• 文献检索
  • 文档翻译
  • 深度研究
  • 学术资讯
  • Suppr Zotero 插件Zotero 插件
  • 邀请有礼
  • 套餐&价格
  • 历史记录
应用&插件
Suppr Zotero 插件Zotero 插件浏览器插件Mac 客户端Windows 客户端微信小程序
定价
高级版会员购买积分包购买API积分包
服务
文献检索文档翻译深度研究API 文档MCP 服务
关于我们
关于 Suppr公司介绍联系我们用户协议隐私条款
关注我们

Suppr 超能文献

核心技术专利:CN118964589B侵权必究
粤ICP备2023148730 号-1Suppr @ 2026

文献检索

告别复杂PubMed语法,用中文像聊天一样搜索,搜遍4000万医学文献。AI智能推荐,让科研检索更轻松。

立即免费搜索

文件翻译

保留排版,准确专业,支持PDF/Word/PPT等文件格式,支持 12+语言互译。

免费翻译文档

深度研究

AI帮你快速写综述,25分钟生成高质量综述,智能提取关键信息,辅助科研写作。

立即免费体验

糖尿病和糖尿病前期患者干预引起的身体活动和久坐时间变化维持情况的基线预测因素:一项描述性病例系列研究

Baseline predictors of maintenance of intervention-induced changes in physical activity and sitting time among diabetic and pre-diabetic patients: a descriptive case series.

作者信息

Helmink Judith H M, Gubbels Jessica S, van Brussel-Visser Femke N, de Vries Nanne K, Kremers Stef P J

机构信息

Department of Health Promotion, Maastricht University, School for Nutrition, Toxicology and Metabolism (NUTRIM), Maastricht, MD 6200, the Netherlands.

出版信息

BMC Res Notes. 2013 May 8;6:190. doi: 10.1186/1756-0500-6-190.

DOI:10.1186/1756-0500-6-190
PMID:23656718
原文链接:https://pmc.ncbi.nlm.nih.gov/articles/PMC3655840/
Abstract

BACKGROUND

The aim of this study was to explore the predictive value of baseline characteristics in relation to changes in physical activity (PA) and sedentary behaviour among diabetic and pre-diabetic patients participating in a primary care based exercise intervention. We used a descriptive case series among diabetic and pre-diabetic patients (n = 119, 50.8% male, mean age 65.5 (SD = 7.8)). Measurements took place with questionnaires at baseline and two years after the start of the intervention. Predictor variables included demographic factors, Body Mass Index, baseline PA and sitting time, and baseline socio-cognitive profile.

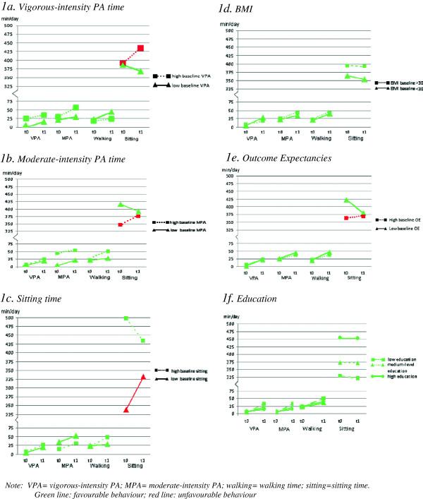
RESULTS

At follow-up, respondents spent more time being physically active than at baseline. For the total group, the average sitting time remained almost unchanged between the two measurements. Further exploration showed that respondents who had relatively high levels of PA at the start of the intervention, increased their total sitting time, while respondents with relatively low levels of PA at the start decreased their sitting time. The socio-cognitive profile did not predict behaviour change. The intervention appeared to be suitable for people with a low-education level, but the results should be interpreted in view of the limitations of the study such as the non-controlled design, self-reported outcomes and selective drop-out of participants.

CONCLUSIONS

Interventions for this specific target group may need to put more emphasis on the prevention of increased sitting time. The finding that the socio-cognitive profile did not predict behaviour change may underline the proposition that decisions to initiate and maintain PA behaviour change are to a large extend non-linear events. Acknowledging the possible non-linearity of the relationship between socio-cognitive determinants and behaviour change will help our understanding of this complex and dynamic process.

