Department of Clinical Neuroscience, Center for Molecular Medicine, Karolinska Institutet, , Stockholm, Sweden.
J Neurol Neurosurg Psychiatry. 2013 Nov;84(11):1199-205. doi: 10.1136/jnnp-2012-304332. Epub 2013 Mar 5.
The anti-JC virus (JCV) antibody status has been introduced to stratify patients with multiple sclerosis (MS) for higher or lower risk of progressive multifocal leukoencephalopathy (PML).
To assess the potential utility of anti-JCV antibody levels for earlier diagnosis or prediction of PML.
An analytically validated antibody assay was used to determine serological status, normalised optical density values, and dilution titres for anti-JCV antibodies. The method was applied to stored sera of 1157 patients with MS including five cases of PML, all enrolled in the Swedish pharmacovigilance study for natalizumab (NAT). Anticytomegalovirus (CMV) and antivaricella-zoster (VZV) antibody levels served as controls.
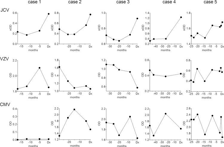
Prior to treatment with NAT, anti-JCV antibody levels were stable in the anti-JCV positive patients. During therapy, a slight decrease in anti-JCV and anti-VZV antibody levels, but not anti-CMV antibody levels, was observed. All five patients who developed PML showed a mild to moderate increase in anti-JCV antibody levels at time of PML diagnosis; pre-PML samples suggested that this increase might start already prior to diagnosis of PML.
Treatment initiation with NAT may lead to a slight decrease in anti-JCV and anti-VZV antibody levels, suggestive of a mild suppressive effect of NAT on antibody levels. Our findings in five cases of PML demonstrate that the onset of PML can be accompanied by increasing anti-JCV antibodies in serum. Monitoring of anti-JCV antibody levels could potentially be used as a tool for prediction or earlier diagnosis of PML during NAT treatment for MS. Further studies are warranted.
抗巨细胞病毒(JCV)抗体状态已被引入,以对多发性硬化症(MS)患者进行分层,以评估其进展性多灶性白质脑病(PML)的高风险或低风险。
评估抗 JCV 抗体水平在 PML 早期诊断或预测中的潜在作用。
使用经过分析验证的抗体检测方法,确定血清学状态、归一化光密度值和抗 JCV 抗体的稀释效价。该方法应用于包括 5 例 PML 在内的 1157 例 MS 患者的储存血清中,这些患者均纳入纳武单抗(NAT)的瑞典药物警戒研究。抗巨细胞病毒(CMV)和抗水痘带状疱疹病毒(VZV)抗体水平作为对照。
在接受 NAT 治疗之前,抗 JCV 阳性患者的抗 JCV 抗体水平稳定。在治疗过程中,观察到抗 JCV 和抗 VZV 抗体水平略有下降,但抗 CMV 抗体水平没有下降。所有 5 例发生 PML 的患者在 PML 诊断时均显示抗 JCV 抗体水平轻度至中度升高;在 PML 诊断之前,可能已经开始出现这种升高。
NAT 治疗的起始可能导致抗 JCV 和抗 VZV 抗体水平略有下降,提示 NAT 对抗体水平有轻度抑制作用。我们在 5 例 PML 中的发现表明,PML 的发生可能伴随着血清中抗 JCV 抗体的增加。监测抗 JCV 抗体水平可能有助于在 MS 接受 NAT 治疗期间预测或早期诊断 PML。需要进一步的研究。