Suppr超能文献

胰高血糖素样肽 1 可降低 1 型糖尿病患者由高血糖和低血糖引起的内皮功能障碍、炎症和氧化应激。

Glucagon-like peptide 1 reduces endothelial dysfunction, inflammation, and oxidative stress induced by both hyperglycemia and hypoglycemia in type 1 diabetes.

机构信息

Diabetes and Endocrinology, Insititut d'Investigacions Biomèdiques August Pi i Sunyer and Centro de Investigación Biomédica en Red de Diabetes y Enfermedades Metabólicas Asociadas, Hospital Clínic Barcelona, Barcelona, Spain.

出版信息

Diabetes Care. 2013 Aug;36(8):2346-50. doi: 10.2337/dc12-2469. Epub 2013 Apr 5.

Abstract

OBJECTIVE

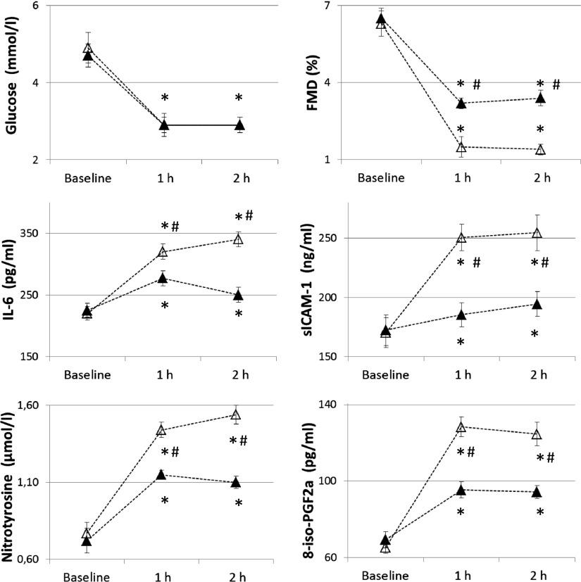
Hyperglycemia and hypoglycemia currently are considered risk factors for cardiovascular disease in type 1 diabetes. Both acute hyperglycemia and hypoglycemia induce endothelial dysfunction and inflammation, raising the oxidative stress. Glucagon-like peptide 1 (GLP-1) has antioxidant properties, and evidence suggests that it protects endothelial function.

RESEARCH DESIGN AND METHODS

The effect of both acute hyperglycemia and acute hypoglycemia in type 1 diabetes, with or without the simultaneous infusion of GLP-1, on oxidative stress (plasma nitrotyrosine and plasma 8-iso prostaglandin F2alpha), inflammation (soluble intercellular adhesion molecule-1 and interleukin-6), and endothelial dysfunction has been evaluated.

RESULTS

Both hyperglycemia and hypoglycemia acutely induced oxidative stress, inflammation, and endothelial dysfunction. GLP-1 significantly counterbalanced these effects.

CONCLUSIONS

These results suggest a protective effect of GLP-1 during both hypoglycemia and hyperglycemia in type 1 diabetes.

摘要

目的

目前认为 1 型糖尿病的高血糖和低血糖是心血管疾病的危险因素。急性高血糖和低血糖均可导致内皮功能障碍和炎症,增加氧化应激。胰高血糖素样肽 1(GLP-1)具有抗氧化特性,有证据表明它能保护内皮功能。

研究设计和方法

本研究评估了 1 型糖尿病患者在急性高血糖和急性低血糖时,有无同时输注 GLP-1,对氧化应激(血浆硝基酪氨酸和血浆 8-异前列腺素 F2alpha)、炎症(可溶性细胞间黏附分子-1 和白细胞介素-6)和内皮功能障碍的影响。

结果

高血糖和低血糖均能急性诱导氧化应激、炎症和内皮功能障碍,GLP-1 能显著拮抗这些作用。

结论

这些结果提示 GLP-1 在 1 型糖尿病的低血糖和高血糖期间具有保护作用。

https://cdn.ncbi.nlm.nih.gov/pmc/blobs/7bfc/3714509/213ed6b11756/2346fig1.jpg

文献AI研究员

20分钟写一篇综述,助力文献阅读效率提升50倍。

立即体验

用中文搜PubMed

大模型驱动的PubMed中文搜索引擎

马上搜索

文档翻译

学术文献翻译模型,支持多种主流文档格式。

立即体验