摘要

背景

本研究旨在探讨参与基于初级保健的运动干预的糖尿病和糖尿病前期患者的基线特征与身体活动(PA)和久坐行为变化之间的预测价值。我们对糖尿病和糖尿病前期患者进行了描述性病例系列研究(n = 119,男性占50.8%,平均年龄65.5岁(标准差 = 7.8))。在基线和干预开始两年后通过问卷调查进行测量。预测变量包括人口统计学因素、体重指数、基线PA和久坐时间,以及基线社会认知概况。

结果

在随访时,受访者进行身体活动的时间比基线时更多。对于整个组,两次测量之间的平均久坐时间几乎没有变化。进一步探究表明,在干预开始时PA水平相对较高的受访者,其总久坐时间增加,而在开始时PA水平相对较低的受访者则减少了久坐时间。社会认知概况并未预测行为变化。该干预似乎适用于低教育水平的人群,但鉴于研究的局限性,如非对照设计、自我报告的结果和参与者的选择性退出,应谨慎解读结果。

结论

针对这一特定目标群体的干预措施可能需要更加强调预防久坐时间增加。社会认知概况未预测行为变化这一发现可能强调了这样一个观点,即启动和维持PA行为改变的决定在很大程度上是非线性事件。认识到社会认知决定因素与行为改变之间关系可能存在的非线性,将有助于我们理解这一复杂而动态的过程。

https://cdn.ncbi.nlm.nih.gov/pmc/blobs/a117/3655840/b226fc1fe6fd/1756-0500-6-190-1.jpg
https://cdn.ncbi.nlm.nih.gov/pmc/blobs/a117/3655840/b226fc1fe6fd/1756-0500-6-190-1.jpg
https://cdn.ncbi.nlm.nih.gov/pmc/blobs/a117/3655840/b226fc1fe6fd/1756-0500-6-190-1.jpg

相似文献

1
Baseline predictors of maintenance of intervention-induced changes in physical activity and sitting time among diabetic and pre-diabetic patients: a descriptive case series.糖尿病和糖尿病前期患者干预引起的身体活动和久坐时间变化维持情况的基线预测因素:一项描述性病例系列研究
BMC Res Notes. 2013 May 8;6:190. doi: 10.1186/1756-0500-6-190.
2
Efficacy of a Self-Regulation-Based Electronic and Mobile Health Intervention Targeting an Active Lifestyle in Adults Having Type 2 Diabetes and in Adults Aged 50 Years or Older: Two Randomized Controlled Trials.一项针对2型糖尿病成年人及50岁及以上成年人积极生活方式的基于自我调节的电子和移动健康干预措施的效果:两项随机对照试验。
J Med Internet Res. 2019 Aug 2;21(8):e13363. doi: 10.2196/13363.
3
A behaviour change intervention to reduce sedentary time in people with chronic obstructive pulmonary disease: protocol for a randomised controlled trial.一项旨在减少慢性阻塞性肺疾病患者久坐时间的行为改变干预措施:一项随机对照试验的方案。
J Physiother. 2017 Jul;63(3):182. doi: 10.1016/j.jphys.2017.04.001. Epub 2017 May 16.
4
5
Socio-demographic factors associated with physical activity and sitting time patterns in adults: An analysis based on the Portuguese Food, Nutrition and Physical Activity Survey.与成年人身体活动和久坐时间模式相关的社会人口学因素:基于葡萄牙食物、营养和身体活动调查的分析。
Eur J Sport Sci. 2021 Feb;21(2):250-260. doi: 10.1080/17461391.2020.1736643. Epub 2020 Mar 18.
6
Physical activity and sitting time in bariatric surgery patients 1-16 years post-surgery.减肥手术后1至16年的肥胖症手术患者的身体活动和久坐时间。
Clin Obes. 2014 Oct;4(5):267-76. doi: 10.1111/cob.12069. Epub 2014 Aug 7.
7
Familial factors predicting recovery and maintenance of physical activity in people with low back pain: Insights from a population-based twin study.家族因素预测腰痛患者身体活动的恢复和维持:基于人群的双胞胎研究的启示。
Eur J Pain. 2019 Feb;23(2):367-377. doi: 10.1002/ejp.1311. Epub 2018 Sep 21.
8
Low leisure-based sitting time and being physically active were associated with reduced odds of death and diabetes in people with chronic obstructive pulmonary disease: a cohort study.低基于休闲的久坐时间和身体活跃与降低慢性阻塞性肺疾病患者的死亡和糖尿病风险相关:一项队列研究。
J Physiother. 2018 Apr;64(2):114-120. doi: 10.1016/j.jphys.2018.02.007. Epub 2018 Mar 21.
9
The SITLESS project: exercise referral schemes enhanced by self-management strategies to battle sedentary behaviour in older adults: study protocol for a randomised controlled trial.SITLESS项目:通过自我管理策略强化运动转诊计划以对抗老年人久坐行为:一项随机对照试验的研究方案
Trials. 2017 May 18;18(1):221. doi: 10.1186/s13063-017-1956-x.
10
Original research Socio-demographic patterning of self-reported physical activity and sitting time in Latin American countries: findings from ELANS.原创研究:拉丁美洲国家自我报告的身体活动和久坐时间的社会人口学模式:ELANS研究结果
BMC Public Health. 2019 Dec 23;19(1):1723. doi: 10.1186/s12889-019-8048-7.

