• 文献检索
  • 文档翻译
  • 深度研究
  • 学术资讯
  • Suppr Zotero 插件Zotero 插件
  • 邀请有礼
  • 套餐&价格
  • 历史记录
应用&插件
Suppr Zotero 插件Zotero 插件浏览器插件Mac 客户端Windows 客户端微信小程序
定价
高级版会员购买积分包购买API积分包
服务
文献检索文档翻译深度研究API 文档MCP 服务
关于我们
关于 Suppr公司介绍联系我们用户协议隐私条款
关注我们

Suppr 超能文献

核心技术专利:CN118964589B侵权必究
粤ICP备2023148730 号-1Suppr @ 2026

文献检索

告别复杂PubMed语法,用中文像聊天一样搜索,搜遍4000万医学文献。AI智能推荐,让科研检索更轻松。

立即免费搜索

文件翻译

保留排版,准确专业,支持PDF/Word/PPT等文件格式,支持 12+语言互译。

免费翻译文档

深度研究

AI帮你快速写综述,25分钟生成高质量综述,智能提取关键信息,辅助科研写作。

立即免费体验

妊娠期哮喘管理。

Asthma management in pregnancy.

机构信息

Department of Pharmacy and Pharmacology, University of Bath, Bath, United Kingdom.

出版信息

PLoS One. 2013 Apr 4;8(4):e60247. doi: 10.1371/journal.pone.0060247. Print 2013.

DOI:10.1371/journal.pone.0060247
PMID:23593182
原文链接:https://pmc.ncbi.nlm.nih.gov/articles/PMC3617219/
Abstract

BACKGROUND

Asthma is common during pregnancy, however research is limited regarding the extent and timing of changes in asthma management associated with pregnancy.

OBJECTIVE

To determine the prevalence of asthma during pregnancy and identify changes in treatment and asthma exacerbation rates associated with pregnancy, while controlling for seasonal influences.

METHODS

Pregnant women with asthma were identified from the UK General Practice Research Database between 2000 and 2008. For each woman asthma medication prescribed during the study period was identified; for each product combination the British Thoracic Society medication-defined asthma treatment step was identified. Asthma exacerbations were identified during pregnancy and in the corresponding 12 months prior. Analyses of changes in asthma treatment and exacerbation rates during pregnancy relative to the corresponding period 12 months prior, to control for seasonality, were stratified by trimester and asthma treatment intensity level.

RESULTS

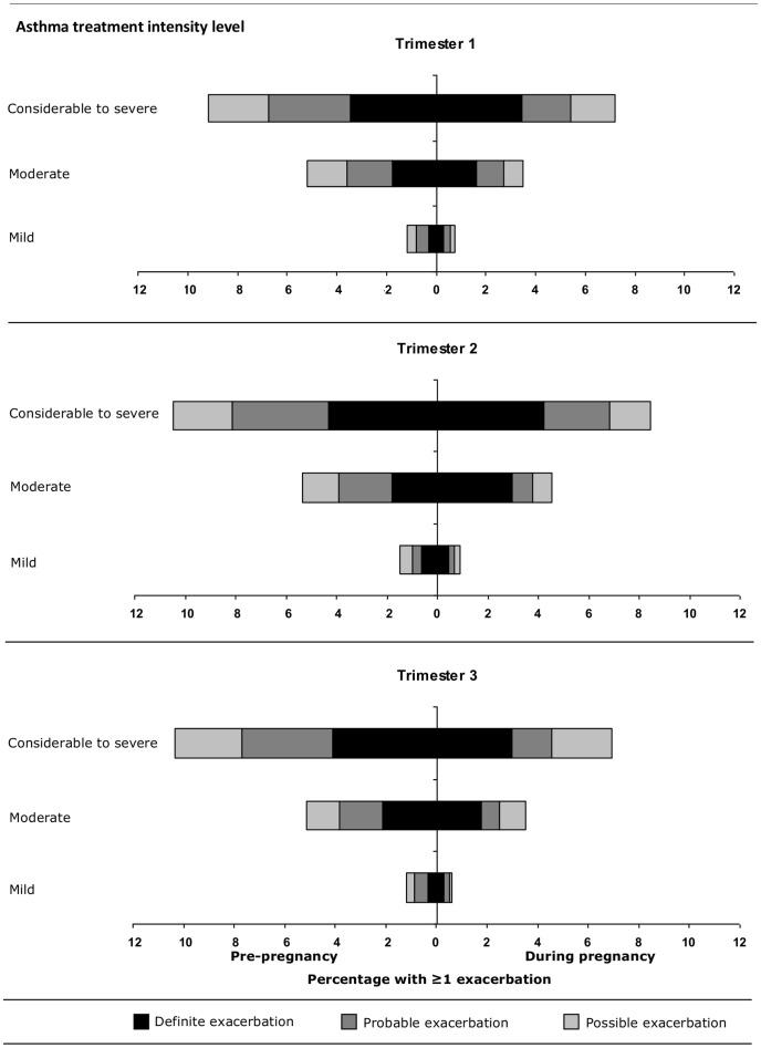
The prevalence of treated asthma in pregnancies resulting in a delivery was 8.3%. From 14,141 pregnancies, in 12,828 women with asthma, 68.4% received prescriptions for a short-acting β2-agonist and 41.2% for inhaled corticosteroids; 76.5% were managed with asthma treatment Step 1 or 2. Poor persistence to inhaled corticosteroids, defined as a gap of up to 60 days between prescriptions, was common. In 45.0% of pregnancies, an increase in average treatment step was observed whereas in 25.6% the treatment step decreased. Treatment intensity remained the same in 29.5% of pregnancies. Exacerbations occurred in 4.8% of pregnancies compared to 5.9% in the same season the year before (p<0.001).

