Suppr超能文献

氢硫在室旁核增强慢性心力衰竭大鼠的交感活性和心脏交感传入反射。

Hydrogen sulfide in paraventricular nucleus enhances sympathetic activity and cardiac sympathetic afferent reflex in chronic heart failure rats.

机构信息

Key Laboratory of Cardiovascular Disease and Molecular Intervention, Department of Physiology, Nanjing Medical University, Nanjing, China.

出版信息

PLoS One. 2012;7(11):e50102. doi: 10.1371/journal.pone.0050102. Epub 2012 Nov 15.

Abstract

BACKGROUND

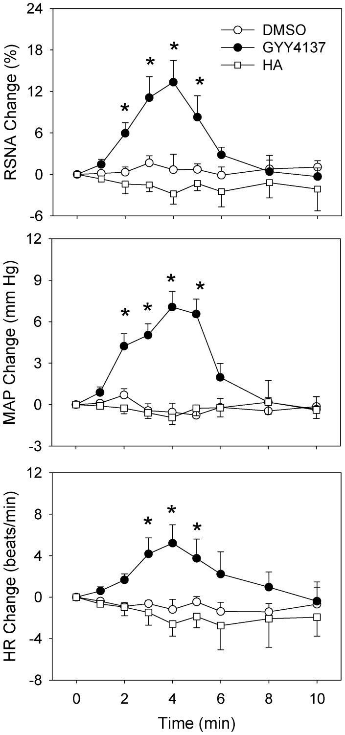
Intracerebroventricular infusion of NaHS, a hydrogen sulfide (H(2)S) donor, increased mean arterial pressure (MAP). This study was designed to determine the roles of H(2)S in the paraventricular nucleus (PVN) in modulating sympathetic activity and cardiac sympathetic afferent reflex (CSAR) in chronic heart failure (CHF).

METHODOLOGY/PRINCIPAL FINDINGS: CHF was induced by left descending coronary artery ligation in rats. Renal sympathetic nerve activity (RSNA) and MAP were recorded under anesthesia. CSAR was evaluated by the RSNA and MAP responses to epicardial application of capsaicin. PVN microinjection of low doses of a H(2)S donor, GYY4137 (0.01 and 0.1 nmol), had no significant effects on RSNA, MAP and CSAR. High doses of GYY4137 (1, 2 and 4 nmol) increased baseline RSNA, MAP and heart rate (HR), and enhanced CSAR. The effects were greater in CHF rats than sham-operated rats. A cystathionine-β-synthase (CBS) inhibitor, hydroxylamine (HA) in PVN had no significant effect on the RSNA, MAP and CSAR. CBS activity and H(2)S level in the PVN were decreased in CHF rats. No significant difference in CBS level in PVN was found between sham-operated rats and CHF rats. Stimulation of cardiac sympathetic afferents with capsaicin decreased CBS activity and H(2)S level in the PVN in both sham-operated rats and CHF rats.

CONCLUSIONS

Exogenous H(2)S in PVN increases RSNA, MAP and HR, and enhances CSAR. The effects are greater in CHF rats than those in sham-operated rats. Endogenous H(2)S in PVN is not responsible for the sympathetic activation and enhanced CSAR in CHF rats.

摘要

背景

脑室内注射 H2S 供体 NaHS 可增加平均动脉压(MAP)。本研究旨在确定 H2S 在调节交感神经活动和心脏交感传入反射(CSAR)中的作用。

方法/主要发现:通过左冠状动脉前降支结扎在大鼠中诱导心力衰竭(CHF)。在麻醉下记录肾交感神经活动(RSNA)和 MAP。通过 RSNA 和 MAP 对心外膜应用辣椒素的反应评估 CSAR。PVN 微注射低剂量 H2S 供体 GYY4137(0.01 和 0.1 nmol)对 RSNA、MAP 和 CSAR 没有显著影响。高剂量 GYY4137(1、2 和 4 nmol)增加了基础 RSNA、MAP 和心率(HR),并增强了 CSAR。CHF 大鼠的效果大于假手术大鼠。PVN 中的胱硫醚-β-合酶(CBS)抑制剂羟胺(HA)对 RSNA、MAP 和 CSAR 没有显著影响。CHF 大鼠 PVN 中的 CBS 活性和 H2S 水平降低。假手术大鼠和 CHF 大鼠之间 PVN 中的 CBS 水平没有显著差异。用辣椒素刺激心脏交感传入神经会降低 sham 操作大鼠和 CHF 大鼠 PVN 中的 CBS 活性和 H2S 水平。

结论

PVN 中的外源性 H2S 增加 RSNA、MAP 和 HR,并增强 CSAR。CHF 大鼠的效果大于假手术大鼠。PVN 中的内源性 H2S 不是 CHF 大鼠交感神经激活和增强 CSAR 的原因。

https://cdn.ncbi.nlm.nih.gov/pmc/blobs/541d/3499499/126edca37a2e/pone.0050102.g001.jpg

