-based coarse-grained potentials.

机构信息

Department of Physics and Astronomy, University of Southern Mississippi, Hattiesburg, Missouri, USA.

出版信息

PLoS One. 2012;7(11):e49352. doi: 10.1371/journal.pone.0049352. Epub 2012 Nov 14.

Abstract

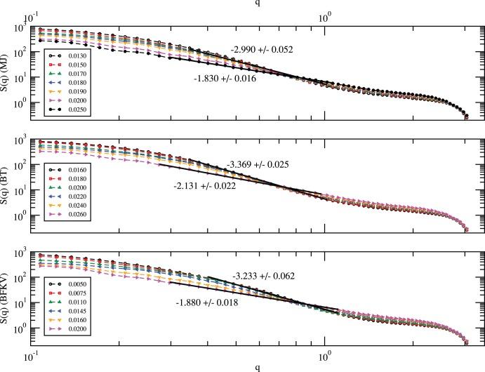
The effect of temperature on the conformation of a histone (H3.1) is studied by a coarse-grained Monte Carlo simulation based on three knowledge-based contact potentials (MJ, BT, BFKV). Despite unique energy and mobility profiles of its residues, the histone H3.1 undergoes a systematic (possibly continuous) structural transition from a random coil to a globular conformation on reducing the temperature. The range over which such a systematic response in variation of the radius of gyration (R(g)) with the temperature (T) occurs, however, depends on the potential, i.e. ΔT(MJ) ≈ 0.013-0.020, ΔT(BT) ≈ 0.018-0.026, and ΔT(BFKV) ≈ 0.006-0.013 (in reduced unit). Unlike MJ and BT potentials, results from the BFKV potential show an anomaly where the magnitude of R(g) decreases on raising the temperature in a range ΔT(A) ≈ 0.015-0.018 before reaching its steady-state random coil configuration. Scaling of the structure factor, S(q) ∝ q(-1/ν), with the wave vector, q=2π/λ, and the wavelength, λ, reveals a systematic change in the effective dimension (D(e)∼1/ν) of the histone with all potentials (MJ, BT, BFKV): D(e)∼3 in the globular structure with D(e)∼2 for the random coil. Reproducibility of the general yet unique (monotonic) structural transition of the protein H3.1 with the temperature (in contrast to non-monotonic structural response of a similar but different protein H2AX) with three interaction sets shows that the knowledge-based contact potential is viable tool to investigate structural response of proteins. Caution should be exercise with the quantitative comparisons due to differences in transition regimes with these interactions.

摘要

基于三种基于知识的接触势(MJ、BT、BFKV),通过粗粒度蒙特卡罗模拟研究温度对组蛋白(H3.1)构象的影响。尽管其残基具有独特的能量和迁移率分布,但组蛋白 H3.1 在降低温度时会经历从无规线团到球状构象的系统(可能是连续的)结构转变。然而,这种半径旋转(R(g))随温度(T)变化的系统响应发生的范围取决于势,即ΔT(MJ)≈0.013-0.020、ΔT(BT)≈0.018-0.026 和 ΔT(BFKV)≈0.006-0.013(在缩减单位中)。与 MJ 和 BT 势不同,BFKV 势的结果显示出一种异常现象,即在达到其稳定无规线团构象之前,在温度升高范围内,R(g)的幅度减小,范围约为ΔT(A)≈0.015-0.018。结构因子 S(q)∝q(-1/ν)与波矢 q=2π/λ 和波长 λ 的标度揭示了所有势(MJ、BT、BFKV)中组蛋白的有效维度(D(e)∼1/ν)的系统变化:在球状结构中 D(e)∼3,而在无规线团中 D(e)∼2。与类似但不同的蛋白质 H2AX 的非单调结构响应相比,三种相互作用组的蛋白质 H3.1 随温度的一般而独特(单调)结构转变的重现性表明,基于知识的接触势是研究蛋白质结构响应的可行工具。由于这些相互作用的转变区存在差异,因此在进行定量比较时应谨慎。

https://cdn.ncbi.nlm.nih.gov/pmc/blobs/4658/3498164/9e2910fd4f92/pone.0049352.g001.jpg

文献AI研究员

20分钟写一篇综述,助力文献阅读效率提升50倍。

立即体验

用中文搜PubMed

大模型驱动的PubMed中文搜索引擎

马上搜索

文档翻译

学术文献翻译模型,支持多种主流文档格式。

立即体验