Suppr超能文献

预测高脂肪饮食对雄性大鼠脂肪肝和海马依赖型记忆的影响。

Predicting the effects of a high-energy diet on fatty liver and hippocampal-dependent memory in male rats.

机构信息

Neuroscience Institute, Georgia State University, Atlanta, Georgia, USA.

出版信息

Obesity (Silver Spring). 2013 May;21(5):910-7. doi: 10.1002/oby.20167.

Abstract

OBJECTIVE

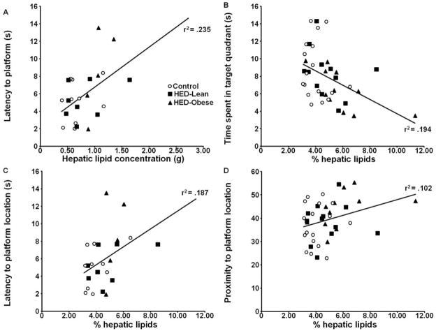
In rodents, diets exceeding nutritional requirements (i.e., high-energy diets; HED) impair hippocampal-dependent memory. Our research suggests that the effects likely involve HED-induced increases in liver lipids. In this experiment, rats were provided with diet choices to test whether voluntary consumption of a HED impairs spatial memory, whether differences in initial weight gain predict memory deficits, and whether increases in liver lipids are associated with the memory deficits.

DESIGN AND METHODS

Adult male Sprague-Dawley rats were given a control diet or cafeteria-style HED for 8 weeks. Weight gain during the first 5 days on the diet was used to divide rats into a HED-Lean group and a HED-Obese group. Spatial water maze memory was tested 8 weeks later and postmortem liver lipid concentrations were quantified.

RESULTS

Compared with the HED-Lean and control rats, the HED-Obese rats had impaired spatial memory and met the human diagnostic criterion of non-alcoholic fatty liver disease (>5% liver lipids relative to liver weight). Moreover, liver lipids were correlated with memory deficits.

CONCLUSIONS

These findings show that voluntary consumption of a HED impairs memory, that initial weight gain predicts fatty liver and memory deficits, and that fatty liver may contribute to the memory-impairing effects of obesity.

摘要

目的

在啮齿动物中,超过营养需求的饮食(即高能饮食;HED)会损害海马体依赖的记忆。我们的研究表明,这种影响可能涉及 HED 诱导的肝脏脂质增加。在这项实验中,大鼠可以选择饮食,以测试是否自愿摄入 HED 会损害空间记忆,初始体重增加的差异是否预测记忆缺陷,以及肝脏脂质的增加是否与记忆缺陷相关。

设计和方法

成年雄性 Sprague-Dawley 大鼠被给予对照饮食或自助式 HED 8 周。在饮食的前 5 天内的体重增加用于将大鼠分为 HED-瘦组和 HED-肥胖组。8 周后进行空间水迷宫记忆测试,并定量死后肝脏脂质浓度。

结果

与 HED-瘦和对照大鼠相比,HED-肥胖大鼠的空间记忆受损,并且符合非酒精性脂肪性肝病的人类诊断标准(相对于肝重,肝脏脂质>5%)。此外,肝脏脂质与记忆缺陷相关。

结论

这些发现表明,自愿摄入 HED 会损害记忆,初始体重增加预测脂肪肝和记忆缺陷,并且脂肪肝可能导致肥胖引起的记忆损伤。

https://cdn.ncbi.nlm.nih.gov/pmc/blobs/a294/3695417/9de242192927/nihms421719f1.jpg

文献AI研究员

20分钟写一篇综述,助力文献阅读效率提升50倍。

立即体验

用中文搜PubMed

大模型驱动的PubMed中文搜索引擎

马上搜索

文档翻译

学术文献翻译模型,支持多种主流文档格式。

立即体验