Wang Dong, He Yuna, Li Yanping, Luan Dechun, Zhai Fengying, Yang Xiaoguang, Ma Guansheng
National Institute for Nutrition and Food Safety, Chinese Center for Disease Control and Prevention, Beijing, China ; Department of Nutrition, Harvard School of Public Health, Boston, Massachusetts, United States of America.
PLoS One. 2013 Jun 19;8(6):e66210. doi: 10.1371/journal.pone.0066210. Print 2013.
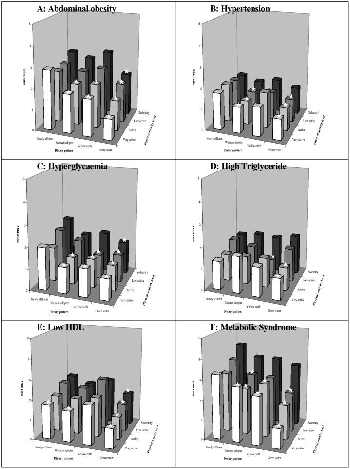
The purpose of this cross-sectional study was to investigate the joint associations of physical activity level (PAL) and dietary patterns in relation to cardiovascular disease (CVD) risk factors among Chinese men. The study population consisted of 13 511 Chinese males aged 18-59 years from the 2002 China National Nutrition and Health Survey. Based on dietary data collected by a food frequency questionnaire, four dietary patterns were identified and labeled as "Green Water" (high consumption of rice, vegetables, seafood, pork, and poultry), "Yellow Earth" (high consumption of wheat flour products and starchy tubers), "New Affluent" (high consumption of animal sourced foods and soybean products), and "Western Adopter" (high consumption of animal sourced foods, cakes, and soft drinks). From the information collected by a 1-year physical activity questionnaire, PAL was calculated and classified into 4 categories: sedentary, low active, active, and very active. As compared with their counterparts from the New Affluent pattern, participants who followed the Green Water pattern had a lower likelihood of abdominal obesity (AO; 50.2%), hypertension (HT; 37.9%), hyperglycemia (HG; 41.5%), elevated triglyceride (ETG; 14.5%), low HDL (LHDL; 39.8%), and metabolic syndrome (MS; 51.9%). When compared to sedentary participants, the odds ratio of participants with very active PAL was 0.62 for AO, 0.85 for HT, 0.71 for HG, 0.76 for ETG, 0.74 for LHDL, and 0.58 for MS. Individuals who followed both very active PAL and the Green Water pattern had a lower likelihood of CVD risk factors (AO: 65.8%, HT: 39.1%, HG: 57.4%, ETG: 35.4%, LHDL: 56.1%, and MS: 75.0%), compared to their counterparts who followed both sedentary PAL and the New Affluent pattern. In addition, adherence to both healthy dietary pattern and very active PAL presented a remarkable potential for CVD risk factor prevention.
这项横断面研究的目的是调查身体活动水平(PAL)和饮食模式与中国男性心血管疾病(CVD)危险因素之间的联合关联。研究人群包括来自2002年中国国家营养与健康调查的13511名年龄在18 - 59岁的中国男性。根据通过食物频率问卷收集的饮食数据,确定了四种饮食模式,并分别标记为“绿水”(大米、蔬菜、海鲜、猪肉和家禽摄入量高)、“黄土”(小麦粉制品和淀粉类块茎摄入量高)、“新富”(动物源性食物和豆制品摄入量高)和“西式 adopters”(动物源性食物、蛋糕和软饮料摄入量高)。根据通过为期1年的身体活动问卷收集的信息,计算了PAL并将其分为4类:久坐不动、低活动量、活动量适中、活动量非常高。与“新富”模式的参与者相比,遵循“绿水”模式的参与者腹部肥胖(AO;50.2%)、高血压(HT;37.9%)、高血糖(HG;41.5%)、甘油三酯升高(ETG;14.5%)、高密度脂蛋白低(LHDL;39.8%)和代谢综合征(MS;51.9%)的可能性较低。与久坐不动的参与者相比,PAL活动量非常高的参与者患AO的优势比为0.62,患HT的优势比为0.85,患HG的优势比为0.71,患ETG的优势比为0.76,患LHDL的优势比为0.74,患MS的优势比为0.58。与遵循久坐不动的PAL和“新富”模式的参与者相比,同时遵循活动量非常高的PAL和“绿水”模式的个体患CVD危险因素的可能性较低(AO:65.8%,HT:39.1%,HG:57.4%,ETG:35.4%,LHDL:56.1%,MS:75.0%)。此外,坚持健康的饮食模式和活动量非常高的PAL对预防CVD危险因素具有显著潜力。