CONCLUSION

Exacerbation rates during pregnancy were slightly lower than in the year before. However, treatment patterns and exacerbation rates in this study suggest asthma control during pregnancy is variable, and women may require close monitoring especially in those with evidence of poor control before pregnancy.

摘要

背景

哮喘在怀孕期间很常见,但关于与怀孕相关的哮喘管理的程度和时间变化的研究有限。

目的

确定怀孕期间哮喘的患病率,并确定与怀孕相关的治疗变化和哮喘恶化率,同时控制季节性影响。

方法

在 2000 年至 2008 年间,从英国全科医生研究数据库中确定患有哮喘的孕妇。在研究期间,为每位妇女开的哮喘药物进行鉴定;对于每个产品组合,确定英国胸科协会药物定义的哮喘治疗步骤。在怀孕期间和之前的 12 个月期间确定哮喘恶化情况。为了控制季节性,根据妊娠期间和之前的 12 个月的三阶段和哮喘治疗强度水平,分析哮喘治疗和恶化率的变化。

结果

导致分娩的妊娠中治疗性哮喘的患病率为 8.3%。在 14141 次妊娠中,在 12828 名患有哮喘的妇女中,68.4%接受了短效β2-激动剂的处方,41.2%接受了吸入皮质类固醇的处方;76.5%的人接受了哮喘治疗第 1 或 2 步的治疗。常见的吸入皮质类固醇的持续使用不佳,定义为处方之间的差距长达 60 天。在 45.0%的妊娠中,观察到平均治疗步骤增加,而在 25.6%的妊娠中治疗步骤减少。29.5%的妊娠治疗强度保持不变。与前一年同期(p<0.001)相比,4.8%的妊娠中发生了恶化。

结论

怀孕期间恶化率略低于前一年。然而,本研究中的治疗模式和恶化率表明,怀孕期间的哮喘控制情况各不相同,尤其是那些在怀孕前就存在控制不佳的证据的妇女,可能需要密切监测。

https://cdn.ncbi.nlm.nih.gov/pmc/blobs/f06e/3617219/88d6d8492155/pone.0060247.g004.jpg
https://cdn.ncbi.nlm.nih.gov/pmc/blobs/f06e/3617219/506c3cbc4f68/pone.0060247.g001.jpg
https://cdn.ncbi.nlm.nih.gov/pmc/blobs/f06e/3617219/a2f0c55b6295/pone.0060247.g002.jpg
https://cdn.ncbi.nlm.nih.gov/pmc/blobs/f06e/3617219/7ad8613bdbed/pone.0060247.g003.jpg
https://cdn.ncbi.nlm.nih.gov/pmc/blobs/f06e/3617219/88d6d8492155/pone.0060247.g004.jpg
https://cdn.ncbi.nlm.nih.gov/pmc/blobs/f06e/3617219/506c3cbc4f68/pone.0060247.g001.jpg
https://cdn.ncbi.nlm.nih.gov/pmc/blobs/f06e/3617219/a2f0c55b6295/pone.0060247.g002.jpg
https://cdn.ncbi.nlm.nih.gov/pmc/blobs/f06e/3617219/7ad8613bdbed/pone.0060247.g003.jpg
https://cdn.ncbi.nlm.nih.gov/pmc/blobs/f06e/3617219/88d6d8492155/pone.0060247.g004.jpg

