• 文献检索
  • 文档翻译
  • 深度研究
  • 学术资讯
  • Suppr Zotero 插件Zotero 插件
  • 邀请有礼
  • 套餐&价格
  • 历史记录
应用&插件
Suppr Zotero 插件Zotero 插件浏览器插件Mac 客户端Windows 客户端微信小程序
定价
高级版会员购买积分包购买API积分包
服务
文献检索文档翻译深度研究API 文档MCP 服务
关于我们
关于 Suppr公司介绍联系我们用户协议隐私条款
关注我们

Suppr 超能文献

核心技术专利:CN118964589B侵权必究
粤ICP备2023148730 号-1Suppr @ 2026

文献检索

告别复杂PubMed语法,用中文像聊天一样搜索,搜遍4000万医学文献。AI智能推荐,让科研检索更轻松。

立即免费搜索

文件翻译

保留排版,准确专业,支持PDF/Word/PPT等文件格式,支持 12+语言互译。

免费翻译文档

深度研究

AI帮你快速写综述,25分钟生成高质量综述,智能提取关键信息,辅助科研写作。

立即免费体验

硬粒小麦植株籽粒发育期间磷素吸收与再转运的动态变化

The Dynamics of Phosphorus Uptake and Remobilization during the Grain Development Period in Durum Wheat Plants.

作者信息

El Mazlouzi Mohamed, Morel Christian, Robert Thierry, Chesseron Coralie, Salon Christophe, Cornu Jean-Yves, Mollier Alain

机构信息

INRAE, ISPA, Bordeaux Sciences Agro, 33140 Villenave d'Ornon, France.

Univ. Bordeaux, UMR 1391 ISPA, 33000 Bordeaux, France.

出版信息

Plants (Basel). 2022 Apr 7;11(8):1006. doi: 10.3390/plants11081006.

DOI:10.3390/plants11081006
PMID:35448734
原文链接:https://pmc.ncbi.nlm.nih.gov/articles/PMC9029974/
Abstract

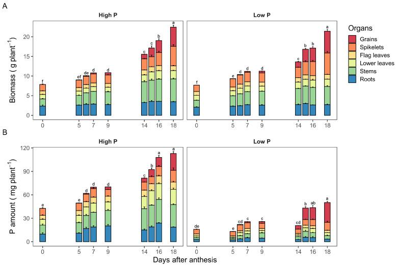
Post-anthesis phosphorus (P) uptake and the remobilization of the previously acquired P are the principal sources of grain P nutrition in wheat. However, how the acquired P reaches the grains and its partitioning at the whole plant level remain poorly understood. Here, the temporal dynamics of the newly acquired P in durum wheat organs and its allocation to grain were examined using pulse-chase 32P-labeling experiments at 5 and 14 days after anthesis. Durum wheat plants were grown hydroponically under high and low P supplies. Each labeling experiment lasted for 24 h. Plants were harvested 24, 48, and 96 h after labeling. Low and high P treatments significantly affected the allocation of the newly acquired P at the whole plant level. Three days (96 h) after the first 32P-labeling, 8% and 4% of the newly acquired P from exogenous solution were allocated to grains, 73% and 55% to the remainder aboveground organs, and 19% and 41% to the roots at low and high P supplies, respectively. Three days after the second labeling, the corresponding values were 48% and 20% in grains, 44% and 53% in the remainder aboveground organs, and 8% and 27% in roots at low and high P supplies, respectively. These results reveal that the dynamics of P allocation to grain was faster in plants grown under low P supply than under high supply. However, the obtained results also indicate that the origin of P accumulated in durum wheat grains was mainly from P remobilization with little contribution from post-anthesis P uptake. The present study emphasizes the role of vegetative organs as temporary storage of P taken up during the grain filling period before its final allocation to grains.

摘要

花后磷(P)的吸收以及先前吸收的磷的再转运是小麦籽粒磷营养的主要来源。然而,所吸收的磷如何到达籽粒以及其在整株水平上的分配仍知之甚少。在此,通过在开花后5天和14天进行脉冲追踪32P标记实验,研究了硬粒小麦器官中新吸收磷的时间动态及其向籽粒的分配。硬粒小麦植株在高磷和低磷供应条件下进行水培生长。每个标记实验持续24小时。在标记后24、48和96小时收获植株。低磷和高磷处理显著影响了新吸收磷在整株水平上的分配。在第一次32P标记后的三天(96小时),在低磷和高磷供应条件下,分别有8%和4%的来自外源溶液的新吸收磷分配到籽粒中,73%和55%分配到地上其余器官,19%和41%分配到根系。在第二次标记后的三天,低磷和高磷供应条件下,籽粒中的相应值分别为48%和20%,地上其余器官中的值分别为44%和53%,根系中的值分别为8%和27%。这些结果表明,低磷供应条件下生长的植株中磷向籽粒分配的动态比高磷供应条件下更快。然而,所得结果也表明,硬粒小麦籽粒中积累的磷的来源主要是磷的再转运,花后磷吸收的贡献很小。本研究强调了营养器官在籽粒灌浆期吸收的磷最终分配到籽粒之前作为临时储存库的作用。

