Suppr超能文献

木本植物顶芽中地上组织和木质部组织的海拔变化:对树线形成的启示。

Altitudinal variations of ground tissue and xylem tissue in terminal shoot of woody species: implications for treeline formation.

机构信息

Institute of Landscape Ecology of Mountainous Horticulture, Southwest University, Chongqing, China.

出版信息

PLoS One. 2013 Apr 26;8(4):e62163. doi: 10.1371/journal.pone.0062163. Print 2013.

Abstract
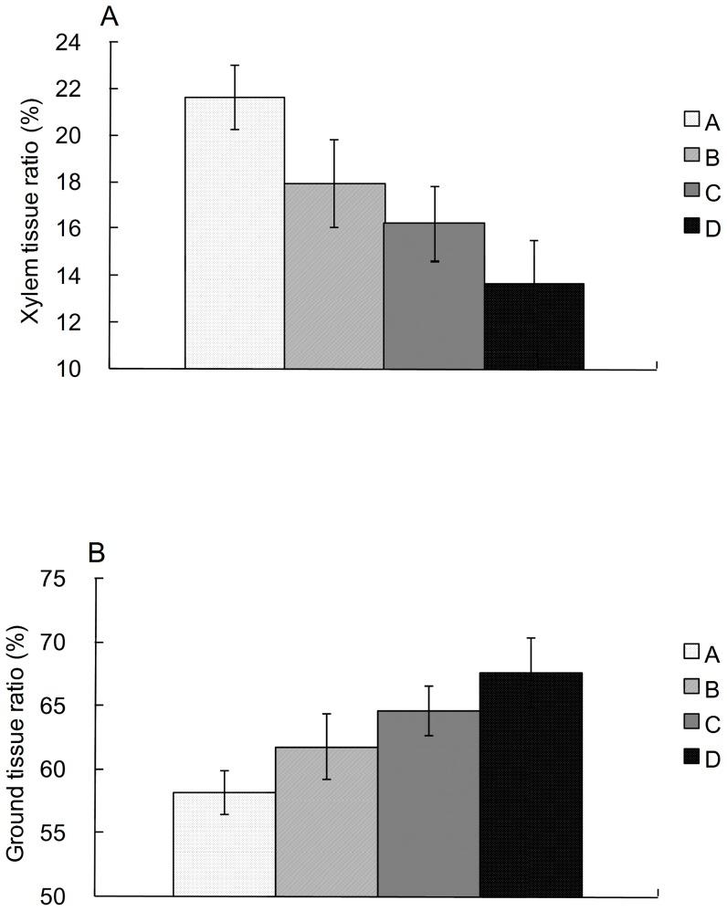
  1. The terminal shoot (or current-year shoot), as one of the most active parts on a woody plant, is a basic unit determining plant height and is potentially influenced by a variety of environmental factors. It has been predicted that tissues amount and their allocation in plant stems may play a critical role in determining plant size in alpine regions. The primary structure in terminal shoots is a key to our understanding treeline formation. The existing theories on treeline formation, however, are still largely lacking of evidence at the species level, much less from anatomy for the terminal shoot. 2. The primary structures within terminal shoot were measured quantitatively for 100 species from four elevation zones along the eastern slope of Gongga Mountain, southwestern China; one group was sampled from above the treeline. An allometric approach was employed to examine scaling relationships interspecifically, and a principal components analysis (PCA) was performed to test the relation among primary xylem, ground tissue, species growth form and altitude. 3. The results showed that xylem tissue size was closely correlated with ground tissue size isometrically across species, while undergoing significant y- or/and x-intercept shift in response to altitudinal belts. Further, a conspicuous characteristic of terminal shoot was its allocation of contrasting tissues between primary xylem and ground tissues with increasing elevation. The result of the PCA showed correlations between anatomical variation, species growth form/height classes and environment. 4. The current study presents a comparative assessment of the allocation of tissue in terminal shoot across phylogenically and ecologically diverse species, and analyzes tissue, function and climate associations with plant growth forms and height classes among species. The interspecific connection between primary xylem ratio and plant size along an elevation gradient suggests the importance of primary xylem in explaining the treeline formation.
摘要
  1. 顶芽(或当年生枝)作为木本植物最活跃的部分之一,是决定植物高度的基本单位,可能受到多种环境因素的影响。人们预测,植物茎组织的数量及其分配可能在决定高山地区植物大小方面起着关键作用。顶芽的初生结构是理解树线形成的关键。然而,现有的树线形成理论在很大程度上仍然缺乏物种水平的证据,更不用说从顶芽的解剖学角度来看了。

  2. 为了研究这个问题,我们对来自中国贡嘎山东坡四个海拔带的 100 种植物的顶芽初生结构进行了定量测量,其中一组样本采自树线以上。采用异速生长方法检验种间的尺度关系,并用主成分分析(PCA)检验初生木质部、地组织、物种生长型和海拔之间的关系。

  3. 结果表明,木质部组织大小与地组织大小呈等比关系,而在不同海拔带,木质部组织大小与地组织大小的比例呈显著的 y 或/和 x 截距变化。此外,顶芽的一个显著特征是,随着海拔的升高,初生木质部和地组织之间的组织分配存在明显差异。PCA 的结果显示了解剖学变异、物种生长型/高度类群与环境之间的相关性。

  4. 本研究对不同系统发育和生态条件下的物种顶芽组织分配进行了比较评估,并分析了组织、功能和气候与物种生长型和高度类群的关系。沿海拔梯度,初生木质部比例与植物大小的种间关系表明,初生木质部在解释树线形成方面具有重要意义。

https://cdn.ncbi.nlm.nih.gov/pmc/blobs/1a77/3637301/d36a7c57bc93/pone.0062163.g001.jpg

文献AI研究员

20分钟写一篇综述,助力文献阅读效率提升50倍。

立即体验

用中文搜PubMed

大模型驱动的PubMed中文搜索引擎

马上搜索

文档翻译

学术文献翻译模型,支持多种主流文档格式。

立即体验