• 文献检索
  • 文档翻译
  • 深度研究
  • 学术资讯
  • Suppr Zotero 插件Zotero 插件
  • 邀请有礼
  • 套餐&价格
  • 历史记录
应用&插件
Suppr Zotero 插件Zotero 插件浏览器插件Mac 客户端Windows 客户端微信小程序
定价
高级版会员购买积分包购买API积分包
服务
文献检索文档翻译深度研究API 文档MCP 服务
关于我们
关于 Suppr公司介绍联系我们用户协议隐私条款
关注我们

Suppr 超能文献

核心技术专利:CN118964589B侵权必究
粤ICP备2023148730 号-1Suppr @ 2026

文献检索

告别复杂PubMed语法,用中文像聊天一样搜索,搜遍4000万医学文献。AI智能推荐,让科研检索更轻松。

立即免费搜索

文件翻译

保留排版,准确专业,支持PDF/Word/PPT等文件格式,支持 12+语言互译。

免费翻译文档

深度研究

AI帮你快速写综述,25分钟生成高质量综述,智能提取关键信息,辅助科研写作。

立即免费体验

术中电子放射治疗(IOERT)在局部复发性直肠癌治疗中的应用。

Intraoperative Electron Radiation Therapy (IOERT) in the management of locally recurrent rectal cancer.

机构信息

Clinical Cooperation Unit Radiation Oncology, German Cancer Research Center (DKFZ), Im Neuenheimer Feld 280, Heidelberg, 69120, Germany.

出版信息

BMC Cancer. 2012 Dec 11;12:592. doi: 10.1186/1471-2407-12-592.

DOI:10.1186/1471-2407-12-592
PMID:23231663
原文链接:https://pmc.ncbi.nlm.nih.gov/articles/PMC3557137/
Abstract

BACKGROUND

To evaluate disease control, overall survival and prognostic factors in patients with locally recurrent rectal cancer after IOERT-containing multimodal therapy.

METHODS

Between 1991 and 2006, 97 patients with locally recurrent rectal cancer have been treated with surgery and IOERT. IOERT was preceded or followed by external beam radiation therapy (EBRT) in 54 previously untreated patients (median dose 41.4 Gy) usually combined with 5-Fluouracil-based chemotherapy (89%). IOERT was delivered via cylindric cones with doses of 10-20 Gy. Adjuvant CHT was given only in a minority of patients (34%). Median follow-up was 51 months.

RESULTS

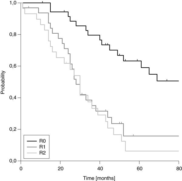
Margin status was R0 in 37%, R1 in 33% and R2 in 30% of the patients. Neoadjuvant EBRT resulted in significantly increased rates of free margins (52% vs. 24%). Median overall survival was 39 months. Estimated 5-year rates for central control (inside the IOERT area), local control (inside the pelvis), distant control and overall survival were 54%, 41%, 40% and 30%. Resection margin was the strongest prognostic factor for overall survival (3-year OS of 80% (R0), 37% (R1), 35% (R2)) and LC (3-year LC 82% (R0), 41% (R1), 18% (R2)) in the multivariate model. OS was further significantly affected by clinical stage at first diagnosis and achievement of local control after treatment in the univariate model. Distant failures were found in 46 patients, predominantly in the lung. 90-day postoperative mortality was 3.1%.

CONCLUSION

Long term OS and LC can be achieved in a substantial proportion of patients with recurrent rectal cancer using a multimodality IOERT-containing approach, especially in case of clear margins. LC and OS remain limited in patients with incomplete resection. Preoperative re-irradiation and adjuvant chemotherapy may be considered to improve outcome.

摘要

背景

评估局部复发性直肠癌患者在接受 IOERT 为基础的多模态治疗后的疾病控制、总生存率和预后因素。

方法

1991 年至 2006 年期间,97 例局部复发性直肠癌患者接受了手术和 IOERT 治疗。在 54 例未经治疗的患者中,IOERT 先于或后于外部束放射治疗(EBRT)进行(中位剂量 41.4 Gy),通常与基于 5-氟尿嘧啶的化疗(89%)联合使用。IOERT 通过剂量为 10-20 Gy 的圆柱状射束进行。辅助 CHT 仅在少数患者中使用(34%)。中位随访时间为 51 个月。

结果

患者的切缘状态为 R0 占 37%,R1 占 33%,R2 占 30%。新辅助 EBRT 显著提高了无切缘(52%比 24%)。中位总生存率为 39 个月。中央控制(IOERT 区域内)、局部控制(骨盆内)、远处控制和总生存率的估计 5 年率分别为 54%、41%、40%和 30%。切除边缘是总生存率(3 年 OS 为 80%(R0)、37%(R1)、35%(R2))和局部控制(3 年 LC 为 82%(R0)、41%(R1)、18%(R2))的最强预后因素在多变量模型中。在单变量模型中,OS 进一步受到首次诊断时临床分期和治疗后局部控制的显著影响。远处失败发生在 46 例患者中,主要在肺部。术后 90 天死亡率为 3.1%。

