Departamento de Biología, Facultad de Química, UNAM, 04510 Mexico City, DF, Mexico.
Evid Based Complement Alternat Med. 2013;2013:135314. doi: 10.1155/2013/135314. Epub 2013 Apr 4.
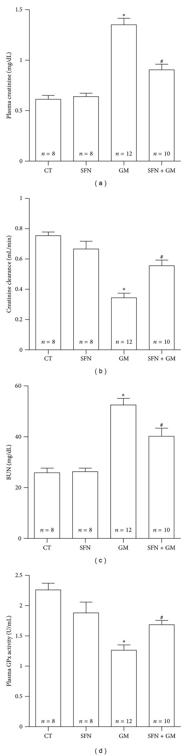
Sulforaphane (SFN), an isothiocyanate naturally occurring in Cruciferae, induces cytoprotection in several tissues. Its protective effect has been associated with its ability to induce cytoprotective enzymes through an Nrf2-dependent pathway. Gentamicin (GM) is a widely used antibiotic; nephrotoxicity is the main side effect of this compound. In this study, it was investigated if SFN is able to induce protection against GM-induced nephropathy both in renal epithelial LLC-PK1 cells in culture and in rats. SFN prevented GM-induced death and loss of mitochondrial membrane potential in LLC-PK1 cells. In addition, it attenuated GM-induced renal injury (proteinuria, increases in serum creatinine, in blood urea nitrogen, and in urinary excretion on N-acetyl- β -D-glucosaminidase, and decrease in creatinine clearance and in plasma glutathione peroxidase activity) and necrosis and apoptosis in rats. The apoptotic death was associated with enhanced active caspase-9. Caspase-8 was unchanged in all the studied groups. In addition, SFN was able to prevent GM-induced protein nitration and decrease in the activity of antioxidant enzymes catalase and glutathione peroxidase in renal cortex. In conclusion, the protective effect of SFN against GM-induced acute kidney injury could be associated with the preservation in mitochondrial function that would prevent the intrinsic apoptosis and nitrosative stress.
萝卜硫素(SFN)是十字花科植物中天然存在的异硫氰酸盐,可诱导多种组织的细胞保护作用。其保护作用与其通过 Nrf2 依赖性途径诱导细胞保护酶的能力有关。庆大霉素(GM)是一种广泛使用的抗生素;这种化合物的主要副作用是肾毒性。在这项研究中,研究了 SFN 是否能够在培养的肾上皮 LLC-PK1 细胞和大鼠中诱导对 GM 诱导的肾病的保护作用。SFN 可预防 GM 诱导的 LLC-PK1 细胞死亡和线粒体膜电位丧失。此外,它还可减轻 GM 诱导的大鼠肾损伤(蛋白尿,血清肌酐,血尿素氮和 N-乙酰-β-D-氨基葡萄糖苷酶排泄增加,肌酐清除率和血浆谷胱甘肽过氧化物酶活性降低)和坏死和细胞凋亡。细胞凋亡死亡与活性 caspase-9 的增加有关。在所有研究组中,caspase-8 均未改变。此外,SFN 可防止 GM 诱导的蛋白质硝化以及肾皮质中抗氧化酶过氧化氢酶和谷胱甘肽过氧化物酶活性的降低。总之,SFN 对 GM 诱导的急性肾损伤的保护作用可能与维持线粒体功能有关,可防止内在的细胞凋亡和硝化应激。