Suppr超能文献

酒精使用障碍相关的病假和死亡率:一项队列研究。

Alcohol use disorder-related sick leave and mortality: a cohort study.

机构信息

Department of Psychiatry, Social Psychiatry and Psychotherapy, Hannover Medical School Centre for Mental Health, Carl-Neuberg-Str, 1, Hannover 30625, Germany.

出版信息

Addict Sci Clin Pract. 2013 Jan 30;8(1):3. doi: 10.1186/1940-0640-8-3.

Abstract

BACKGROUND

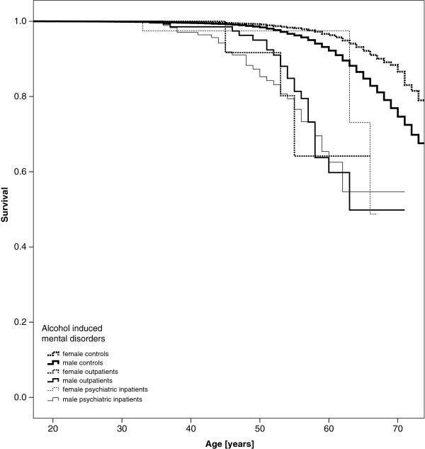
Alcohol use disorders (AUDs) are associated with the highest all-cause mortality rates of all mental disorders. The majority of patients with AUDs never receive inpatient treatment for their AUD, and there is lack of data about their mortality risks despite their constituting the majority of those affected. Absenteeism from work (sick leave) due to an AUD likely signals worsening. In this study, we assessed whether AUD-related sick leave was associated with mortality in a cohort of workers in Germany.

METHODS

128,001 workers with health insurance were followed for a mean of 6.4 years. We examined the associations between 1) AUD-related sick leave managed on an outpatient basis and 2) AUD-related psychiatric inpatient treatment, and mortality using survival analysis, and Cox proportional hazard regression models (separately by sex) adjusted for age, education, and job code classification. We also stratified analyses by sick leave related to three groups of alcohol-related conditions (all determined by International Classification of Diseases 9th ed. (ICD-9) codes): alcohol abuse and dependence; alcohol-induced mental disorder; and alcohol-induced medical conditions.

RESULTS

Outpatient-managed AUD-related sick leave was significantly associated with higher mortality (hazard ratio (HR) 2.90 (95% Confidence interval (CI) 2.24-3.75) for men, HR 5.83 (CI 2.90-11.75) for women). The magnitude of the association was similar for receipt of AUD-related psychiatric inpatient treatment (HR 3.2 (CI 2.76-3.78) for men, HR 6.5 (CI 4.41-9.47) for women). Compared to those without the conditions, higher mortality was observed consistently for outpatients and inpatients across the three groups of alcohol-related conditions. Those with alcohol-related medical conditions who had AUD-related psychiatric inpatient treatment appeared to have the highest mortality.

CONCLUSIONS

Alcohol use disorder-related sick leave as documented in health insurance records is associated with higher mortality. Such sick leave does not necessarily lead to any specific AUD treatment. Therefore, AUD-related sick leave might be used as a trigger for insurers to intervene by offering AUD treatment to patients to try to reduce their risk of death.

摘要

背景

酒精使用障碍(AUD)与所有精神障碍中最高的全因死亡率相关。大多数 AUD 患者从未接受过 AUD 的住院治疗,尽管他们构成了大多数受影响者,但缺乏关于他们的死亡风险的数据。由于 AUD 而缺勤(病假)可能表明病情恶化。在这项研究中,我们评估了德国一个工人队列中 AUD 相关病假与死亡率之间的关系。

方法

对 128001 名有健康保险的工人进行了平均 6.4 年的随访。我们使用生存分析和 Cox 比例风险回归模型(按性别分别),分别检查了 1)门诊管理的 AUD 相关病假和 2)AUD 相关精神病住院治疗与死亡率之间的关联,调整了年龄、教育程度和工作代码分类。我们还按与三组与酒精相关的疾病(均由国际疾病分类第 9 版(ICD-9)代码确定)相关的病假进行了分层分析:酒精滥用和依赖;酒精引起的精神障碍;和酒精引起的医疗状况。

结果

门诊管理的 AUD 相关病假与死亡率显著相关(男性的危险比(HR)为 2.90(95%置信区间(CI)为 2.24-3.75),女性为 5.83(CI 为 2.90-11.75))。接受 AUD 相关精神病住院治疗的关联强度相似(男性 HR 为 3.2(CI 为 2.76-3.78),女性 HR 为 6.5(CI 为 4.41-9.47))。与没有这些疾病的人相比,在三组与酒精相关的疾病中,门诊和住院患者的死亡率均持续升高。那些患有酒精相关医疗状况且接受 AUD 相关精神病住院治疗的患者似乎死亡率最高。

结论

健康保险记录中记录的酒精使用障碍相关病假与更高的死亡率相关。这种病假不一定会导致任何特定的 AUD 治疗。因此,AUD 相关的病假可能被用作保险公司的触发因素,通过向患者提供 AUD 治疗来试图降低他们的死亡风险。

https://cdn.ncbi.nlm.nih.gov/pmc/blobs/6c81/3565982/e9d1a49f851b/1940-0640-8-3-1.jpg

文献AI研究员

20分钟写一篇综述,助力文献阅读效率提升50倍。

立即体验

用中文搜PubMed

大模型驱动的PubMed中文搜索引擎

马上搜索

文档翻译

学术文献翻译模型,支持多种主流文档格式。

立即体验