• 文献检索
  • 文档翻译
  • 深度研究
  • 学术资讯
  • Suppr Zotero 插件Zotero 插件
  • 邀请有礼
  • 套餐&价格
  • 历史记录
应用&插件
Suppr Zotero 插件Zotero 插件浏览器插件Mac 客户端Windows 客户端微信小程序
定价
高级版会员购买积分包购买API积分包
服务
文献检索文档翻译深度研究API 文档MCP 服务
关于我们
关于 Suppr公司介绍联系我们用户协议隐私条款
关注我们

Suppr 超能文献

核心技术专利:CN118964589B侵权必究
粤ICP备2023148730 号-1Suppr @ 2026

文献检索

告别复杂PubMed语法,用中文像聊天一样搜索,搜遍4000万医学文献。AI智能推荐,让科研检索更轻松。

立即免费搜索

文件翻译

保留排版,准确专业,支持PDF/Word/PPT等文件格式,支持 12+语言互译。

免费翻译文档

深度研究

AI帮你快速写综述,25分钟生成高质量综述,智能提取关键信息,辅助科研写作。

立即免费体验

scrambler 疗法治疗带状疱疹后神经痛患者的临床效果观察。

Clinical experiences on the effect of scrambler therapy for patients with postherpetic neuralgia.

机构信息

Department of Anesthesiology and Pain Medicine, Chungnam National University Hospital, Daejeon, Korea.

出版信息

Korean J Pain. 2013 Jan;26(1):98-101. doi: 10.3344/kjp.2013.26.1.98. Epub 2013 Jan 4.

DOI:10.3344/kjp.2013.26.1.98
PMID:23342218
原文链接:https://pmc.ncbi.nlm.nih.gov/articles/PMC3546221/
Abstract

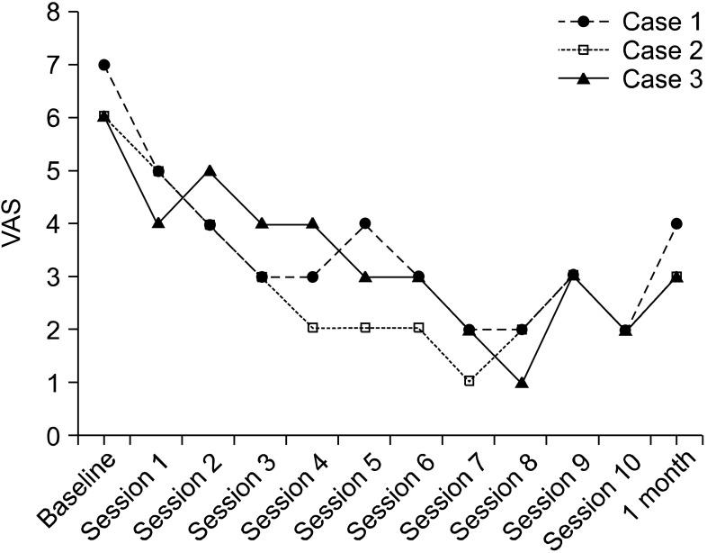
Postherpetic neuralgia (PHN) is a debilitating complication of herpes zoster, especially in elderly and comorbid patients. Unfortunately, the currently available treatments have shown limited efficacy and some adverse events that are poorly tolerated in elderly patients. Scrambler Therapy, proposed as an alternative treatment for chronic neuropathic pain recently, is a noninvasive approach to relieve pain by changing pain perception at the brain level. Here, we report our clinical experiences on the effect of Scrambler Therapy for three patients with PHN refractory to conventional treatment.

摘要

带状疱疹后神经痛 (PHN) 是带状疱疹的一种使人虚弱的并发症,尤其在老年和合并症患者中。不幸的是,目前可用的治疗方法显示出有限的疗效,并且一些不良反应在老年患者中难以耐受。Scrambler 疗法最近被提议作为治疗慢性神经性疼痛的替代方法,是一种通过改变大脑水平的疼痛感知来缓解疼痛的非侵入性方法。在这里,我们报告了我们对三名对常规治疗有抗药性的 PHN 患者进行 Scrambler 疗法的临床经验。