结论

在局部复发性直肠癌患者中,使用包含 IOERT 的多模态方法可实现长期总生存率和局部控制率,尤其是在切缘清晰的情况下。在不完全切除的患者中,LC 和 OS 仍然有限。术前再照射和辅助化疗可能被认为是改善预后的方法。

https://cdn.ncbi.nlm.nih.gov/pmc/blobs/c57e/3557137/68d82003b4c2/1471-2407-12-592-6.jpg
https://cdn.ncbi.nlm.nih.gov/pmc/blobs/c57e/3557137/d0a0745c0141/1471-2407-12-592-1.jpg
https://cdn.ncbi.nlm.nih.gov/pmc/blobs/c57e/3557137/2bd754fa5a9f/1471-2407-12-592-2.jpg
https://cdn.ncbi.nlm.nih.gov/pmc/blobs/c57e/3557137/c2e619de7f30/1471-2407-12-592-3.jpg
https://cdn.ncbi.nlm.nih.gov/pmc/blobs/c57e/3557137/ff523d520ed4/1471-2407-12-592-4.jpg
https://cdn.ncbi.nlm.nih.gov/pmc/blobs/c57e/3557137/ab85087224f5/1471-2407-12-592-5.jpg
https://cdn.ncbi.nlm.nih.gov/pmc/blobs/c57e/3557137/68d82003b4c2/1471-2407-12-592-6.jpg
https://cdn.ncbi.nlm.nih.gov/pmc/blobs/c57e/3557137/d0a0745c0141/1471-2407-12-592-1.jpg
https://cdn.ncbi.nlm.nih.gov/pmc/blobs/c57e/3557137/2bd754fa5a9f/1471-2407-12-592-2.jpg
https://cdn.ncbi.nlm.nih.gov/pmc/blobs/c57e/3557137/c2e619de7f30/1471-2407-12-592-3.jpg
https://cdn.ncbi.nlm.nih.gov/pmc/blobs/c57e/3557137/ff523d520ed4/1471-2407-12-592-4.jpg
https://cdn.ncbi.nlm.nih.gov/pmc/blobs/c57e/3557137/ab85087224f5/1471-2407-12-592-5.jpg
https://cdn.ncbi.nlm.nih.gov/pmc/blobs/c57e/3557137/68d82003b4c2/1471-2407-12-592-6.jpg

相似文献

1
Intraoperative Electron Radiation Therapy (IOERT) in the management of locally recurrent rectal cancer.术中电子放射治疗(IOERT)在局部复发性直肠癌治疗中的应用。
BMC Cancer. 2012 Dec 11;12:592. doi: 10.1186/1471-2407-12-592.
2
Intraoperative electron and external beam irradiation with or without 5-fluorouracil and maximum surgical resection for previously unirradiated, locally recurrent colorectal cancer.对于先前未接受过放疗的局部复发性结直肠癌,采用术中电子线和外照射,联合或不联合5-氟尿嘧啶,并进行最大程度的手术切除。
Dis Colon Rectum. 1996 Dec;39(12):1379-95. doi: 10.1007/BF02054527.
3
Prognostic impact of external beam radiation therapy in patients treated with and without extended surgery and intraoperative electrons for locally recurrent rectal cancer: 16-year experience in a single institution.局部复发性直肠癌患者接受和未接受扩大手术及术中电子治疗的外照射放疗的预后影响:单机构 16 年经验。
Int J Radiat Oncol Biol Phys. 2013 Aug 1;86(5):892-900. doi: 10.1016/j.ijrobp.2013.04.008.
4
Intraoperative Electron Beam Radiation Therapy (IOERT) Versus High-Dose-Rate Intraoperative Brachytherapy (HDR-IORT) in Patients With an R1 Resection for Locally Advanced or Locally Recurrent Rectal Cancer.局部晚期或局部复发性直肠癌患者行 R1 切除术后术中电子束放疗(IOERT)与高剂量率术中近距离放疗(HDR-IORT)的比较。
Int J Radiat Oncol Biol Phys. 2021 Jul 15;110(4):1032-1043. doi: 10.1016/j.ijrobp.2021.02.006. Epub 2021 Feb 7.
5
Intraoperative electron radiation therapy (IOERT) in patients with locally recurrent renal cell carcinoma.术中电子放射治疗(IOERT)局部复发性肾细胞癌患者。
Radiat Oncol. 2013 Dec 2;8:282. doi: 10.1186/1748-717X-8-282.
6
Intraoperative irradiation for locally recurrent colorectal cancer in previously irradiated patients.对先前接受过放疗的局部复发性结直肠癌患者进行术中放疗。
Int J Radiat Oncol Biol Phys. 2001 Apr 1;49(5):1267-74. doi: 10.1016/s0360-3016(00)01528-5.
7
Feasibility and first results of multimodality treatment, combining EBRT, extensive surgery, and IOERT in locally advanced primary rectal cancer.局部晚期原发性直肠癌多模态治疗(联合体外放射治疗、广泛手术和术中电子线放射治疗)的可行性及初步结果
Int J Radiat Oncol Biol Phys. 2000 May 1;47(2):425-33. doi: 10.1016/s0360-3016(99)00492-7.
8
Intraoperative presacral electron boost following preoperative chemoradiation in T3-4Nx rectal cancer: initial local effects and clinical outcome analysis.T3-4Nx期直肠癌术前放化疗后术中骶前电子线加量照射:初步局部效应及临床结果分析
Radiother Oncol. 2002 Feb;62(2):201-6. doi: 10.1016/s0167-8140(01)00477-7.
9
Long-term results of intraoperative presacral electron boost radiotherapy (IOERT) in combination with total mesorectal excision (TME) and chemoradiation in patients with locally advanced rectal cancer.术中骶前电子束增强放疗(IOERT)联合全直肠系膜切除术(TME)及放化疗治疗局部晚期直肠癌的长期疗效
Int J Radiat Oncol Biol Phys. 2006 Nov 15;66(4):1143-51. doi: 10.1016/j.ijrobp.2006.06.008. Epub 2006 Sep 18.
10
Adjuvant intraoperative electron radiotherapy and external beam radiotherapy for locally advanced transitional cell carcinoma of the ureter.辅助性术中电子线放疗联合外照射放疗用于局部晚期输尿管移行细胞癌
Urol Oncol. 2009 Jan-Feb;27(1):14-20. doi: 10.1016/j.urolonc.2007.07.019. Epub 2008 Jan 14.

