• 文献检索
  • 文档翻译
  • 深度研究
  • 学术资讯
  • Suppr Zotero 插件Zotero 插件
  • 邀请有礼
  • 套餐&价格
  • 历史记录
应用&插件
Suppr Zotero 插件Zotero 插件浏览器插件Mac 客户端Windows 客户端微信小程序
定价
高级版会员购买积分包购买API积分包
服务
文献检索文档翻译深度研究API 文档MCP 服务
关于我们
关于 Suppr公司介绍联系我们用户协议隐私条款
关注我们

Suppr 超能文献

核心技术专利:CN118964589B侵权必究
粤ICP备2023148730 号-1Suppr @ 2026

文献检索

告别复杂PubMed语法,用中文像聊天一样搜索,搜遍4000万医学文献。AI智能推荐,让科研检索更轻松。

立即免费搜索

文件翻译

保留排版,准确专业,支持PDF/Word/PPT等文件格式,支持 12+语言互译。

免费翻译文档

深度研究

AI帮你快速写综述,25分钟生成高质量综述,智能提取关键信息,辅助科研写作。

立即免费体验

多次呼吸氮冲洗:质谱法的可行替代方法。

Multiple breath nitrogen washout: a feasible alternative to mass spectrometry.

机构信息

Division of Respiratory Medicine, Department of Pediatrics, the Hospital for Sick Children, University of Toronto, Toronto, Canada.

出版信息

PLoS One. 2013;8(2):e56868. doi: 10.1371/journal.pone.0056868. Epub 2013 Feb 15.

DOI:10.1371/journal.pone.0056868
PMID:23457632
原文链接:https://pmc.ncbi.nlm.nih.gov/articles/PMC3574055/
Abstract

BACKGROUND

The lung clearance index (LCI), measured by multiple breath washout (MBW), reflects global ventilation inhomogeneity and is a sensitive marker of early cystic fibrosis (CF) lung disease. Current evidence is based on a customized mass spectrometry system that uses sulfur hexafluoride (SF6) as a tracer gas, which is not widely available. Nitrogen (N2) washout may be better suited for clinical use and multi-center trials.

OBJECTIVE

To compare the results obtained from a N2 washout system to those generated by the SF6 based system in healthy children and children with CF.

METHODS

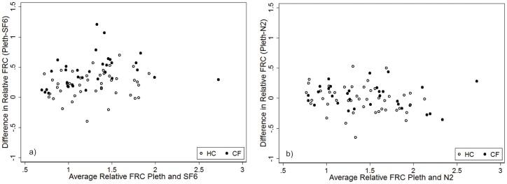
Children with CF were recruited from outpatient clinics; healthy children were recruited from the Research4Kids online portal. Participants performed MBWSF6 (Amis 2000, Innovision, Denmark) and MBWN2 (ExhalyzerD, EcoMedics, Switzerland) in triplicate, in random order on the same day. Agreement between systems was assessed by Bland-Altman plot.

RESULTS

Sixty-two healthy and 61 children with CF completed measurements on both systems. In health there was good agreement between systems (limits of agreement -0.7 to 1.9); on average N2 produced higher values of LCI (mean difference 0.58 (95% CI 0.42 to 0.74)). In CF the difference between systems was double that in health with a clear bias towards disproportionately higher LCIN2 compared to LCISF6 at higher mean values of LCI.

CONCLUSION

LCIN2 and LCISF6 have similar discriminative power and intra-session repeatability but are not interchangeable. MBWN2 offers a valid new tool to investigate early obstructive lung disease in CF, but requires independent normative values.

摘要

背景

通过多呼吸冲洗(MBW)测量的肺清除指数(LCI)反映了全球通气的不均匀性,是早期囊性纤维化(CF)肺疾病的敏感标志物。目前的证据基于使用六氟化硫(SF6)作为示踪气体的定制质谱系统,该系统并不广泛可用。氮气(N2)冲洗可能更适合临床使用和多中心试验。

目的

比较 N2 冲洗系统与基于 SF6 的系统在健康儿童和 CF 儿童中获得的结果。

方法

从门诊诊所招募 CF 患儿;从 Research4Kids 在线门户招募健康儿童。参与者在同一天以随机顺序重复进行三次 MBWSF6(Amis 2000,Innovision,丹麦)和 MBWN2(ExhalyzerD,EcoMedics,瑞士)测量。通过 Bland-Altman 图评估系统间的一致性。