https://cdn.ncbi.nlm.nih.gov/pmc/blobs/d431/9029974/4c488d393c3d/plants-11-01006-g005.jpg
https://cdn.ncbi.nlm.nih.gov/pmc/blobs/d431/9029974/faaca74b67aa/plants-11-01006-g001.jpg
https://cdn.ncbi.nlm.nih.gov/pmc/blobs/d431/9029974/49f7f20a1e9f/plants-11-01006-g002.jpg
https://cdn.ncbi.nlm.nih.gov/pmc/blobs/d431/9029974/138a0f627ff0/plants-11-01006-g003.jpg
https://cdn.ncbi.nlm.nih.gov/pmc/blobs/d431/9029974/78d558c91e65/plants-11-01006-g004.jpg
https://cdn.ncbi.nlm.nih.gov/pmc/blobs/d431/9029974/4c488d393c3d/plants-11-01006-g005.jpg
https://cdn.ncbi.nlm.nih.gov/pmc/blobs/d431/9029974/faaca74b67aa/plants-11-01006-g001.jpg
https://cdn.ncbi.nlm.nih.gov/pmc/blobs/d431/9029974/49f7f20a1e9f/plants-11-01006-g002.jpg
https://cdn.ncbi.nlm.nih.gov/pmc/blobs/d431/9029974/138a0f627ff0/plants-11-01006-g003.jpg
https://cdn.ncbi.nlm.nih.gov/pmc/blobs/d431/9029974/78d558c91e65/plants-11-01006-g004.jpg
https://cdn.ncbi.nlm.nih.gov/pmc/blobs/d431/9029974/4c488d393c3d/plants-11-01006-g005.jpg

相似文献

1
The Dynamics of Phosphorus Uptake and Remobilization during the Grain Development Period in Durum Wheat Plants.硬粒小麦植株籽粒发育期间磷素吸收与再转运的动态变化
Plants (Basel). 2022 Apr 7;11(8):1006. doi: 10.3390/plants11081006.
2
Contribution of External and Internal Phosphorus Sources to Grain P Loading in Durum Wheat ( L.) Grown Under Contrasting P Levels.在不同磷水平下种植的硬粒小麦(Triticum durum L.)中,外部和内部磷源对籽粒磷积累的贡献
Front Plant Sci. 2020 Jun 18;11:870. doi: 10.3389/fpls.2020.00870. eCollection 2020.
3
Cadmium allocation to grains in durum wheat exposed to low Cd concentrations in hydroponics.水培条件下低浓度镉处理对硬质小麦中镉向籽粒分配的影响。
Ecotoxicol Environ Saf. 2019 Nov 30;184:109592. doi: 10.1016/j.ecoenv.2019.109592. Epub 2019 Sep 20.
4
Nitrogen uptake and remobilization from pre- and post-anthesis stages contribute towards grain yield and grain protein concentration in wheat grown in limited nitrogen conditions.在氮素供应有限的条件下种植的小麦中,花前和花后阶段的氮素吸收与再转运对籽粒产量和籽粒蛋白质含量有贡献。
CABI Agric Biosci. 2023;4(1):12. doi: 10.1186/s43170-023-00153-7. Epub 2023 May 4.
5
Cadmium uptake and partitioning in durum wheat during grain filling.在籽粒灌浆过程中,硬质小麦对镉的吸收和分配。
BMC Plant Biol. 2013 Jul 16;13:103. doi: 10.1186/1471-2229-13-103.
6
Improved potassium nutrition retrieves phosphorus-induced decrease in zinc uptake and grain zinc concentration of wheat.提高钾营养可以挽救磷诱导的小麦锌吸收和籽粒锌浓度降低。
J Sci Food Agric. 2018 Aug;98(11):4351-4356. doi: 10.1002/jsfa.8961. Epub 2018 Mar 25.
7
Phosphorus uptake, partitioning and redistribution during grain filling in rice.水稻灌浆期磷的吸收、分配与再分配
Ann Bot. 2016 Nov;118(6):1151-1162. doi: 10.1093/aob/mcw164. Epub 2016 Sep 1.
8
Relative Contribution of Nitrogen Absorption, Remobilization, and Partitioning to the Ear During Grain Filling in Chinese Winter Wheat.中国冬小麦灌浆期氮素吸收、再转运及向穗部分配的相对贡献
Front Plant Sci. 2018 Sep 19;9:1351. doi: 10.3389/fpls.2018.01351. eCollection 2018.
9
Characterizing the remobilization flux of cadmium from pre-anthesis vegetative pools in rice during grain filling using an improved stable isotope labeling method.采用改良的稳定同位素标记法研究水稻灌浆期花前期营养体库中镉的再动员通量。
Environ Pollut. 2023 Aug 15;331(Pt 2):121891. doi: 10.1016/j.envpol.2023.121891. Epub 2023 May 24.
10
Distribution and remobilization of iron and copper in wheat.铁和铜在小麦中的分布与再转运
Ann Bot. 2005 Apr;95(5):817-26. doi: 10.1093/aob/mci085. Epub 2005 Feb 8.