引用本文的文献

1
Outcome of intraoperative brachytherapy as a salvage treatment for locally recurrent rectal cancer.术中近距离放射治疗作为局部复发性直肠癌挽救性治疗的结果。
Strahlenther Onkol. 2025 Jan;201(1):27-35. doi: 10.1007/s00066-024-02271-1. Epub 2024 Aug 8.
2
Novel and Innovative Surgical Strategies for Recurrent Rectal Cancer: Uncommon Resections, Local Interventions for Pelvic Reoccurrence, and Intraoperative Radiation Therapy.复发性直肠癌的新型创新手术策略:罕见切除术、盆腔复发的局部干预及术中放射治疗
Clin Colon Rectal Surg. 2023 Mar 24;37(2):66-70. doi: 10.1055/s-0043-1761473. eCollection 2024 Mar.
3
First clinical application of image-guided intraoperative electron radiation therapy with real time intraoperative dose calculation in recurrent rectal cancer: technical procedure.

本文引用的文献

1
Combined modality therapy including intraoperative electron irradiation for locally recurrent colorectal cancer.联合治疗模式,包括术中电子照射,用于局部复发性结直肠癌。
Int J Radiat Oncol Biol Phys. 2011 Jan 1;79(1):143-50. doi: 10.1016/j.ijrobp.2009.10.046. Epub 2010 Apr 13.
2
Current management of locally recurrent rectal cancer.局部复发性直肠癌的当前治疗方法。
Colorectal Dis. 2011 Jul;13(7):732-42. doi: 10.1111/j.1463-1318.2009.02167.x. Epub 2009 Dec 21.
3
Locally recurrent rectal cancer: prognostic factors and long-term outcomes of multimodal therapy.
实时术中剂量计算引导下术中电子放射治疗在复发性直肠癌中的首次临床应用:技术步骤。
Radiat Oncol. 2023 Nov 10;18(1):186. doi: 10.1186/s13014-023-02374-6.
4
Different RONS Generation in MTC-SK and NSCL Cells Lead to Varying Antitumoral Effects of Alpha-Ketoglutarate + 5-HMF.MTC-SK细胞和非小细胞肺癌(NSCL)细胞中不同活性氧氮物种(RONS)的产生导致α-酮戊二酸 + 5-羟甲基糠醛产生不同的抗肿瘤作用。
Curr Issues Mol Biol. 2023 Aug 7;45(8):6503-6525. doi: 10.3390/cimb45080410.
5
Comparing Oncologic Outcomes and Toxicity for Combined Modality Therapy vs. Carbon-Ion Radiotherapy for Previously Irradiated Locally Recurrent Rectal Cancer.比较联合模式疗法与碳离子放疗对既往接受过放疗的局部复发性直肠癌的肿瘤学结局和毒性反应。
Cancers (Basel). 2023 Jun 5;15(11):3057. doi: 10.3390/cancers15113057.
6
Intraoperative electron radiation therapy after salvage surgery in gynecological cancers and retroperitoneal sarcomas: outcomes and adverse effects.妇科癌症和腹膜后肉瘤挽救性手术后的术中电子放射治疗:结果与不良反应
Rep Pract Oncol Radiother. 2022 Oct 31;27(5):905-913. doi: 10.5603/RPOR.a2022.0099. eCollection 2022.
7
Rectal Cancer Metastasis to the Anal Verge: An Unusual Case Presentation and Review of the Literature.直肠癌转移至肛门边缘:一例罕见病例报告及文献复习
Int Med Case Rep J. 2022 Jan 6;15:1-6. doi: 10.2147/IMCRJ.S350999. eCollection 2022.
8
Review of incomplete macroscopic resections (R2) in rectal cancer: Treatment, prognosis and future perspectives.直肠癌不完全宏观切除(R2)的综述:治疗、预后及未来展望。