相似文献

3
Intermedin in the paraventricular nucleus attenuates cardiac sympathetic afferent reflex in chronic heart failure rats.
PLoS One. 2014 Apr 7;9(4):e94234. doi: 10.1371/journal.pone.0094234. eCollection 2014.
6
Endothelin-1 in paraventricular nucleus modulates cardiac sympathetic afferent reflex and sympathetic activity in rats.
PLoS One. 2012;7(7):e40748. doi: 10.1371/journal.pone.0040748. Epub 2012 Jul 16.
9
ANG II in the paraventricular nucleus potentiates the cardiac sympathetic afferent reflex in rats with heart failure.
J Appl Physiol (1985). 2004 Nov;97(5):1746-54. doi: 10.1152/japplphysiol.00573.2004.

引用本文的文献

1
Targeting hydrogen sulfide and nitric oxide to repair cardiovascular injury after trauma.
Nitric Oxide. 2022 Dec 1;129:82-101. doi: 10.1016/j.niox.2022.10.003. Epub 2022 Oct 22.
2
HS and Oxytocin Systems in Early Life Stress and Cardiovascular Disease.
J Clin Med. 2021 Aug 6;10(16):3484. doi: 10.3390/jcm10163484.
3
Interaction of the hydrogen sulfide system with the oxytocin system in the injured mouse heart.
Intensive Care Med Exp. 2018 Oct 19;6(1):41. doi: 10.1186/s40635-018-0207-0.
4
Recent advances in central cardiovascular control: sex, ROS, gas and inflammation.
F1000Res. 2016 Mar 31;5. doi: 10.12688/f1000research.7987.1. eCollection 2016.
6
Hydrogen sulfide regulates cardiovascular function by influencing the excitability of subfornical organ neurons.
PLoS One. 2014 Aug 21;9(8):e105772. doi: 10.1371/journal.pone.0105772. eCollection 2014.
7
Superoxide anions in paraventricular nucleus modulate adipose afferent reflex and sympathetic activity in rats.
PLoS One. 2013 Dec 23;8(12):e83771. doi: 10.1371/journal.pone.0083771. eCollection 2013.
8
Depolarizing actions of hydrogen sulfide on hypothalamic paraventricular nucleus neurons.
PLoS One. 2013 May 17;8(5):e64495. doi: 10.1371/journal.pone.0064495. Print 2013.

本文引用的文献

1
Hydrogen sulfide modulates the release of nitric oxide and VEGF in human keratinocytes.
Pharmacol Res. 2012 Nov;66(5):428-36. doi: 10.1016/j.phrs.2012.07.002. Epub 2012 Jul 27.
2
Endothelin-1 in paraventricular nucleus modulates cardiac sympathetic afferent reflex and sympathetic activity in rats.
PLoS One. 2012;7(7):e40748. doi: 10.1371/journal.pone.0040748. Epub 2012 Jul 16.
3
Hydrogen sulfide in the mammalian cardiovascular system.
Antioxid Redox Signal. 2012 Jul 1;17(1):141-85. doi: 10.1089/ars.2011.4005. Epub 2012 Mar 19.
4
SOD1 overexpression in paraventricular nucleus improves post-infarct myocardial remodeling and ventricular function.
Pflugers Arch. 2012 Feb;463(2):297-307. doi: 10.1007/s00424-011-1036-0. Epub 2011 Oct 18.
6
Hydrogen Sulfide in the RVLM and PVN has No Effect on Cardiovascular Regulation.
Front Physiol. 2011 Sep 1;2:55. doi: 10.3389/fphys.2011.00055. eCollection 2011.
7
NF-κB in the paraventricular nucleus modulates neurotransmitters and contributes to sympathoexcitation in heart failure.
Basic Res Cardiol. 2011 Nov;106(6):1087-97. doi: 10.1007/s00395-011-0215-7. Epub 2011 Sep 4.
8
The slow-releasing hydrogen sulfide donor, GYY4137, exhibits novel anti-cancer effects in vitro and in vivo.
PLoS One. 2011;6(6):e21077. doi: 10.1371/journal.pone.0021077. Epub 2011 Jun 20.
10
Inflammatory cytokines in paraventricular nucleus modulate sympathetic activity and cardiac sympathetic afferent reflex in rats.
Acta Physiol (Oxf). 2011 Oct;203(2):289-97. doi: 10.1111/j.1748-1716.2011.02313.x. Epub 2011 May 27.

文献AI研究员

20分钟写一篇综述,助力文献阅读效率提升50倍。

立即体验

用中文搜PubMed

大模型驱动的PubMed中文搜索引擎

马上搜索

文档翻译

学术文献翻译模型,支持多种主流文档格式。

立即体验