引用本文的文献

1
Nano DAP augments productivity, phosphorus use efficiency, and profitability of spring wheat.纳米二铵提高了春小麦的产量、磷利用效率和盈利能力。
Sci Rep. 2025 Jul 9;15(1):24771. doi: 10.1038/s41598-025-92364-3.
2
Phosphorus Availability and Balance with Long-Term Sewage Sludge and Nitrogen Fertilization in Chernozem Soil under Maize Monoculture.玉米单作下黑钙土中磷的有效性以及长期施用污泥和氮肥后的磷平衡
Plants (Basel). 2024 Jul 24;13(15):2037. doi: 10.3390/plants13152037.
3
Organic Remobilization of zinc and phosphorus availability to plants by application of mineral solubilizing bacteria .

本文引用的文献

1
Contribution of External and Internal Phosphorus Sources to Grain P Loading in Durum Wheat ( L.) Grown Under Contrasting P Levels.在不同磷水平下种植的硬粒小麦(Triticum durum L.)中,外部和内部磷源对籽粒磷积累的贡献
Front Plant Sci. 2020 Jun 18;11:870. doi: 10.3389/fpls.2020.00870. eCollection 2020.
2
Tightening the Phosphorus Cycle through Phosphorus-Efficient Crop Genotypes.通过高效磷利用作物基因型来收紧磷循环。
Trends Plant Sci. 2020 Oct;25(10):967-975. doi: 10.1016/j.tplants.2020.04.013. Epub 2020 May 12.
3
Phosphorus (P) use efficiency in rice is linked to tissue-specific biomass and P allocation patterns.
通过施用解磷细菌实现锌和磷对植物有效性的有机再活化
Heliyon. 2023 Nov 11;9(11):e22128. doi: 10.1016/j.heliyon.2023.e22128. eCollection 2023 Nov.
4
Soil Fertility Clock-Crop Rotation as a Paradigm in Nitrogen Fertilizer Productivity Control.土壤肥力时钟——作物轮作作为氮肥生产力控制的范例
Plants (Basel). 2022 Oct 25;11(21):2841. doi: 10.3390/plants11212841.
水稻对磷的利用效率与组织特异性生物量和磷分配模式有关。
Sci Rep. 2020 Mar 9;10(1):4278. doi: 10.1038/s41598-020-61147-3.
4
Crops: Observations Based On Four Decades of Research.作物:基于四十年研究的观察
Plants (Basel). 2020 Jan 22;9(2):140. doi: 10.3390/plants9020140.
5
Changes in the Elemental and Metabolite Profile of Wheat Phloem Sap during Grain Filling Indicate a Dynamic between Plant Maturity and Time of Day.籽粒灌浆期间小麦韧皮部汁液中元素和代谢物谱的变化表明了植株成熟度与一天中的时间之间的动态关系。
Metabolites. 2018 Sep 19;8(3):53. doi: 10.3390/metabo8030053.
6
Phosphorus uptake commences at the earliest stages of seedling development in rice.磷的吸收在水稻幼苗发育的最早阶段就开始了。
J Exp Bot. 2018 Oct 12;69(21):5233-5240. doi: 10.1093/jxb/ery267.
7
Molecular mechanisms underpinning phosphorus-use efficiency in rice.水稻磷利用效率的分子机制。
Plant Cell Environ. 2018 Jul;41(7):1483-1496. doi: 10.1111/pce.13191. Epub 2018 Apr 20.
8
Remobilisation of phosphorus fractions in rice flag leaves during grain filling: Implications for photosynthesis and grain yields.水稻灌浆期剑叶中磷组分的再活化:对光合作用和籽粒产量的影响
PLoS One. 2017 Nov 2;12(11):e0187521. doi: 10.1371/journal.pone.0187521. eCollection 2017.
9
Fluxomics links cellular functional analyses to whole-plant phenotyping.通量组学将细胞功能分析与整株植物表型分析联系起来。
J Exp Bot. 2017 Apr 1;68(9):2083-2098. doi: 10.1093/jxb/erx126.
10
Role of vacuoles in phosphorus storage and remobilization.液泡在磷储存和再利用中的作用。
J Exp Bot. 2017 Jun 1;68(12):3045-3055. doi: 10.1093/jxb/erw481.