相似文献

1
Asthma management in pregnancy.妊娠期哮喘管理。
PLoS One. 2013 Apr 4;8(4):e60247. doi: 10.1371/journal.pone.0060247. Print 2013.
2
Effect of pregnancy in asthma on health care use and perinatal outcomes.妊娠对哮喘患者的医疗保健利用和围产期结局的影响。
J Allergy Clin Immunol. 2015 Nov;136(5):1215-23.e1-6. doi: 10.1016/j.jaci.2015.04.043. Epub 2015 Jun 11.
3
Healthcare utilisation by pregnant patients with asthma in South Korea: a cohort study using nationwide claims data.韩国哮喘孕妇的医疗保健利用情况:一项使用全国索赔数据的队列研究。
BMJ Open. 2015 Nov 6;5(11):e008416. doi: 10.1136/bmjopen-2015-008416.
4
Relationship between changes in inhaled corticosteroid use and markers of uncontrolled asthma during pregnancy.怀孕期间吸入性皮质类固醇使用的变化与哮喘未控制的标志物之间的关系。
Pharmacotherapy. 2012 Mar;32(3):202-9. doi: 10.1002/j.1875-9114.2012.01091.x.
5
Poorly Controlled Asthma During Pregnancy Remains Common in the United States.美国妊娠期哮喘控制不佳仍较为常见。
J Allergy Clin Immunol Pract. 2019 Nov-Dec;7(8):2672-2680.e10. doi: 10.1016/j.jaip.2019.05.043. Epub 2019 Jun 28.
6
Asthma exacerbation rates in adults are unchanged over a 5-year period despite high-intensity therapy.尽管进行了高强度治疗,但成人哮喘加重率在5年期间没有变化。
J Allergy Clin Immunol Pract. 2014 Sep-Oct;2(5):570-4.e1. doi: 10.1016/j.jaip.2014.05.002. Epub 2014 Jul 3.
7
Asthma medication prescribing before, during and after pregnancy: a study in seven European regions.孕期前、孕期及产后哮喘药物的处方:一项在欧洲七个地区开展的研究。
BMJ Open. 2016 Jan 19;6(1):e009237. doi: 10.1136/bmjopen-2015-009237.
8
Evaluation of Budesonide-Formoterol for Maintenance and Reliever Therapy Among Patients With Poorly Controlled Asthma: A Systematic Review and Meta-analysis.布地奈德福莫特罗治疗控制不佳哮喘患者的维持和缓解治疗的评价:系统评价和荟萃分析。
JAMA Netw Open. 2022 Mar 1;5(3):e220615. doi: 10.1001/jamanetworkopen.2022.0615.
9
Asthma exacerbations during pregnancy: incidence and association with adverse pregnancy outcomes.孕期哮喘发作:发病率及其与不良妊娠结局的关联
Thorax. 2006 Feb;61(2):169-76. doi: 10.1136/thx.2005.049718.
10
Systemic corticosteroids for the treatment of asthma exacerbations during and outside of pregnancy in an acute-care setting.在急性护理环境中,全身性皮质类固醇用于治疗孕期及非孕期哮喘急性发作。
Respir Med. 2014 Sep;108(9):1260-7. doi: 10.1016/j.rmed.2014.07.001. Epub 2014 Jul 11.

引用本文的文献

1
Derivation of asthma severity from electronic prescription records using British thoracic society treatment steps.基于英国胸科学会治疗步骤从电子处方记录推导哮喘严重程度。
BMC Pulm Med. 2022 Nov 3;22(1):397. doi: 10.1186/s12890-022-02189-3.
2
Risk factors for asthma exacerbations during pregnancy: a systematic review and meta-analysis.妊娠期哮喘加重的危险因素:系统评价和荟萃分析。
Eur Respir Rev. 2022 Jun 14;31(164). doi: 10.1183/16000617.0039-2022. Print 2022 Jun 30.
3
The course of asthma during pregnancy in a recent, multicase-control study on respiratory health.

