Suppr超能文献

吡罗昔康和德拉昔布对犬乳腺肿瘤细胞系的影响。

The effects of piroxicam and deracoxib on canine mammary tumour cell line.

作者信息

Ustün Alkan Fulya, Ustüner Oya, Bakırel Tülay, Cınar Suzan, Erten Gaye, Deniz Günnur

机构信息

Department of Pharmacology and Toxicology, Faculty of Veterinary Medicine, Istanbul University, Avcılar, 34320 Istanbul, Turkey.

出版信息

ScientificWorldJournal. 2012;2012:976740. doi: 10.1100/2012/976740. Epub 2012 Nov 7.

Abstract

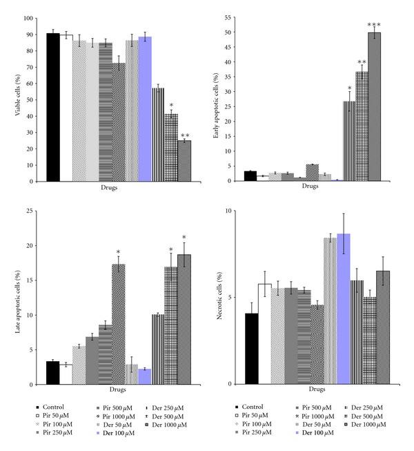
Cyclooxygenase (COX) inhibitors, already widely used for the treatment of pain and inflammation, are considered as promising compounds for the prevention and treatment of neoplasia. The aim of our study was to determine the direct antiproliferative effects of nonsteroidal anti-inflammatory drugs (NSAIDs), piroxicam and deracoxib, at a variety of concentrations as both single and combined treatments on canine mammary carcinoma cell line CMT-U27 and to understand the mechanisms of cell death. MTT assay was performed to determine cell viability, and flow cytometric analyses were performed to evaluate apoptosis and cell cycle alterations. Significant decrease in cell viability was observed at high concentrations of piroxicam and deracoxib in both single and combined treatments after 72 h incubation. Combined treatment produced a significantly greater inhibition than that caused by either agent alone. Also apoptotic cell number was increased by both drugs at the cytotoxic concentrations. However, concomitant treatment of cells with piroxicam and deracoxib resulted in significant induction of apoptosis at lower concentrations and accumulation of cells in the G₀/G₁ phase. Significant cytotoxic effects exhibited by the combination of piroxicam and deracoxib against canine mammary carcinoma cells in vitro suggest an attractive approach for the treatment of canine mammary carcinoma.

摘要

环氧化酶(COX)抑制剂已广泛用于治疗疼痛和炎症,被认为是预防和治疗肿瘤的有前景的化合物。我们研究的目的是确定非甾体抗炎药(NSAIDs)吡罗昔康和德拉考昔在不同浓度下作为单一治疗和联合治疗对犬乳腺癌细胞系CMT-U27的直接抗增殖作用,并了解细胞死亡机制。进行MTT试验以确定细胞活力,并进行流式细胞术分析以评估细胞凋亡和细胞周期改变。在孵育72小时后,无论是单一治疗还是联合治疗,高浓度的吡罗昔康和德拉考昔均观察到细胞活力显著下降。联合治疗产生的抑制作用明显大于单独使用任何一种药物所引起的抑制作用。在细胞毒性浓度下,两种药物也都增加了凋亡细胞数量。然而,吡罗昔康和德拉考昔联合处理细胞会导致在较低浓度下显著诱导细胞凋亡,并使细胞在G₀/G₁期积累。吡罗昔康和德拉考昔联合对犬乳腺癌细胞在体外表现出显著的细胞毒性作用,这表明其是一种有吸引力的犬乳腺癌治疗方法。

https://cdn.ncbi.nlm.nih.gov/pmc/blobs/68da/3518048/fc117ba2c96c/TSWJ2012-976740.001.jpg

文献AI研究员

20分钟写一篇综述,助力文献阅读效率提升50倍。

立即体验

用中文搜PubMed

大模型驱动的PubMed中文搜索引擎

马上搜索

文档翻译

学术文献翻译模型,支持多种主流文档格式。

立即体验