结果

62 名健康儿童和 61 名 CF 儿童完成了两种系统的测量。在健康人群中,两种系统之间具有良好的一致性(一致性界限-0.7 至 1.9);平均而言,N2 产生的 LCI 值更高(平均差异 0.58(95%CI 0.42 至 0.74))。在 CF 中,两种系统之间的差异是健康人群的两倍,并且在 LCI 的平均较高值下,LCIN2 明显偏向于不成比例地高于 LCISF6。

结论

LCIN2 和 LCISF6 具有相似的区分能力和单次内可重复性,但不能互换使用。MBWN2 提供了一种新的有效工具来研究 CF 中的早期阻塞性肺疾病,但需要独立的正常值。

https://cdn.ncbi.nlm.nih.gov/pmc/blobs/cdd7/3574055/e8233ae06766/pone.0056868.g007.jpg
https://cdn.ncbi.nlm.nih.gov/pmc/blobs/cdd7/3574055/dbb8875d8061/pone.0056868.g001.jpg
https://cdn.ncbi.nlm.nih.gov/pmc/blobs/cdd7/3574055/1fac7c8c3d91/pone.0056868.g002.jpg
https://cdn.ncbi.nlm.nih.gov/pmc/blobs/cdd7/3574055/c50c6a5d6098/pone.0056868.g003.jpg
https://cdn.ncbi.nlm.nih.gov/pmc/blobs/cdd7/3574055/e71c73cf9d6c/pone.0056868.g004.jpg
https://cdn.ncbi.nlm.nih.gov/pmc/blobs/cdd7/3574055/50fabff66529/pone.0056868.g005.jpg
https://cdn.ncbi.nlm.nih.gov/pmc/blobs/cdd7/3574055/47e318e2e759/pone.0056868.g006.jpg
https://cdn.ncbi.nlm.nih.gov/pmc/blobs/cdd7/3574055/e8233ae06766/pone.0056868.g007.jpg
https://cdn.ncbi.nlm.nih.gov/pmc/blobs/cdd7/3574055/dbb8875d8061/pone.0056868.g001.jpg
https://cdn.ncbi.nlm.nih.gov/pmc/blobs/cdd7/3574055/1fac7c8c3d91/pone.0056868.g002.jpg
https://cdn.ncbi.nlm.nih.gov/pmc/blobs/cdd7/3574055/c50c6a5d6098/pone.0056868.g003.jpg
https://cdn.ncbi.nlm.nih.gov/pmc/blobs/cdd7/3574055/e71c73cf9d6c/pone.0056868.g004.jpg
https://cdn.ncbi.nlm.nih.gov/pmc/blobs/cdd7/3574055/50fabff66529/pone.0056868.g005.jpg
https://cdn.ncbi.nlm.nih.gov/pmc/blobs/cdd7/3574055/47e318e2e759/pone.0056868.g006.jpg
https://cdn.ncbi.nlm.nih.gov/pmc/blobs/cdd7/3574055/e8233ae06766/pone.0056868.g007.jpg

