Suppr超能文献

多走一里路:个体为了与高关系亲属保持面对面的接触,会比与低关系亲属走得更远。

Going that extra mile: individuals travel further to maintain face-to-face contact with highly related kin than with less related kin.

机构信息

Department of Social and Organizational Psychology, VU University Amsterdam, Amsterdam, The Netherlands.

出版信息

PLoS One. 2013;8(1):e53929. doi: 10.1371/journal.pone.0053929. Epub 2013 Jan 25.

Abstract

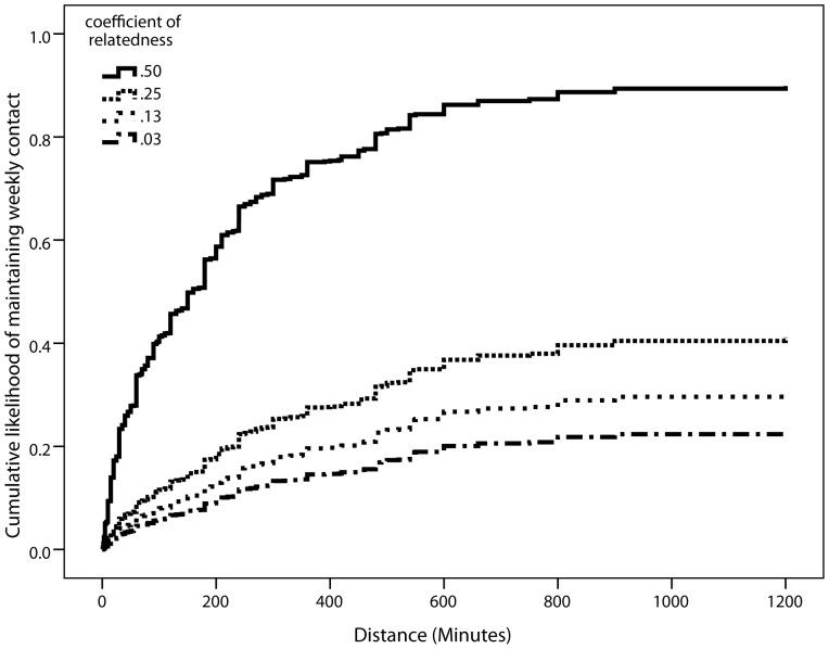
The theory of inclusive fitness has transformed our understanding of cooperation and altruism. However, the proximate psychological underpinnings of altruism are less well understood, and it has been argued that emotional closeness mediates the relationship between genetic relatedness and altruism. In this study, we use a real-life costly behaviour (travel time) to dissociate the effects of genetic relatedness from emotional closeness. Participants travelled further to see more closely related kin, as compared to more distantly related kin. For distantly related kin, the level of emotional closeness mediated this relationship--when emotional closeness was controlled for, there was no effect of genetic relatedness on travel time. However, participants were willing to travel further to visit parents, children and siblings as compared to more distantly related kin, even when emotional closeness was controlled for. This suggests that the mediating effect of emotional closeness on altruism varies with levels of genetic relatedness.

摘要

包容性适合度理论改变了我们对合作和利他主义的理解。然而,利他主义的近因心理基础还不太清楚,有人认为情感亲密程度在遗传相关性和利他主义之间起中介作用。在这项研究中,我们使用现实生活中的一种高代价行为(旅行时间)来区分遗传相关性和情感亲密程度的影响。与关系较远的亲属相比,参与者会花更多的时间去看望更亲近的亲属。对于关系较远的亲属来说,情感亲密程度会影响这种关系——当控制情感亲密程度时,遗传相关性对旅行时间没有影响。然而,即使控制了情感亲密程度,参与者也更愿意去拜访父母、子女和兄弟姐妹,而不是关系较远的亲属。这表明,情感亲密程度对利他主义的中介作用随着遗传相关性的不同而变化。

https://cdn.ncbi.nlm.nih.gov/pmc/blobs/af3f/3556071/44eac1838b98/pone.0053929.g001.jpg

文献AI研究员

20分钟写一篇综述,助力文献阅读效率提升50倍。

立即体验

用中文搜PubMed

大模型驱动的PubMed中文搜索引擎

马上搜索

文档翻译

学术文献翻译模型,支持多种主流文档格式。

立即体验