Suppr超能文献

一种通过与2,3,5,6-四氯-1,4-苯醌反应分光光度法测定药物制剂中盐酸苯丙醇胺的新方法。

A New Spectrophotometric Method for Determination of Phenylpropanolamine HCl in its Pharmaceutical Formulations via Reaction with 2,3,5,6-tetrachloro-1,4-benzoquinone.

作者信息

Walash M I, El-Enany N, Saad S

机构信息

Department of Analytical Chemistry, Faculty of Pharmacy, University of Mansoura, Mansoura, Egypt.

出版信息

Int J Biomed Sci. 2010 Jun;6(2):150-7.

Abstract

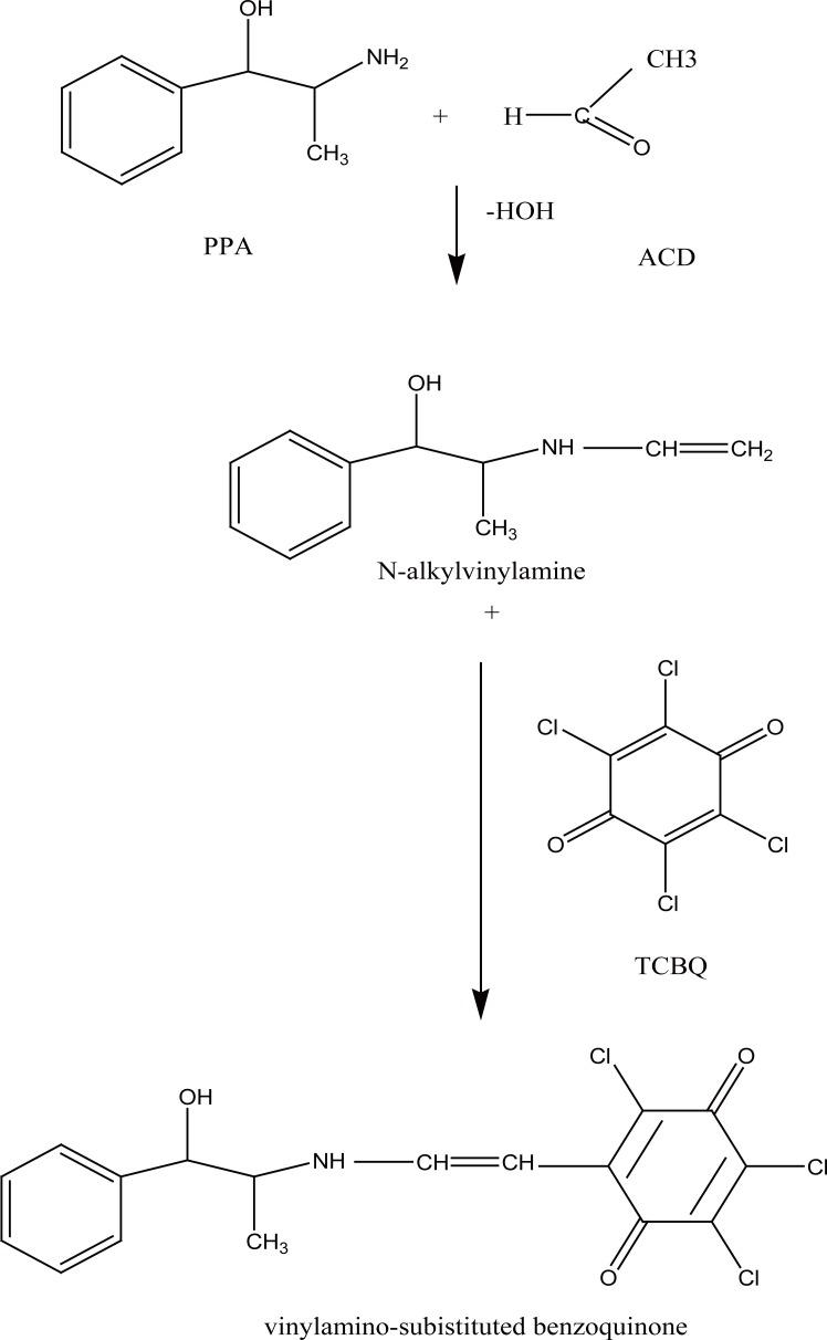
A selective and simple spectrophotometric method has been developed for the determination of phenylpropanolamine HCl (PPA) in its dosage forms. The method was based on the formation of a colored N-vinyl chlorobenzoquinone derivative of PPA through its reaction with 2,3,5,6-tetrachloro-1,4-benzoquinone in presence of acetaldehyde. The colored product exhibits maximum absorbance at 650 nm. Different experimental parameters affecting formation and stability of the product were carefully studied and optimized. The stoichiometry of the reaction was determined, and the reaction pathway was postulated. The absorbance concentration plot was rectilinear over the range of 5-100 μg/mL with Limit of Detection (LOD) and Limit of Quantitation (LOQ) of 0.244 μg/mL and 0.74 μg/mL respectively. The analytical performance of the method was fully validated, and the results were satisfactory. The proposed method was successfully applied to the determination of PPA in its commercial dosage forms including tablets, capsules and syrups with good recoveries. Statistical comparison of the results with those of the comparison method showed good agreement and proved that there was no significant difference in the accuracy and precision between the reference and the proposed methods. The mechanism of the reaction pathway was postulated.

摘要

已开发出一种选择性且简便的分光光度法,用于测定盐酸苯丙醇胺(PPA)制剂中的含量。该方法基于PPA在乙醛存在下与2,3,5,6 - 四氯 - 1,4 - 苯醌反应形成有色的N - 乙烯基氯代苯醌衍生物。该有色产物在650 nm处有最大吸收。仔细研究并优化了影响产物形成和稳定性的不同实验参数。确定了反应的化学计量关系,并推测了反应途径。吸光度 - 浓度曲线在5 - 100 μg/mL范围内呈线性,检测限(LOD)和定量限(LOQ)分别为0.244 μg/mL和0.74 μg/mL。该方法的分析性能得到了充分验证,结果令人满意。所提出的方法成功应用于商业制剂(包括片剂、胶囊和糖浆)中PPA的测定,回收率良好。将结果与对照方法进行统计比较,显示出良好的一致性,证明参考方法和所提出的方法在准确性和精密度方面没有显著差异。推测了反应途径的机理。

https://cdn.ncbi.nlm.nih.gov/pmc/blobs/2832/3614736/183792e343f4/IJBS-6-150_F1.jpg

文献检索

告别复杂PubMed语法,用中文像聊天一样搜索,搜遍4000万医学文献。AI智能推荐,让科研检索更轻松。

立即免费搜索

文件翻译

保留排版,准确专业,支持PDF/Word/PPT等文件格式,支持 12+语言互译。

免费翻译文档

深度研究

AI帮你快速写综述,25分钟生成高质量综述,智能提取关键信息,辅助科研写作。

立即免费体验