Suppr超能文献

卡塔尔胸腔结核患者胸腔液干扰素-γ和腺苷脱氨酶的诊断价值。

Diagnostic value of pleural fluid interferon-gamma and adenosine deaminase in patients with pleural tuberculosis in Qatar.

机构信息

Department of Medicine, Hamad General Hospital, Doha, Qatar.

出版信息

Int J Gen Med. 2013;6:13-8. doi: 10.2147/IJGM.S39345. Epub 2013 Jan 10.

Abstract

OBJECTIVE

To investigate the diagnostic utility of interferon-gamma (IFN-γ) and adenosine deaminase (ADA) in tuberculous pleural effusions by determining the best cutoff levels of these two markers for pleural tuberculosis, in the context of the local epidemiological settings in Qatar.

METHODS

We prospectively studied IFN-γ and ADA levels in the pleural fluid of patients presenting to Hamad General Hospital between June 1, 2009 and May 31, 2010.

RESULTS

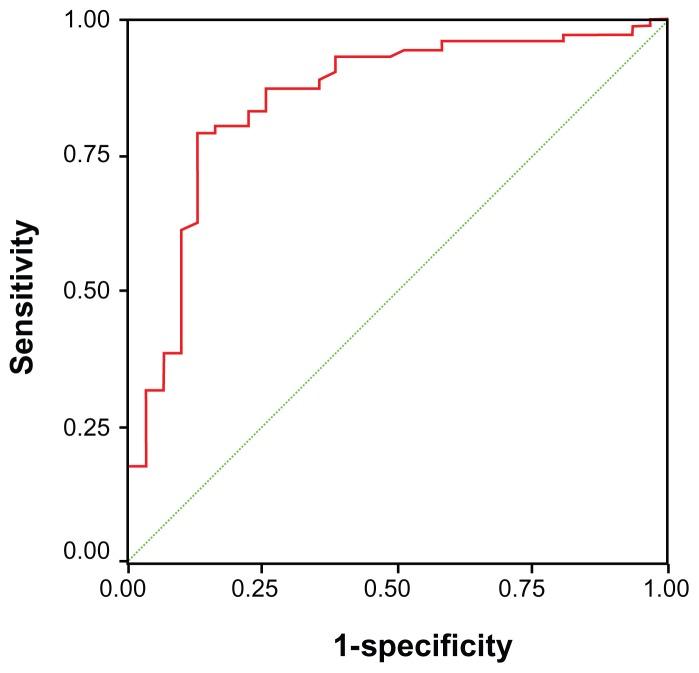
We studied 103 patients with pleural effusions, 72 (69.9%) with pleural tuberculosis, and 31 (30.1%) with nontuberculous etiologies. The mean IFN-γ concentration for the group with tuberculous effusions was significantly higher than that in the group with nontuberculous effusions (1.98 ± 81 vs 0.26 ± 10 pg/mL [P < 0.0001]). The mean ADA activity for the tuberculous effusions group was significantly higher than that in group with nontuberculous effusions (41.30 ± 20.09 vs 14.93 ± 14.87 U/L [P < 0.0001]). By analysis of receiver operating characteristic (ROC) curves, the best cutoff values for IFN-γ and ADA were 0.5 pg/mL and 16.65 U/L, respectively. The results for IFN-γ vs ADA were: for sensitivity, 100% vs 86%, respectively; for specificity, 100% vs 74%, respectively; for positive predictive value, 100% vs 88.5%, respectively; and for negative predictive value, 100% vs 69.7%, respectively.

CONCLUSION

IFN-γ and ADA could be used as valuable parameters for the differentiation of tuberculous from nontuberculous effusion, and IFN-γ was more sensitive and specific for tuberculous effusion than ADA.

摘要

目的

在卡塔尔当地流行病学背景下,通过确定这两种标志物对胸腔结核的最佳截断值,研究干扰素-γ(IFN-γ)和腺苷脱氨酶(ADA)在结核性胸腔积液中的诊断效用。

方法

我们前瞻性研究了 2009 年 6 月 1 日至 2010 年 5 月 31 日期间在哈马德综合医院就诊的胸腔积液患者的胸腔液 IFN-γ和 ADA 水平。

结果

我们研究了 103 例胸腔积液患者,72 例(69.9%)为结核性胸腔积液,31 例(30.1%)为非结核性病因。结核性胸腔积液组 IFN-γ 浓度明显高于非结核性胸腔积液组(1.98±81 与 0.26±10 pg/mL,P<0.0001)。结核性胸腔积液组 ADA 活性明显高于非结核性胸腔积液组(41.30±20.09 与 14.93±14.87 U/L,P<0.0001)。通过分析受试者工作特征(ROC)曲线,IFN-γ 和 ADA 的最佳截断值分别为 0.5 pg/mL 和 16.65 U/L。IFN-γ 与 ADA 的结果分别为:敏感性,100% 比 86%;特异性,100% 比 74%;阳性预测值,100% 比 88.5%;阴性预测值,100% 比 69.7%。

结论

IFN-γ 和 ADA 可作为区分结核性与非结核性胸腔积液的有价值参数,IFN-γ 对结核性胸腔积液的敏感性和特异性均优于 ADA。

https://cdn.ncbi.nlm.nih.gov/pmc/blobs/392e/3553648/fd34290055e6/ijgm-6-013f1.jpg

文献检索

告别复杂PubMed语法,用中文像聊天一样搜索,搜遍4000万医学文献。AI智能推荐,让科研检索更轻松。

立即免费搜索

文件翻译

保留排版,准确专业,支持PDF/Word/PPT等文件格式,支持 12+语言互译。

免费翻译文档

深度研究

AI帮你快速写综述,25分钟生成高质量综述,智能提取关键信息,辅助科研写作。

立即免费体验