https://cdn.ncbi.nlm.nih.gov/pmc/blobs/fc7c/3546221/10352ed1d4e5/kjpain-26-98-g003.jpg
https://cdn.ncbi.nlm.nih.gov/pmc/blobs/fc7c/3546221/8006b4be10fe/kjpain-26-98-g001.jpg
https://cdn.ncbi.nlm.nih.gov/pmc/blobs/fc7c/3546221/4dd8275d3580/kjpain-26-98-g002.jpg
https://cdn.ncbi.nlm.nih.gov/pmc/blobs/fc7c/3546221/10352ed1d4e5/kjpain-26-98-g003.jpg
https://cdn.ncbi.nlm.nih.gov/pmc/blobs/fc7c/3546221/8006b4be10fe/kjpain-26-98-g001.jpg
https://cdn.ncbi.nlm.nih.gov/pmc/blobs/fc7c/3546221/4dd8275d3580/kjpain-26-98-g002.jpg
https://cdn.ncbi.nlm.nih.gov/pmc/blobs/fc7c/3546221/10352ed1d4e5/kjpain-26-98-g003.jpg

相似文献

1
Clinical experiences on the effect of scrambler therapy for patients with postherpetic neuralgia. scrambler 疗法治疗带状疱疹后神经痛患者的临床效果观察。
Korean J Pain. 2013 Jan;26(1):98-101. doi: 10.3344/kjp.2013.26.1.98. Epub 2013 Jan 4.
2
Use of S-LANSS, a tool for screening neuropathic pain, for predicting postherpetic neuralgia in patients after acute herpes zoster events: a single-center, 12-month, prospective cohort study.使用 S-LANSS(一种用于筛查神经性疼痛的工具)预测急性带状疱疹事件后患者的带状疱疹后神经痛:一项单中心、12 个月、前瞻性队列研究。
J Pain. 2014 Feb;15(2):149-56. doi: 10.1016/j.jpain.2013.10.006. Epub 2013 Oct 26.
3
Scrambler therapy for noncancer neuropathic pain: a focused review. scrambler 疗法治疗非癌性神经性疼痛:重点综述。
Curr Opin Anaesthesiol. 2021 Dec 1;34(6):768-773. doi: 10.1097/ACO.0000000000001073.
4
Treatment options in postherpetic neuralgia.带状疱疹后神经痛的治疗选择。
Acta Neurol Scand Suppl. 1999;173:25-35; discussion 48-52. doi: 10.1111/j.1600-0404.1999.tb07387.x.
5
Treatment Analysis of Patients Followed up With Postherpetic Neuralgia in Nothern Cyprus.北塞浦路斯带状疱疹后神经痛患者的治疗分析
Mater Sociomed. 2022 Mar;34(1):55-59. doi: 10.5455/msm.2022.33.55-59.
6
5% lidocaine medicated plaster in elderly patients with postherpetic neuralgia: results of a compassionate use programme in France.5% 利多卡因贴剂治疗老年带状疱疹后神经痛患者:法国同情用药项目的结果。
Drugs Aging. 2011 Sep 1;28(9):693-702. doi: 10.2165/11595600-000000000-00000.
7
Tolerability of treatments for postherpetic neuralgia.带状疱疹后神经痛治疗的耐受性
Drug Saf. 2004;27(15):1217-33. doi: 10.2165/00002018-200427150-00005.
8
Treatment of Postherpetic Pain With Scrambler Therapy, a Patient-Specific Neurocutaneous Electrical Stimulation Device.使用特定患者神经皮肤电刺激设备——扰频器疗法治疗带状疱疹后神经痛。
Am J Hosp Palliat Care. 2018 May;35(5):812-813. doi: 10.1177/1049909113494002. Epub 2013 Jul 8.
9
Scrambler therapy may relieve chronic neuropathic pain more effectively than guideline-based drug management: results of a pilot, randomized, controlled trial. scrambler 疗法可能比基于指南的药物管理更有效地缓解慢性神经性疼痛:一项试点、随机、对照试验的结果。
J Pain Symptom Manage. 2012 Jan;43(1):87-95. doi: 10.1016/j.jpainsymman.2011.03.015. Epub 2011 Jul 16.
10
The use of gabapentin for the treatment of postherpetic neuralgia.加巴喷丁用于治疗带状疱疹后神经痛。
Clin Ther. 2003 Mar;25(3):852-89. doi: 10.1016/s0149-2918(03)80111-x.