本文引用的文献

1
Colorectal cancer incidence on the General Practice Research Database.全科医疗研究数据库中的结直肠癌发病率。
Pharmacoepidemiol Drug Saf. 2012 Jul;21(7):775-783. doi: 10.1002/pds.3236. Epub 2012 Mar 2.
2
A meta-analysis of adverse perinatal outcomes in women with asthma.哮喘孕妇不良围产结局的荟萃分析。
BJOG. 2011 Oct;118(11):1314-23. doi: 10.1111/j.1471-0528.2011.03055.x. Epub 2011 Jul 13.
3
Comparing the General Practice Research Database and the UK Epilepsy and Pregnancy Register as tools for postmarketing teratogen surveillance: anticonvulsants and the risk of major congenital malformations.
在最近一项关于呼吸健康的多病例对照研究中,哮喘在孕期的发展过程。
Allergy Asthma Clin Immunol. 2018 Apr 17;14:16. doi: 10.1186/s13223-018-0242-0. eCollection 2018.
4
Circulating Clusterin and Osteopontin Levels in Asthma and Asthmatic Pregnancy.哮喘及哮喘合并妊娠患者的循环簇集蛋白和骨桥蛋白水平
Can Respir J. 2017;2017:1602039. doi: 10.1155/2017/1602039. Epub 2017 Oct 23.
5
Risk of congenital anomalies after exposure to asthma medication in the first trimester of pregnancy - a cohort linkage study.妊娠早期暴露于哮喘药物后先天畸形的风险-队列研究。
BJOG. 2016 Sep;123(10):1609-18. doi: 10.1111/1471-0528.14026. Epub 2016 May 12.
6
Asthma medication prescribing before, during and after pregnancy: a study in seven European regions.孕期前、孕期及产后哮喘药物的处方:一项在欧洲七个地区开展的研究。
BMJ Open. 2016 Jan 19;6(1):e009237. doi: 10.1136/bmjopen-2015-009237.
7
The effectiveness of non-pharmacological healthcare interventions for asthma management during pregnancy: a systematic review.非药物性医疗干预在妊娠期间哮喘管理中的有效性:系统评价。
BMC Pulm Med. 2014 Mar 19;14:46. doi: 10.1186/1471-2466-14-46.
比较全科医学研究数据库和英国癫痫与妊娠登记处作为上市后致畸原监测工具:抗癫痫药物与主要先天性畸形风险。
Drug Saf. 2011 Feb 1;34(2):157-71. doi: 10.2165/11584970-000000000-00000.
4
Asthma in pregnancy and its pharmacologic treatment.妊娠期哮喘及其药物治疗。
Ann Allergy Asthma Immunol. 2010 Aug;105(2):110-7. doi: 10.1016/j.anai.2010.05.016.
5
Medication use in early pregnancy-prevalence and determinants of use in a prospective cohort of women.孕早期用药情况——前瞻性队列研究中孕妇用药的流行率及决定因素。
Pharmacoepidemiol Drug Saf. 2010 Apr;19(4):408-17. doi: 10.1002/pds.1906.
6
High-dose inhaled corticosteroids versus add-on long-acting beta-agonists in asthma: an observational study.高剂量吸入性糖皮质激素与附加长效β受体激动剂治疗哮喘的观察性研究
J Allergy Clin Immunol. 2009 Jan;123(1):116-121.e10. doi: 10.1016/j.jaci.2008.09.035. Epub 2008 Nov 4.
7
Asthma and pregnancy.哮喘与妊娠
Obstet Gynecol. 2006 Sep;108(3 Pt 1):667-81. doi: 10.1097/01.AOG.0000235059.84188.9c.
8
Is fetal gender associated with emergency department visits for asthma during pregnancy?胎儿性别与孕期因哮喘前往急诊科就诊有关吗?
J Asthma. 2006 May;43(4):293-9. doi: 10.1080/02770900600622984.
9
The effect of pregnancy on the course of asthma.
Immunol Allergy Clin North Am. 2006 Feb;26(1):63-80. doi: 10.1016/j.iac.2005.10.008.
10
The general practice research database: role in pharmacovigilance.全科医学研究数据库:在药物警戒中的作用。
Drug Saf. 2004;27(12):871-81. doi: 10.2165/00002018-200427120-00004.