Suppr超能文献

从集成查询网络中学习毒力蛋白。

Learning virulent proteins from integrated query networks.

机构信息

Ayasdi Inc, Palo Alto, CA 94301, USA.

出版信息

BMC Bioinformatics. 2012 Dec 2;13:321. doi: 10.1186/1471-2105-13-321.

Abstract

BACKGROUND

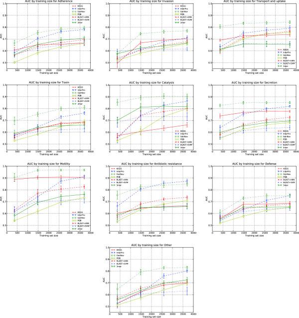
Methods of weakening and attenuating pathogens' abilities to infect and propagate in a host, thus allowing the natural immune system to more easily decimate invaders, have gained attention as alternatives to broad-spectrum targeting approaches. The following work describes a technique to identifying proteins involved in virulence by relying on latent information computationally gathered across biological repositories, applicable to both generic and specific virulence categories.

RESULTS

A lightweight method for data integration is used, which links information regarding a protein via a path-based query graph. A method of weighting is then applied to query graphs that can serve as input to various statistical classification methods for discrimination, and the combined usage of both data integration and learning methods are tested against the problem of both generalized and specific virulence function prediction.

CONCLUSIONS

This approach improves coverage of functional data over a protein. Moreover, while depending largely on noisy and potentially non-curated data from public sources, we find it outperforms other techniques to identification of general virulence factors and baseline remote homology detection methods for specific virulence categories.

摘要

背景

削弱和衰减病原体在宿主中感染和繁殖能力的方法,从而使自然免疫系统更容易消灭入侵者,作为广谱靶向方法的替代方法受到关注。以下工作描述了一种通过依赖于跨生物存储库计算收集的潜在信息来识别与毒力相关的蛋白质的技术,适用于通用和特定毒力类别。

结果

使用轻量级的数据集成方法,通过基于路径的查询图将有关蛋白质的信息链接起来。然后对查询图应用加权方法,这些方法可以作为各种统计分类方法的输入,用于区分,并针对广义和特定毒力功能预测的问题测试数据集成和学习方法的组合使用。

结论

该方法提高了蛋白质功能数据的覆盖范围。此外,虽然它主要依赖于来自公共资源的嘈杂且潜在非编目数据,但我们发现它优于其他一般毒力因子识别技术和特定毒力类别远程同源性检测方法的基线。

https://cdn.ncbi.nlm.nih.gov/pmc/blobs/86a5/3560104/acf7cea938a1/1471-2105-13-321-1.jpg

相似文献

1
Learning virulent proteins from integrated query networks.
BMC Bioinformatics. 2012 Dec 2;13:321. doi: 10.1186/1471-2105-13-321.
2
Graph sharpening plus graph integration: a synergy that improves protein functional classification.
Bioinformatics. 2007 Dec 1;23(23):3217-24. doi: 10.1093/bioinformatics/btm511. Epub 2007 Oct 31.
4
Using indirect protein interactions for the prediction of Gene Ontology functions.
BMC Bioinformatics. 2007 May 22;8 Suppl 4(Suppl 4):S8. doi: 10.1186/1471-2105-8-S4-S8.
5
A lazy data mining approach for protein classification.
IEEE Trans Nanobioscience. 2007 Mar;6(1):36-42. doi: 10.1109/tnb.2007.891910.
6
A comparison of computational methods for identifying virulence factors.
PLoS One. 2012;7(8):e42517. doi: 10.1371/journal.pone.0042517. Epub 2012 Aug 3.
7
Incorporating homologues into sequence embeddings for protein analysis.
J Bioinform Comput Biol. 2007 Jun;5(3):717-38. doi: 10.1142/s0219720007002734.
8
Prediction of signal peptides in protein sequences by neural networks.
Acta Biochim Pol. 2008;55(2):261-7. Epub 2008 May 26.
9
SVM-Fold: a tool for discriminative multi-class protein fold and superfamily recognition.
BMC Bioinformatics. 2007 May 22;8 Suppl 4(Suppl 4):S2. doi: 10.1186/1471-2105-8-S4-S2.
10
Automatic annotation of protein function based on family identification.
Proteins. 2003 Nov 15;53(3):683-92. doi: 10.1002/prot.10449.

引用本文的文献

1
Typing methods based on whole genome sequencing data.
One Health Outlook. 2020 Feb 18;2:3. doi: 10.1186/s42522-020-0010-1. eCollection 2020.
2
Virulence factor activity relationships (VFARs): a bioinformatics perspective.
Environ Sci Process Impacts. 2017 Mar 22;19(3):247-260. doi: 10.1039/c6em00689b.

本文引用的文献

2
Structural genomics of infectious disease drug targets: the SSGCID.
Acta Crystallogr Sect F Struct Biol Cryst Commun. 2011 Sep 1;67(Pt 9):979-84. doi: 10.1107/S1744309111029204. Epub 2011 Aug 13.
3
Computational prediction of type III and IV secreted effectors in gram-negative bacteria.
Infect Immun. 2011 Jan;79(1):23-32. doi: 10.1128/IAI.00537-10. Epub 2010 Oct 25.
4
Supporting retrieval of diverse biomedical data using evidence-aware queries.
J Biomed Inform. 2010 Dec;43(6):873-82. doi: 10.1016/j.jbi.2010.07.005. Epub 2010 Jul 17.
5
AmiGO: online access to ontology and annotation data.
Bioinformatics. 2009 Jan 15;25(2):288-9. doi: 10.1093/bioinformatics/btn615. Epub 2008 Nov 25.
6
Emerging infections: a perpetual challenge.
Lancet Infect Dis. 2008 Nov;8(11):710-9. doi: 10.1016/S1473-3099(08)70256-1.
7
CDD: specific functional annotation with the Conserved Domain Database.
Nucleic Acids Res. 2009 Jan;37(Database issue):D205-10. doi: 10.1093/nar/gkn845. Epub 2008 Nov 4.
8
GenBank.
Nucleic Acids Res. 2009 Jan;37(Database issue):D26-31. doi: 10.1093/nar/gkn723. Epub 2008 Oct 21.
9
InterPro: the integrative protein signature database.
Nucleic Acids Res. 2009 Jan;37(Database issue):D211-5. doi: 10.1093/nar/gkn785. Epub 2008 Oct 21.
10
Predicting virulence factors of immunological interest.
Methods Mol Biol. 2007;409:407-15. doi: 10.1007/978-1-60327-118-9_31.

文献AI研究员

20分钟写一篇综述,助力文献阅读效率提升50倍。

立即体验

用中文搜PubMed

大模型驱动的PubMed中文搜索引擎

马上搜索

文档翻译

学术文献翻译模型,支持多种主流文档格式。

立即体验