Suppr超能文献

(2,7-Dimeth-oxy-naphthalen-1-yl)(4-phen-oxy-phen-yl)methanone.

作者信息

Sasagawa Kosuke, Sakamoto Rei, Hijikata Daichi, Yonezawa Noriyuki, Okamoto Akiko

机构信息

Department of Organic and Polymer Materials Chemistry, Tokyo University of Agriculture & Technology, Koganei, Tokyo 184-8588, Japan.

出版信息

Acta Crystallogr Sect E Struct Rep Online. 2013 Mar 1;69(Pt 3):o440. doi: 10.1107/S1600536813004820. Epub 2013 Feb 23.

Abstract

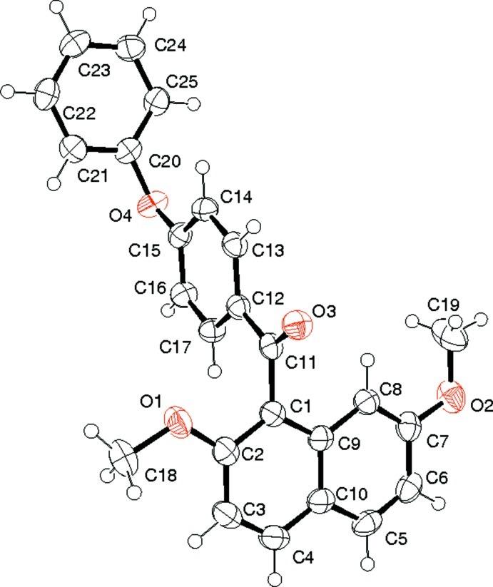
In the title mol-ecule, C25H20O4, the naphthalene and phen-oxy groups are oriented nearly perpendicular with respect to the benzene ring of the benzoyl group, with dihedral angles of 89.61 (5) and 86.13 (6)°, respectively. The crystal structure features C-H⋯O and C-H⋯π inter-actions.

摘要
https://cdn.ncbi.nlm.nih.gov/pmc/blobs/ce69/3588466/d3fc8f8d3b77/e-69-0o440-fig1.jpg

相似文献

1
(2,7-Dimeth-oxy-naphthalen-1-yl)(4-phen-oxy-phen-yl)methanone.
Acta Crystallogr Sect E Struct Rep Online. 2013 Mar 1;69(Pt 3):o440. doi: 10.1107/S1600536813004820. Epub 2013 Feb 23.
2
(8-Benzoyl-2,7-dimeth-oxy-naphthalen-1-yl)(4-phen-oxy-phen-yl)methanone.
Acta Crystallogr Sect E Struct Rep Online. 2013 Mar 1;69(Pt 3):o395-6. doi: 10.1107/S1600536813004303. Epub 2013 Feb 20.
3
[8-(4-But-oxy-benzo-yl)-2,7-dimeth-oxy-naphthalen-1-yl](4-but-oxy-phen-yl)methanone.
Acta Crystallogr Sect E Struct Rep Online. 2011 Dec 1;67(Pt 12):o3354. doi: 10.1107/S1600536811048550. Epub 2011 Nov 19.
4
[8-(4-Phen-oxy-benzo-yl)-2,7-bis-(propan-2-yl-oxy)naphthalen-1-yl](4-phen-oxy-phen-yl)methanone.
Acta Crystallogr Sect E Struct Rep Online. 2013 Feb 1;69(Pt 2):o242. doi: 10.1107/S1600536813000913. Epub 2013 Jan 16.
5
2,7-Dimeth-oxy-1,8-bis-(4-phen-oxy-benzo-yl)naphthalene.
Acta Crystallogr Sect E Struct Rep Online. 2010 Oct 23;66(Pt 11):o2902-3. doi: 10.1107/S1600536810042170.
6
[2,7-Dimeth-oxy-8-(4-meth-oxy-benzo-yl)naphthalen-1-yl](4-meth-oxy-phen-yl)methanone chloro-form monosolvate.
Acta Crystallogr Sect E Struct Rep Online. 2013 Jan 1;69(Pt 1):o146. doi: 10.1107/S1600536812050799. Epub 2012 Dec 22.
7
(3,5-Dimethyl-phen-yl)[8-(3,5-dimethyl-benzo-yl)-2,7-dimeth-oxy-naphthalen-1-yl]methanone.
Acta Crystallogr Sect E Struct Rep Online. 2012 Apr 1;68(Pt 4):o1200. doi: 10.1107/S1600536812012202. Epub 2012 Mar 28.
8
[2,7-Dimeth-oxy-8-(4-propyl-benzo-yl)naphthalen-1-yl](4-propyl-phen-yl)methanone.
Acta Crystallogr Sect E Struct Rep Online. 2012 Aug 1;68(Pt 8):o2596. doi: 10.1107/S1600536812033582. Epub 2012 Jul 28.
9
[8-(4-Chloro-benzo-yl)-2,7-dimeth-oxy-naphthalen-1-yl](2,4,6-trimethyl-phen-yl)methanone.
Acta Crystallogr Sect E Struct Rep Online. 2012 Mar 1;68(Pt 3):o906. doi: 10.1107/S1600536812008112. Epub 2012 Feb 29.
10
(5-Benzoyl-3,6-dimeth-oxy-naphthalen-2-yl)(phen-yl)methanone.
Acta Crystallogr Sect E Struct Rep Online. 2011 May 1;67(Pt 5):o1250. doi: 10.1107/S160053681101508X. Epub 2011 Apr 29.

本文引用的文献

1
(2,7-Dimeth-oxy-naphthalen-1-yl)(4-meth-oxy-phen-yl)methanone.
Acta Crystallogr Sect E Struct Rep Online. 2013 Mar 1;69(Pt 3):o363. doi: 10.1107/S1600536813003218. Epub 2013 Feb 9.
2
2,7-Dimeth-oxy-1-(2-naphtho-yl)naph-thalene.
Acta Crystallogr Sect E Struct Rep Online. 2012 Aug 1;68(Pt 8):o2595. doi: 10.1107/S1600536812033545. Epub 2012 Jul 28.
3
[2,7-Dimeth-oxy-8-(2-naphtho-yl)naphthalen-1-yl](naphthalen-2-yl)methanone.
Acta Crystallogr Sect E Struct Rep Online. 2011 Aug 1;67(Pt 8):o2095. doi: 10.1107/S1600536811028054. Epub 2011 Jul 23.
4
2,7-Dimeth-oxy-1,8-bis-(4-phen-oxy-benzo-yl)naphthalene.
Acta Crystallogr Sect E Struct Rep Online. 2010 Oct 23;66(Pt 11):o2902-3. doi: 10.1107/S1600536810042170.
5
1,8-Dibenzoyl-2,7-dimethoxy-naphthalene.
Acta Crystallogr Sect E Struct Rep Online. 2008 Apr 4;64(Pt 5):o807. doi: 10.1107/S1600536808007009.
6
A short history of SHELX.
Acta Crystallogr A. 2008 Jan;64(Pt 1):112-22. doi: 10.1107/S0108767307043930. Epub 2007 Dec 21.

文献AI研究员

20分钟写一篇综述,助力文献阅读效率提升50倍。

立即体验

用中文搜PubMed

大模型驱动的PubMed中文搜索引擎

马上搜索

文档翻译

学术文献翻译模型,支持多种主流文档格式。

立即体验