Alahmadi Sana M, Mohamad Sharifah, Maah Mohd Jamil
Department of Chemistry, Faculty of Science, University Malaya, Kuala Lumpur 50603, Malaysia.
Int J Mol Sci. 2012 Oct 23;13(10):13726-36. doi: 10.3390/ijms131013726.
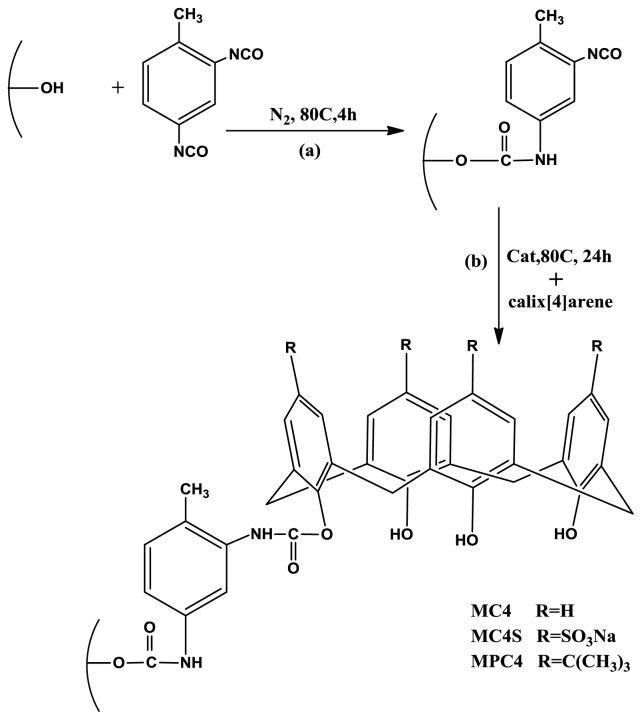
This work reports a new method to covalently attach calix[4]arene derivatives onto MCM-41, using a diisocyanate as a linker. The modified mesoporous silicates were characterized by fourier transform infrared spectroscopy (FTIR), thermal analysis (TGA) and elemental analysis. The FTIR spectra and TGA analysis verified that the calix[4]arene derivates are covalently attached to the mesoporous silica. The preservation of the MCM-41 channel system was checked by X-ray diffraction and nitrogen adsorption analysis.
本研究报道了一种使用二异氰酸酯作为连接剂将杯[4]芳烃衍生物共价连接到MCM-41上的新方法。通过傅里叶变换红外光谱(FTIR)、热分析(TGA)和元素分析对改性介孔硅酸盐进行了表征。FTIR光谱和TGA分析证实杯[4]芳烃衍生物共价连接到了介孔二氧化硅上。通过X射线衍射和氮气吸附分析检查了MCM-41通道系统的保留情况。