引用本文的文献

1
Evaluation of Vicarious Somatosensory Experience in Diabetes Mellitus: Bases for Empathy and Social Cognition.糖尿病中替代性体感体验的评估:共情和社会认知的基础
Risk Manag Healthc Policy. 2024 Aug 15;17:1975-1986. doi: 10.2147/RMHP.S464113. eCollection 2024.
2
Evaluation of a Lipid Profile in Normoglycemic and Pre-diabetic Saudi Office Employees in Makka Region: A Case-Control Study.麦加地区正常血糖和糖尿病前期沙特上班族血脂谱评估:一项病例对照研究。
Cureus. 2024 Apr 4;16(4):e57608. doi: 10.7759/cureus.57608. eCollection 2024 Apr.
3
The added value of frequent physical activity group sessions in a combined lifestyle intervention: A cluster randomised trial in primary care.

本文引用的文献

1
Exercise, physical activity, and self-determination theory: a systematic review.运动、身体活动与自我决定理论:系统综述
Int J Behav Nutr Phys Act. 2012 Jun 22;9:78. doi: 10.1186/1479-5868-9-78.
2
Sitting time and Body Mass Index in diabetics and pre-diabetics willing to participate in a lifestyle intervention.愿意参加生活方式干预的糖尿病患者和糖尿病前期患者的久坐时间与身体质量指数。
Int J Environ Res Public Health. 2011 Sep;8(9):3747-58. doi: 10.3390/ijerph8093747. Epub 2011 Sep 19.
3
Modelling the theory of planned behaviour and past behaviour.
联合生活方式干预中频繁进行体育活动小组课程的附加值:一项初级保健中的整群随机试验。
Prev Med Rep. 2020 Sep 11;20:101204. doi: 10.1016/j.pmedr.2020.101204. eCollection 2020 Dec.
4
Change in physical activity after a diabetes diagnosis: opportunity for intervention.糖尿病诊断后体力活动的变化:干预的机会。
Med Sci Sports Exerc. 2014 Jan;46(1):84-91. doi: 10.1249/MSS.0b013e3182a33010.
理论性计划行为模型与过去行为。
Psychol Health Med. 2003 Feb 1;8(1):57-69. doi: 10.1080/1354850021000059269.
4
Abdominal obesity, TV-viewing time and prospective declines in physical activity.腹部肥胖、看电视时间与体力活动的预期下降。
Prev Med. 2011 Oct;53(4-5):299-302. doi: 10.1016/j.ypmed.2011.07.012. Epub 2011 Jul 23.
5
Relationship between sedentary behaviour, physical activity, muscle quality and body composition in healthy older adults.健康老年人久坐行为、身体活动、肌肉质量与身体成分之间的关系。
Age Ageing. 2012 Jan;41(1):111-4. doi: 10.1093/ageing/afr075. Epub 2011 Jul 12.
6
Are physical activity interventions in primary care and the community cost-effective? A systematic review of the evidence.在初级保健和社区中进行身体活动干预是否具有成本效益?系统评价证据。
Br J Gen Pract. 2011 Mar;61(584):e125-33. doi: 10.3399/bjgp11X561249.
7
Sedentary time and cardio-metabolic biomarkers in US adults: NHANES 2003-06.美国成年人久坐时间与心血管代谢生物标志物:NHANES 2003-2006
Eur Heart J. 2011 Mar;32(5):590-7. doi: 10.1093/eurheartj/ehq451. Epub 2011 Jan 11.
8
Too much sitting: the population health science of sedentary behavior.久坐行为的人群健康科学:坐得太久了。
Exerc Sport Sci Rev. 2010 Jul;38(3):105-13. doi: 10.1097/JES.0b013e3181e373a2.
9
Development and implementation of a lifestyle intervention to promote physical activity and healthy diet in the Dutch general practice setting: the BeweegKuur programme.在荷兰常规医疗环境中开展和实施生活方式干预以促进身体活动和健康饮食:BeweegKuur 项目。
Int J Behav Nutr Phys Act. 2010 May 26;7:49. doi: 10.1186/1479-5868-7-49.
10
Physical activity and diabetes: an application of the theory of planned behaviour to explain physical activity for Type 1 and Type 2 diabetes in an adult population sample.体力活动与糖尿病:计划行为理论在解释成年人群中 1 型和 2 型糖尿病体力活动中的应用。
Psychol Health. 2010 Jan;25(1):7-23. doi: 10.1080/08870440802160984.