Suppr超能文献

在线论坛中用户主题兴趣的实证分析与建模。

Empirical analysis and modeling of users' topic interests in online forums.

机构信息

School of Electronic and Information Engineering, Beijing Jiaotong University, Beijing, China.

出版信息

PLoS One. 2012;7(12):e50912. doi: 10.1371/journal.pone.0050912. Epub 2012 Dec 12.

Abstract

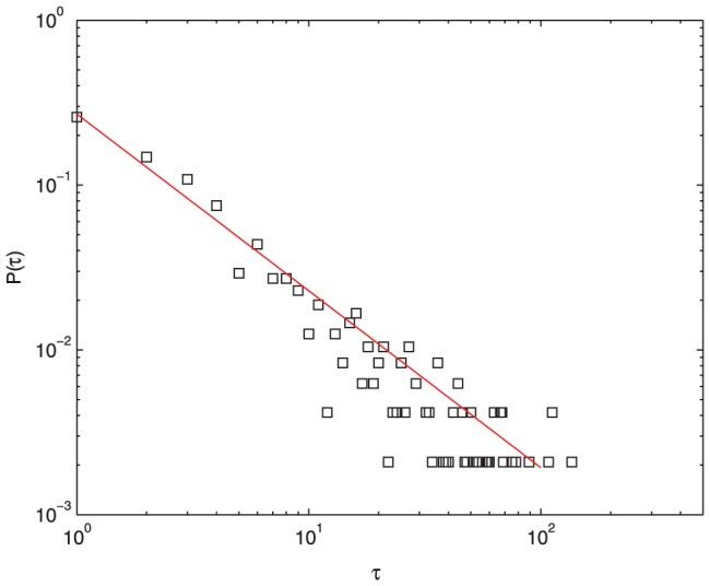
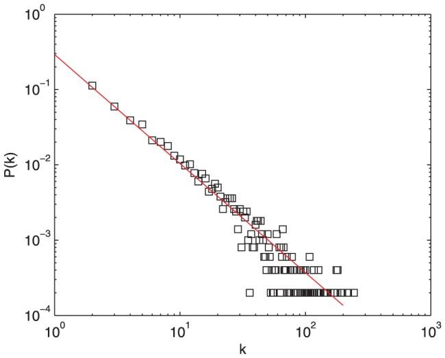
Bulletin Board Systems (BBSs) have demonstrated their usefulness in spreading information. In BBS forums, a few posts that address currently popular social topics attract a lot of attention, and different users are interested in many different discussion topics. We investigate topic cluster features and user interests of an actual BBS forum, analyzing user posting and replying behavior. According to the growing process of BBS, we suggest a network model in which each agent only replies to the posts that belong to its specific topics of interest. A post that is replied to will be immediately assigned the highest priority on the post list. Simulation results show that characteristics of our model are similar to those of the real BBS. The model with heterogeneous user interests promotes the occurrence of popular posts, and the user relationship network possesses a large clustering coefficient. Bursts and long waiting time exist in user replying behavior, leading to non-Poisson user activity pattern. In addition, the model produces an analogous evolving trend of Gini coefficients for posts' and clusters' participants as BBS forums.

摘要

公告牌系统(BBS)已经证明了它们在传播信息方面的有用性。在 BBS 论坛中,少数几个涉及当前热门社会话题的帖子吸引了大量关注,而不同的用户对许多不同的讨论话题感兴趣。我们研究了一个实际 BBS 论坛的主题群特征和用户兴趣,分析了用户发帖和回帖行为。根据 BBS 的发展过程,我们提出了一个网络模型,其中每个代理只回复属于其特定感兴趣主题的帖子。被回复的帖子将立即被分配到帖子列表中的最高优先级。模拟结果表明,我们模型的特征与真实 BBS 的特征相似。具有异质用户兴趣的模型促进了热门帖子的出现,并且用户关系网络具有较大的聚类系数。在用户回帖行为中存在突发和长时间的等待时间,导致用户活动模式不符合泊松分布。此外,该模型产生了类似于 BBS 论坛中帖子和群参与者基尼系数的类似演变趋势。

https://cdn.ncbi.nlm.nih.gov/pmc/blobs/9601/3521000/c184a88f10d8/pone.0050912.g001.jpg

文献AI研究员

20分钟写一篇综述,助力文献阅读效率提升50倍。

立即体验

用中文搜PubMed

大模型驱动的PubMed中文搜索引擎

马上搜索

文档翻译

学术文献翻译模型,支持多种主流文档格式。

立即体验