相似文献

1
Multiple breath nitrogen washout: a feasible alternative to mass spectrometry.多次呼吸氮冲洗:质谱法的可行替代方法。
PLoS One. 2013;8(2):e56868. doi: 10.1371/journal.pone.0056868. Epub 2013 Feb 15.
2
Comparison of lung clearance index determined by washout of N and SF in infants and preschool children with cystic fibrosis.比较 N 和 SF 在患有囊性纤维化的婴儿和学龄前儿童中的清除指数。
J Cyst Fibros. 2019 May;18(3):399-406. doi: 10.1016/j.jcf.2018.11.001. Epub 2018 Nov 9.
3
Feasibility and challenges of using multiple breath washout in COPD.慢性阻塞性肺疾病中使用多次呼气冲洗的可行性与挑战
Int J Chron Obstruct Pulmon Dis. 2018 Jul 10;13:2113-2119. doi: 10.2147/COPD.S164285. eCollection 2018.
4
Contemporary N and SF multiple breath washout in infants and toddlers with cystic fibrosis.当代针对患有囊性纤维化的婴幼儿的氮和单次呼气末二氧化碳多次冲洗法
Pediatr Pulmonol. 2022 Apr;57(4):945-955. doi: 10.1002/ppul.25830. Epub 2022 Jan 25.
5
Correcting for tissue nitrogen excretion in multiple breath washout measurements.在多次呼吸洗脱测量中校正组织氮排泄。
PLoS One. 2017 Oct 11;12(10):e0185553. doi: 10.1371/journal.pone.0185553. eCollection 2017.
6
Abbreviation modalities of nitrogen multiple-breath washout tests in school children with obstructed lung disease.患有阻塞性肺病的学龄儿童氮多次呼吸洗脱试验的缩写方式
Pediatr Pulmonol. 2016 Jun;51(6):624-32. doi: 10.1002/ppul.23339. Epub 2015 Nov 23.
7
Difference between SF and N multiple breath washout kinetics is due to N back diffusion and error in N offset.单次呼吸法(SF)和氮多次呼吸冲洗法(N)动力学之间的差异是由于氮的反向扩散和氮偏移误差。
J Appl Physiol (1985). 2018 Oct 1;125(4):1257-1265. doi: 10.1152/japplphysiol.00326.2018. Epub 2018 Jul 26.
8
Practicability of nitrogen multiple-breath washout measurements in a pediatric cystic fibrosis outpatient setting.在小儿囊性纤维化门诊环境中进行氮多次呼吸冲洗测量的实用性。
Pediatr Pulmonol. 2013 Aug;48(8):739-46. doi: 10.1002/ppul.22651. Epub 2012 Aug 8.
9
Effect of equipment dead space on multiple breath washout measures.设备死腔对多次呼吸冲洗测量的影响。
Respirology. 2015 Apr;20(3):459-66. doi: 10.1111/resp.12470. Epub 2015 Jan 21.
10
A new double-tracer gas single-breath washout to assess early cystic fibrosis lung disease.一种新的双示踪剂气体单次呼吸洗脱法评估早期囊性纤维化肺病。
Eur Respir J. 2013 Feb;41(2):339-45. doi: 10.1183/09031936.00044312. Epub 2012 May 17.

引用本文的文献

1
Inhomogeneity of lung ventilation in children with obesity and its potential role in worsening asthma.肥胖儿童肺通气的不均匀性及其在哮喘恶化中的潜在作用。
Physiol Rep. 2025 Apr;13(8):e70257. doi: 10.14814/phy2.70257.
2
Multiple breath washout and oscillometry after allogenic HSCT: a scoping review.异基因造血干细胞移植后多次呼吸冲洗和振荡法:范围综述。
Eur Respir Rev. 2023 Jul 26;32(169). doi: 10.1183/16000617.0251-2022. Print 2023 Sep 30.
3
The effect of oxygen and carbon dioxide cross-sensitivity sensor error in the Eco Medics Exhalyzer D device on measures of conductive and acinar airway function.

