Suppr超能文献

量化 VRN1 和 Ppd-D1 的效应以预测不同环境下春小麦(Triticum aestivum)的抽穗时间。

Quantification of the effects of VRN1 and Ppd-D1 to predict spring wheat (Triticum aestivum) heading time across diverse environments.

机构信息

CSIRO Plant Industry and Climate Adaptation Flagship, Queensland Bioscience Precinct, 306 Carmody Road, St Lucia, 4067, QLD, Australia.

出版信息

J Exp Bot. 2013 Sep;64(12):3747-61. doi: 10.1093/jxb/ert209. Epub 2013 Jul 19.

Abstract

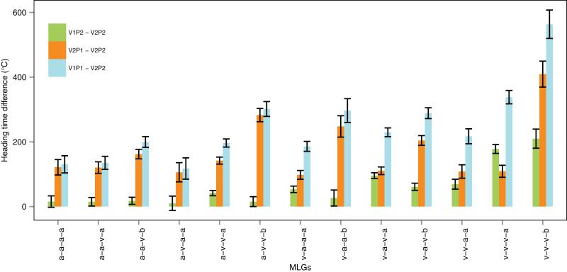
Heading time is a major determinant of the adaptation of wheat to different environments, and is critical in minimizing risks of frost, heat, and drought on reproductive development. Given that major developmental genes are known in wheat, a process-based model, APSIM, was modified to incorporate gene effects into estimation of heading time, while minimizing degradation in the predictive capability of the model. Model parameters describing environment responses were replaced with functions of the number of winter and photoperiod (PPD)-sensitive alleles at the three VRN1 loci and the Ppd-D1 locus, respectively. Two years of vernalization and PPD trials of 210 lines (spring wheats) at a single location were used to estimate the effects of the VRN1 and Ppd-D1 alleles, with validation against 190 trials (~4400 observations) across the Australian wheatbelt. Compared with spring genotypes, winter genotypes for Vrn-A1 (i.e. with two winter alleles) had a delay of 76.8 degree days (°Cd) in time to heading, which was double the effect of the Vrn-B1 or Vrn-D1 winter genotypes. Of the three VRN1 loci, winter alleles at Vrn-B1 had the strongest interaction with PPD, delaying heading time by 99.0 °Cd under long days. The gene-based model had root mean square error of 3.2 and 4.3 d for calibration and validation datasets, respectively. Virtual genotypes were created to examine heading time in comparison with frost and heat events and showed that new longer-season varieties could be heading later (with potential increased yield) when sown early in season. This gene-based model allows breeders to consider how to target gene combinations to current and future production environments using parameters determined from a small set of phenotyping treatments.

摘要

生育期是小麦适应不同环境的主要决定因素,对于最小化生殖发育阶段遭遇霜害、高温和干旱风险至关重要。鉴于小麦中已知存在主要发育基因,我们对基于过程的 APSIM 模型进行了修改,将基因效应纳入生育期估算,同时最大限度减少模型预测能力的下降。描述环境响应的模型参数分别被替换为三个 VRN1 基因座和 Ppd-D1 基因座的冬性和光周期(PPD)敏感等位基因数量的函数。使用一个地点的 210 个品系(春小麦)的 2 年春化和 PPD 试验来估算 VRN1 和 Ppd-D1 等位基因的效应,并利用澳大利亚小麦带的 190 个试验(~4400 个观测值)进行验证。与春基因型相比,Vrn-A1 的冬性基因型(即具有两个冬性等位基因)的生育期延迟了 76.8 个有效积温(°Cd),是 Vrn-B1 或 Vrn-D1 冬性基因型的两倍。在三个 VRN1 基因座中,Vrn-B1 的冬性等位基因与 PPD 的相互作用最强,在长日照下将生育期延迟了 99.0 °Cd。基于基因的模型对校准和验证数据集的均方根误差分别为 3.2 和 4.3 d。创建虚拟基因型以比较生育期与霜害和热害事件,并表明新的更长生育期品种可以在早期播种时延迟生育期(潜在增加产量)。该基于基因的模型使育种家能够考虑如何利用从少数表型处理中确定的参数,将基因组合针对当前和未来的生产环境进行靶向。

https://cdn.ncbi.nlm.nih.gov/pmc/blobs/7a2b/3745732/86f8710391ce/exbotj_ert209_f0001.jpg

文献检索

告别复杂PubMed语法,用中文像聊天一样搜索,搜遍4000万医学文献。AI智能推荐,让科研检索更轻松。

立即免费搜索

文件翻译

保留排版,准确专业,支持PDF/Word/PPT等文件格式,支持 12+语言互译。

免费翻译文档

深度研究

AI帮你快速写综述,25分钟生成高质量综述,智能提取关键信息,辅助科研写作。

立即免费体验