Suppr超能文献

在籽粒灌浆过程中,硬质小麦对镉的吸收和分配。

Cadmium uptake and partitioning in durum wheat during grain filling.

机构信息

Department of Biological Sciences, University of Alberta, Edmonton AB T6G 2E9, Canada.

出版信息

BMC Plant Biol. 2013 Jul 16;13:103. doi: 10.1186/1471-2229-13-103.

Abstract

BACKGROUND

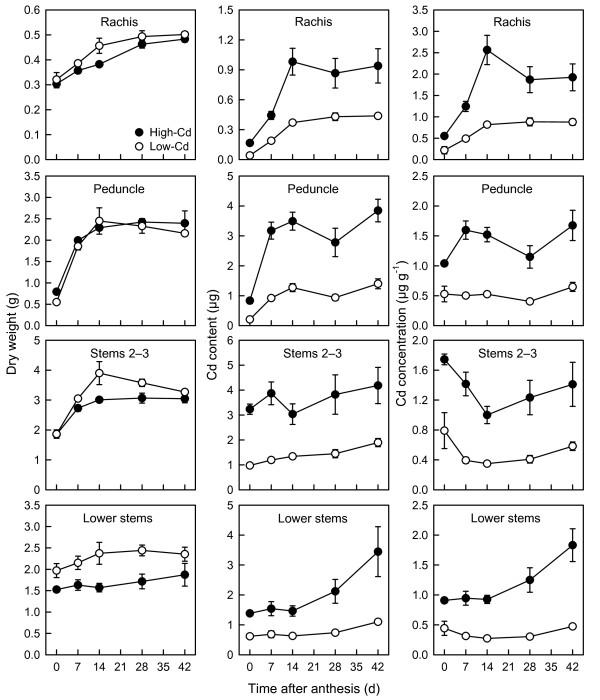
Concentrations of cadmium (Cd) in the grain of many durum wheats (Triticum turgidum subsp. durum) grown in North American prairie soils often exceed international trade standards. Genotypic differences in root-to-shoot translocation of Cd are a major determinant of intraspecific variation in the accumulation of Cd in grain. We tested the extent to which changes in whole-plant Cd accumulation and the distribution of Cd between tissues influences Cd accumulation in grain by measuring Cd accumulation throughout the grain filling period in two near-isogenic lines (NILs) of durum wheat that differ in grain Cd accumulation.

RESULTS

Roots absorbed Cd and transported it to the shoots throughout the grain filling period, but the low- and high-Cd NILs did not differ in whole-plant Cd uptake. Although the majority of Cd accumulation was retained in the roots, the low- and high-Cd NILs differed substantively in root-to-shoot translocation of Cd. At grain maturity, accumulation of Cd in the shoots was 13% (low-Cd NIL) or 37% (high-Cd NIL) of whole-plant Cd accumulation. Accumulation of Cd in all shoot tissue, including grain, was at least 2-fold greater in the high-Cd NIL at all harvests. There was no net remobilization of shoot Cd pools during grain filling. The timing of Cd accumulation in grain was positively correlated with grain biomass accumulation, and the rate of grain filling peaked between 14 and 28 days post-anthesis, when both NILs accumulated 60% of total grain biomass and 61-66% of total grain Cd content.

CONCLUSIONS

These results show that genotypic variation in root-to-shoot translocation of Cd controls accumulation of Cd in durum wheat grain. Continued uptake of Cd by roots and the absence of net remobilization of Cd from leaves during grain filling support a direct pathway of Cd transport from roots to grain via xylem-to-phloem transfer in the stem.

摘要

背景

在北美草原土壤中种植的许多硬质小麦(Triticum turgidum subsp. durum)的籽粒中,镉(Cd)的浓度常常超过国际贸易标准。根到茎部对 Cd 的转运的基因型差异是籽粒中 Cd 积累的种内变异的主要决定因素。我们通过测量两个近等基因系(NILs)硬质小麦籽粒充实期 Cd 积累的全过程,测试了植株整体 Cd 积累和 Cd 在组织间分配的变化对籽粒中 Cd 积累的影响。

结果

根系吸收 Cd 并在整个籽粒充实期将其转运至地上部分,但低 Cd 和高 Cd NILs 在植株整体 Cd 吸收方面没有差异。尽管大部分 Cd 积累仍保留在根部,但低 Cd 和高 Cd NILs 在 Cd 从根部向地上部分的转运方面存在显著差异。在籽粒成熟时,地上部 Cd 的积累量分别占植株整体 Cd 积累量的 13%(低 Cd NIL)或 37%(高 Cd NIL)。在所有收获期,高 Cd NIL 中包括籽粒在内的所有地上部组织中 Cd 的积累至少是低 Cd NIL 的 2 倍。在籽粒充实期间,地上部 Cd 库没有发生净再动员。籽粒中 Cd 的积累时间与籽粒生物量的积累时间呈正相关,在授粉后 14-28 天期间,籽粒填充速率达到峰值,此时两个 NILs分别积累了总籽粒生物量的 60%和总籽粒 Cd 含量的 61-66%。

结论

这些结果表明,根到茎部对 Cd 的转运的基因型差异控制了硬质小麦籽粒中 Cd 的积累。根系持续吸收 Cd 以及在籽粒充实期间叶片中 Cd 没有发生净再动员,支持了 Cd 通过木质部到韧皮部的直接途径从根部运输到籽粒的假说。

https://cdn.ncbi.nlm.nih.gov/pmc/blobs/9e01/3726410/32d6337d3d8f/1471-2229-13-103-1.jpg

文献AI研究员

20分钟写一篇综述,助力文献阅读效率提升50倍。

立即体验

用中文搜PubMed

大模型驱动的PubMed中文搜索引擎

马上搜索

文档翻译

学术文献翻译模型,支持多种主流文档格式。

立即体验