本文引用的文献

1
Consensus statement for inert gas washout measurement using multiple- and single- breath tests.使用多次呼吸和单次呼吸测试进行惰性气体清除测量的共识声明。
Eur Respir J. 2013 Mar;41(3):507-22. doi: 10.1183/09031936.00069712. Epub 2013 Feb 8.
2
Multiple-breath washout measurements can be significantly shortened in children.多次呼吸法清除试验可显著缩短儿童的检查时间。
Thorax. 2013 Jun;68(6):586-7. doi: 10.1136/thoraxjnl-2012-202345. Epub 2012 Oct 31.
3
Practicability of nitrogen multiple-breath washout measurements in a pediatric cystic fibrosis outpatient setting.
Eco Medics Exhalyzer D设备中氧气和二氧化碳交叉敏感性传感器误差对传导性和腺泡气道功能测量的影响。
ERJ Open Res. 2022 Jul 18;8(3). doi: 10.1183/23120541.00614-2021. eCollection 2022 Jul.
4
Nitrogen-based lung clearance index: a valid physiological biomarker for the clinic.基于氮的肺清除指数:一种用于临床的有效的生理生物标志物。
J Appl Physiol (1985). 2022 May 1;132(5):1290-1296. doi: 10.1152/japplphysiol.00511.2021. Epub 2022 Apr 21.
5
What Is Most Suitable for Children With Cystic Fibrosis-The Relationship Between Spirometry, Oscillometry, and Multiple Breath Nitrogen Washout.什么最适合囊性纤维化患儿——肺量计、振荡法与多次呼吸氮洗脱之间的关系
Front Pediatr. 2022 Jan 14;9:692949. doi: 10.3389/fped.2021.692949. eCollection 2021.
6
Better late than never: correcting the error in the Exhalyzer nitrogen washout system.亡羊补牢,为时未晚:纠正呼气分析仪氮气冲洗系统中的错误。
J Appl Physiol (1985). 2021 Oct 1;131(4):1286-1287. doi: 10.1152/japplphysiol.00581.2021. Epub 2021 Sep 16.
7
Longitudinal assessment of lung clearance index to monitor disease progression in children and adults with cystic fibrosis.肺清除指数的纵向评估可用于监测儿童和成人囊性纤维化患者的疾病进展。
Thorax. 2022 Apr;77(4):357-363. doi: 10.1136/thoraxjnl-2021-216928. Epub 2021 Jul 22.
8
The differing physiology of nitrogen and tracer gas multiple-breath washout techniques.氮气与示踪气体多次呼吸洗脱技术的不同生理学原理。
ERJ Open Res. 2021 Apr 19;7(2). doi: 10.1183/23120541.00858-2020. eCollection 2021 Apr.
9
Differences in lung clearance index and functional residual capacity between two commercial multiple-breath nitrogen washout devices in healthy children and adults.两种商用多次呼吸氮洗脱装置在健康儿童和成人中的肺清除指数及功能残气量差异。
ERJ Open Res. 2020 Jun 29;6(2). doi: 10.1183/23120541.00247-2019. eCollection 2020 Apr.
10
Nitrogen offset in N multiple washout method.氮多重复洗脱法中的氮补偿
ERJ Open Res. 2020 Mar 16;6(1). doi: 10.1183/23120541.00335-2019. eCollection 2020 Jan.
在小儿囊性纤维化门诊环境中进行氮多次呼吸冲洗测量的实用性。
Pediatr Pulmonol. 2013 Aug;48(8):739-46. doi: 10.1002/ppul.22651. Epub 2012 Aug 8.
4
A realistic validation study of a new nitrogen multiple-breath washout system.一种新型氮多呼吸清除系统的现实验证研究。
PLoS One. 2012;7(4):e36083. doi: 10.1371/journal.pone.0036083. Epub 2012 Apr 27.
5
Progression of early structural lung disease in young children with cystic fibrosis assessed using CT.使用 CT 评估小儿囊性纤维化早期结构性肺疾病的进展。
Thorax. 2012 Jun;67(6):509-16. doi: 10.1136/thoraxjnl-2011-200912. Epub 2011 Dec 26.
6
Lung Clearance Index and HRCT are complementary markers of lung abnormalities in young children with CF.肺清除指数和高分辨率 CT 是 CF 患儿肺部异常的互补标志物。
Thorax. 2011 Jun;66(6):481-8. doi: 10.1136/thx.2010.150375. Epub 2011 Mar 21.
7
Lung clearance index at 4 years predicts subsequent lung function in children with cystic fibrosis.肺清除指数在 4 岁时可预测囊性纤维化患儿随后的肺功能。
Am J Respir Crit Care Med. 2011 Mar 15;183(6):752-8. doi: 10.1164/rccm.200911-1646OC. Epub 2010 Oct 8.
8
Sensitivity of Lung Clearance Index and chest computed tomography in early CF lung disease.肺清除指数和胸部计算机断层扫描在早期 CF 肺病中的敏感性。
Respir Med. 2010 Dec;104(12):1834-42. doi: 10.1016/j.rmed.2010.06.010. Epub 2010 Jul 15.
9
Short-term effect of physiotherapy on variability of the lung clearance index in children with cystic fibrosis.肺清除指数变异的短期物理治疗对囊性纤维化儿童的影响。
Pediatr Pulmonol. 2010 Mar;45(3):301-6. doi: 10.1002/ppul.21180.
10
Spirometry centile charts for young Caucasian children: the Asthma UK Collaborative Initiative.白种裔幼儿肺功能百分位数图表:英国哮喘合作倡议项目
Am J Respir Crit Care Med. 2009 Sep 15;180(6):547-52. doi: 10.1164/rccm.200903-0323OC. Epub 2009 Jul 2.