Suppr超能文献

低膳食水平的鱼油增强芝麻素的生理活性,增加大鼠肝脏脂肪酸氧化。

Fish oil at low dietary levels enhances physiological activity of sesamin to increase hepatic fatty acid oxidation in rats.

机构信息

Department of Food and Nutrition, Faculty of Human Life, Jumonji University, 2-1-28 Sugasawa, Niiza, Saitama 352-8510, Japan.

出版信息

J Clin Biochem Nutr. 2012 Nov;51(3):241-7. doi: 10.3164/jcbn.12-38. Epub 2012 Oct 31.

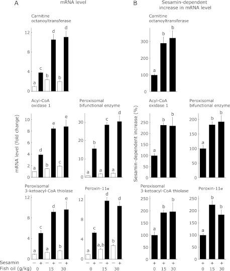
Abstract

We previously demonstrated that a diet containing fish oil at a level of 80 g/kg strongly stimulated the physiological activity of a sesame sesamin preparation containing sesamin and episesamin at equal amounts to increase hepatic fatty acid oxidation. This study was conducted to clarify whether fish oil at lower dietary levels enhances the physiological activity of sesamin to increase hepatic fatty acid oxidation. Rats were fed experimental diets supplemented with 0 or 2 g sesamin/kg, and containing 0, 15 or 30 g fish oil/kg for 15 days. Among rats fed sesamin-free diets, diets containing 15 and 30 g fish oil/kg slightly increased the activity of enzymes involved in hepatic fatty acid oxidation. Sesamin increased these values irrespective of the presence or absence of fish oil in diets; however, the extent of the increase of many parameters was much greater in rats given fish oil-containing diets than in those fed a fish oil-free diet. Diets simultaneously containing sesamin and fish oil increased the gene expression of various peroxisomal fatty acid oxidation enzymes in a synergistic manner; but they were ineffective in causing a synergistic increase in mRNA levels of mitochondrial fatty acid oxidation enzymes. The extent of the synergistic increase in the activity of hepatic fatty acid oxidation enzymes and mRNA levels of the peroxisomal enzymes was indistinguishable between diets containing 15 and 30 g fish oil/kg and appeared comparable to that observed previously with a diet containing 80 g fish oil/kg.

摘要

我们之前已经证明,当饮食中的鱼油水平达到 80g/kg 时,会强烈刺激芝麻油素制剂的生理活性,该制剂中芝麻油素和芝麻素的含量相等,从而增加肝脏脂肪酸的氧化。本研究旨在阐明较低饮食水平的鱼油是否能增强芝麻素的生理活性,以增加肝脏脂肪酸的氧化。实验用大鼠喂食补充有 0 或 2g 芝麻素/kg 的实验饮食,并分别含有 0、15 或 30g 鱼油/kg,共 15 天。在不摄入芝麻素的饮食中,15 和 30g 鱼油/kg 的饮食略微增加了肝脏脂肪酸氧化相关酶的活性。无论饮食中是否含有鱼油,芝麻素都能增加这些值;然而,在摄入含鱼油饮食的大鼠中,许多参数的增加幅度明显大于摄入无鱼油饮食的大鼠。同时含有芝麻素和鱼油的饮食以协同的方式增加各种过氧化物酶体脂肪酸氧化酶的基因表达;但它们对增加线粒体脂肪酸氧化酶的 mRNA 水平没有协同作用。在含有 15 和 30g 鱼油/kg 的饮食中,肝脏脂肪酸氧化酶活性和过氧化物酶体酶的 mRNA 水平的协同增加程度与之前含 80g 鱼油/kg 的饮食中观察到的相似。

https://cdn.ncbi.nlm.nih.gov/pmc/blobs/8f17/3491251/06abaae737bb/jcbn12-38f01.jpg

相似文献

1
Fish oil at low dietary levels enhances physiological activity of sesamin to increase hepatic fatty acid oxidation in rats.
J Clin Biochem Nutr. 2012 Nov;51(3):241-7. doi: 10.3164/jcbn.12-38. Epub 2012 Oct 31.
3
Interaction of dietary fat types and sesamin on hepatic fatty acid oxidation in rats.
Biochim Biophys Acta. 2004 Jun 1;1682(1-3):80-91. doi: 10.1016/j.bbalip.2004.02.001.
4
Interrelated effects of dihomo-γ-linolenic and arachidonic acids, and sesamin on hepatic fatty acid synthesis and oxidation in rats.
Br J Nutr. 2012 Dec 14;108(11):1980-93. doi: 10.1017/S0007114512000141. Epub 2012 Feb 28.
5
Physiological effects of γ-linolenic acid and sesamin on hepatic fatty acid synthesis and oxidation.
J Nutr Biochem. 2017 Mar;41:42-55. doi: 10.1016/j.jnutbio.2016.12.001. Epub 2016 Dec 14.
7
Sesamin, a sesame lignan, is a potent inducer of hepatic fatty acid oxidation in the rat.
Metabolism. 1999 Oct;48(10):1303-13. doi: 10.1016/s0026-0495(99)90272-x.
9
Effect of sesame seeds rich in sesamin and sesamolin on fatty acid oxidation in rat liver.
J Agric Food Chem. 2001 May;49(5):2647-51. doi: 10.1021/jf001362t.

本文引用的文献

1
PPARalpha: energy combustion, hypolipidemia, inflammation and cancer.
Nucl Recept Signal. 2010 Apr 16;8:e002. doi: 10.1621/nrs.08002.
2
Peroxisome proliferator-activated receptor-alpha (PPARalpha): at the crossroads of obesity, diabetes and cardiovascular disease.
Atherosclerosis. 2009 Jul;205(1):1-8. doi: 10.1016/j.atherosclerosis.2009.03.008. Epub 2009 Mar 20.
7
Interaction of dietary fat types and sesamin on hepatic fatty acid oxidation in rats.
Biochim Biophys Acta. 2004 Jun 1;1682(1-3):80-91. doi: 10.1016/j.bbalip.2004.02.001.
8
Novel antioxidative metabolites in rat liver with ingested sesamin.
J Agric Food Chem. 2003 Mar 12;51(6):1666-70. doi: 10.1021/jf0258961.
10

文献AI研究员

20分钟写一篇综述,助力文献阅读效率提升50倍。

立即体验

用中文搜PubMed

大模型驱动的PubMed中文搜索引擎

马上搜索

文档翻译

学术文献翻译模型,支持多种主流文档格式。

立即体验