Suppr超能文献

体重指数对抑郁症治疗选择和随访的影响。

Influence of body mass index on the choice of therapy for depression and follow-up care.

机构信息

Group Health Research Institute, Group Health Cooperative, Seattle, WA, USA.

出版信息

Obesity (Silver Spring). 2013 Mar;21(3):E303-13. doi: 10.1002/oby.20048.

Abstract

OBJECTIVE

Overweight and obese patients commonly suffer from depression and choice of depression therapy may alter weight. We conducted a cohort study to investigate whether obesity is associated with treatment choices for depression; and whether obesity is associated with appropriate duration of depression treatment and receipt of follow-up visits.

DESIGN AND METHODS

Adults with a diagnosis of depression between January 1, 2006 and March 31, 2010 who had 1+ new episodes of an antidepressant medication and/or psychotherapy were eligible. Medication use, encounters, diagnoses, height, and weight were collected from health plan databases. We modeled receipt of the different therapies (medication and psychotherapy) by BMI and BMI trajectory during the 9-months prior to initiation of therapy using logistic regression models that accommodated correlation within provider and adjusted for covariates. We modeled BMI via a restricted cubic spline. Fluoxetine was the reference treatment option in the medication models.

RESULTS

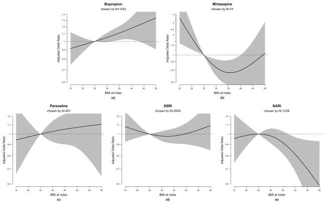
Lower BMI was associated with greater use of mirtazapine, and a declining BMI prior to treatment was associated with greater odds of initiating mirtazapine and paroxetine. Higher BMI was associated with greater odds of initiating bupropion even after adjustment for smoking status. Obese patients were less likely to receive psychotherapy and less likely to receive appropriate duration (180-days) of depression treatment compared to normal weight subjects.

CONCLUSIONS

Our study provides evidence that BMI is considered when choosing therapy but associations were weak. Our results should prompt discussion about recommending and choosing depression treatment plans that optimize depression care and weight management concurrently. Differences in care and follow-up by BMI warrant additional research.

摘要

目的

超重和肥胖患者常患有抑郁症,而抑郁症的治疗选择可能会改变体重。我们进行了一项队列研究,以调查肥胖是否与抑郁症的治疗选择有关;以及肥胖是否与适当的抑郁症治疗持续时间和接受随访有关。

设计和方法

2006 年 1 月 1 日至 2010 年 3 月 31 日期间患有 1 次或多次抗抑郁药和/或心理治疗新发作的成年人符合条件。从健康计划数据库中收集了药物使用、就诊、诊断、身高和体重数据。我们使用逻辑回归模型,根据治疗开始前 9 个月内的 BMI 和 BMI 轨迹,对不同治疗方法(药物和心理治疗)的接受情况进行建模,该模型考虑了提供者内的相关性,并调整了协变量。我们通过限制三次样条模型来建模 BMI。氟西汀是药物模型中参考的治疗选择。

结果

较低的 BMI 与使用米氮平的可能性增加有关,而治疗前 BMI 的下降与米氮平和帕罗西汀起始治疗的可能性增加有关。即使在调整了吸烟状况后,较高的 BMI 也与使用安非他酮的可能性增加有关。与正常体重的受试者相比,肥胖患者接受心理治疗的可能性较小,接受适当持续时间(180 天)的抑郁症治疗的可能性也较小。

结论

我们的研究提供了证据表明,在选择治疗方法时会考虑 BMI,但关联较弱。我们的结果应该促使讨论同时优化抑郁症护理和体重管理的抑郁症治疗计划的推荐和选择。BMI 差异导致的护理和随访差异需要进一步研究。

https://cdn.ncbi.nlm.nih.gov/pmc/blobs/15f8/3630271/b3b91ae6332b/nihms410930f1.jpg

文献检索

告别复杂PubMed语法,用中文像聊天一样搜索,搜遍4000万医学文献。AI智能推荐,让科研检索更轻松。

立即免费搜索

文件翻译

保留排版,准确专业,支持PDF/Word/PPT等文件格式,支持 12+语言互译。

免费翻译文档

深度研究

AI帮你快速写综述,25分钟生成高质量综述,智能提取关键信息,辅助科研写作。

立即免费体验