World J Gastrointest Oncol. 2021 Sep 15;13(9):1062-1072. doi: 10.4251/wjgo.v13.i9.1062.
9
ESTRO/ACROP IORT recommendations for intraoperative radiation therapy in locally recurrent rectal cancer.欧洲放射肿瘤学会/亚太地区放射肿瘤学合作组关于局部复发性直肠癌术中放疗的建议
Clin Transl Radiat Oncol. 2020 Jun 17;24:41-48. doi: 10.1016/j.ctro.2020.06.007. eCollection 2020 Sep.
10
[Intraoperative radiotherapy in abdominal surgery-Own experiences].[腹部手术中的术中放疗——自身经验]
Chirurg. 2020 Nov;91(11):962-969. doi: 10.1007/s00104-020-01165-z.
局部复发性直肠癌:多模态治疗的预后因素和长期结果。
Ann Surg Oncol. 2010 Jan;17(1):152-62. doi: 10.1245/s10434-009-0737-5. Epub 2009 Oct 16.
4
Hyperfractionated accelerated radiotherapy for rectal cancer in patients with prior pelvic irradiation.盆腔放疗后直肠癌的超分割加速放疗。
Int J Radiat Oncol Biol Phys. 2010 May 1;77(1):60-5. doi: 10.1016/j.ijrobp.2009.04.056. Epub 2009 Aug 19.
5
Radical resection after IORT-containing multimodality treatment is the most important determinant for outcome in patients treated for locally recurrent rectal cancer.含术中放疗的多模式治疗后进行根治性切除是局部复发性直肠癌患者治疗结果的最重要决定因素。
Ann Surg Oncol. 2008 Jul;15(7):1937-47. doi: 10.1245/s10434-008-9896-z. Epub 2008 Apr 4.
6
The TME trial after a median follow-up of 6 years: increased local control but no survival benefit in irradiated patients with resectable rectal carcinoma.TME试验,中位随访6年:可切除直肠癌放疗患者的局部控制率提高,但无生存获益。
Ann Surg. 2007 Nov;246(5):693-701. doi: 10.1097/01.sla.0000257358.56863.ce.
7
Patterns of failure and local control after intraoperative electron boost radiotherapy to the presacral space in combination with total mesorectal excision in patients with locally advanced rectal cancer.局部晚期直肠癌患者术中骶前间隙电子线追加放疗联合全直肠系膜切除术后的失败模式和局部控制情况
Int J Radiat Oncol Biol Phys. 2007 Apr 1;67(5):1381-8. doi: 10.1016/j.ijrobp.2006.11.039. Epub 2007 Jan 31.
8
A population-based study on the management and outcome in patients with locally recurrent rectal cancer.一项基于人群的局部复发性直肠癌患者管理与结局的研究。
Ann Surg Oncol. 2007 Feb;14(2):447-54. doi: 10.1245/s10434-006-9256-9. Epub 2006 Dec 2.
9
Long-term results of intraoperative presacral electron boost radiotherapy (IOERT) in combination with total mesorectal excision (TME) and chemoradiation in patients with locally advanced rectal cancer.术中骶前电子束增强放疗(IOERT)联合全直肠系膜切除术(TME)及放化疗治疗局部晚期直肠癌的长期疗效
Int J Radiat Oncol Biol Phys. 2006 Nov 15;66(4):1143-51. doi: 10.1016/j.ijrobp.2006.06.008. Epub 2006 Sep 18.
10
Intraoperative radiation therapy first part: rationale and techniques.术中放射治疗 第一部分:基本原理与技术
Crit Rev Oncol Hematol. 2006 Aug;59(2):106-15. doi: 10.1016/j.critrevonc.2005.11.004. Epub 2006 Jul 14.