引用本文的文献

1
Differential response to scrambler therapy by neuropathic pain phenotypes.不同神经病理性疼痛表型对 scrambler 疗法的反应差异。
Sci Rep. 2021 May 12;11(1):10148. doi: 10.1038/s41598-021-89667-6.
2
Successful Treatment of Scar Pain with Scrambler Therapy.经皮电刺激神经疗法成功治疗瘢痕疼痛
Cureus. 2019 Oct 14;11(10):e5903. doi: 10.7759/cureus.5903.
3
Scrambler therapy for chemotherapy neuropathy: a randomized phase II pilot trial.化学疗法神经病变的 scrambler 疗法:一项随机 II 期先导试验。

本文引用的文献

1
Scrambler therapy may relieve chronic neuropathic pain more effectively than guideline-based drug management: results of a pilot, randomized, controlled trial. scrambler 疗法可能比基于指南的药物管理更有效地缓解慢性神经性疼痛:一项试点、随机、对照试验的结果。
J Pain Symptom Manage. 2012 Jan;43(1):87-95. doi: 10.1016/j.jpainsymman.2011.03.015. Epub 2011 Jul 16.
2
Managing chronic pain: results from an open-label study using MC5-A Calmare® device.管理慢性疼痛:MC5-A Calmare®设备开放标签研究结果。
Support Care Cancer. 2012 Feb;20(2):405-12. doi: 10.1007/s00520-011-1128-6. Epub 2011 Mar 11.
3
Pilot trial of a patient-specific cutaneous electrostimulation device (MC5-A Calmare®) for chemotherapy-induced peripheral neuropathy.
Support Care Cancer. 2020 Mar;28(3):1183-1197. doi: 10.1007/s00520-019-04881-3. Epub 2019 Jun 17.
4
Inside the Scrambler Therapy, a Noninvasive Treatment of Chronic Neuropathic and Cancer Pain: From the Gate Control Theory to the Active Principle of Information.在 scrambler 疗法中,一种治疗慢性神经性和癌症疼痛的非侵入性方法:从门控控制理论到信息的主动原理。
Integr Cancer Ther. 2019 Jan-Dec;18:1534735419845143. doi: 10.1177/1534735419845143.
5
Scrambler therapy: what's new after 15 years? The results from 219 patients treated for chronic pain.扰频器疗法:15年后有何新进展?219例慢性疼痛患者的治疗结果
Medicine (Baltimore). 2019 Jan;98(2):e13895. doi: 10.1097/MD.0000000000013895.
6
Modalities in managing postherpetic neuralgia.带状疱疹后神经痛的治疗方法
Korean J Pain. 2018 Oct;31(4):235-243. doi: 10.3344/kjp.2018.31.4.235. Epub 2018 Oct 1.
7
Scrambler therapy for the treatment of neuropathic pain related to leukemia in a pediatric patient: A case report.扰频器疗法治疗小儿白血病相关性神经病理性疼痛:一例报告
Medicine (Baltimore). 2017 Nov;96(45):e8629. doi: 10.1097/MD.0000000000008629.
8
Looking back to move forward: a twenty-year audit of herpes zoster in Asia-Pacific.回首往昔,展望未来:亚太地区带状疱疹二十年审计报告
BMC Infect Dis. 2017 Mar 15;17(1):213. doi: 10.1186/s12879-017-2198-y.
9
Scrambler Therapy for the management of chronic pain.用于慢性疼痛管理的扰频器疗法
Support Care Cancer. 2016 Jun;24(6):2807-14. doi: 10.1007/s00520-016-3177-3. Epub 2016 Apr 4.
10
Use of Scrambler Therapy in Acute Paediatric Pain: A Case Report and Review of the Literature.扰频疗法在小儿急性疼痛中的应用:一例病例报告及文献综述
Case Rep Pediatr. 2016;2016:2628919. doi: 10.1155/2016/2628919. Epub 2016 Feb 8.
一种用于治疗化疗引起的周围神经病的患者特异性皮肤电刺激装置(MC5-A Calmare®)的初步试验。
J Pain Symptom Manage. 2010 Dec;40(6):883-91. doi: 10.1016/j.jpainsymman.2010.03.022.
4
Management strategies for herpes zoster and postherpetic neuralgia.带状疱疹及带状疱疹后神经痛的管理策略
J Am Osteopath Assoc. 2007 Mar;107(3 Suppl 1):S8-S13.
5
Scrambler therapy.扰频器疗法
Minerva Anestesiol. 2005 Jul-Aug;71(7-8):479-82.
6
Untreatable pain resulting from abdominal cancer: new hope from biophysics?腹部癌症引发的无法治疗的疼痛:生物物理学带来新希望?
JOP. 2003 Jan;4(1):1-10.