Suppr超能文献

分泌型磷脂酶A2在急性呼吸窘迫综合征婴儿中的临床及生物学作用

Clinical and biological role of secretory phospholipase A2 in acute respiratory distress syndrome infants.

作者信息

De Luca Daniele, Lopez-Rodriguez Elena, Minucci Angelo, Vendittelli Francesca, Gentile Leonarda, Stival Eleonora, Conti Giorgio, Piastra Marco, Antonelli Massimo, Echaide Mercedes, Perez-Gil Jesus, Capoluongo Ettore D

出版信息

Crit Care. 2013 Jul 24;17(4):R163. doi: 10.1186/cc12842.

Abstract

INTRODUCTION

Secretory phospholipase A2 is supposed to play a role in acute lung injury but no data are available for pediatric acute respiratory distress syndrome (ARDS). It is not clear which enzyme subtypes are secreted and what the relationships are between enzyme activity, biophysical and biochemical parameters, and clinical outcomes. We aimed to measure the enzyme and identify its subtypes and to study its biochemical and biophysical effect. The secondary aim was to correlate enzyme activity with clinical outcome.

METHODS

Bronchoalveolar lavage was performed in 24 infants with ARDS and 14 controls with no lung disease. Samples were assayed for secretory phospholipase A2 and molecules related to its activity and expression. Western blotting and captive bubble surfactometry were also performed. Clinical data were real time downloaded.

RESULTS

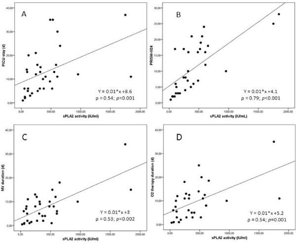
Tumor necrosis factor-α (814 (506-2,499) vs. 287 (111-1,315) pg/mL; P = 0.04), enzyme activity (430 (253-600) vs. 149 (61-387) IU/mL; P = 0.01), free fatty acids (4.3 (2.8-8.6) vs. 2 (0.8-4.6) mM; P = 0.026), and minimum surface tension (25.6 ± 6.1 vs. 18 ± 1.8 mN/m; P = 0.006) were higher in ARDS than in controls. Phospholipids are lower in ARDS than in controls (76.5 (54-100) vs. 1,094 (536-2,907) μg/mL; P = 0.0001). Three enzyme subtypes were identified (-IIA, -V, -X), although in lower quantities in controls; another subtype (-IB) was mainly detected in ARDS. Significant correlations exist between enzyme activity, free fatty acids (ρ = 0.823; P < 0.001), and surface tension (ρ = 0.55; P < 0.028). Correlations also exist with intensive care stay (ρ = 0.54; P = 0.001), PRISM-III24 (ρ = 0.79; P< 0.001), duration of ventilation (ρ = 0.53; P = 0.002), and oxygen therapy (ρ = 0.54; P = 0.001).

CONCLUSIONS

Secretory phospholipase A2 activity is raised in pediatric ARDS and constituted of four subtypes. Enzyme correlates with some inflammatory mediators, surface tension, and major clinical outcomes. Secretory phospholipase A2 may be a clinically relevant target in pediatric ARDS.

摘要

引言

分泌型磷脂酶A2被认为在急性肺损伤中起作用,但关于小儿急性呼吸窘迫综合征(ARDS)的数据尚不可得。目前尚不清楚哪些酶亚型会被分泌,以及酶活性、生物物理和生化参数与临床结局之间的关系。我们旨在测量该酶并鉴定其亚型,并研究其生化和生物物理效应。次要目的是将酶活性与临床结局相关联。

方法

对24例ARDS婴儿和14例无肺部疾病的对照婴儿进行支气管肺泡灌洗。对样本进行分泌型磷脂酶A2及其活性和表达相关分子的检测。还进行了蛋白质免疫印迹法和俘获气泡表面张力测定法。实时下载临床数据。

结果

肿瘤坏死因子-α(814(506 - 2499)对287(111 - 1315)pg/mL;P = 0.04)、酶活性(430(253 - 600)对149(61 - 387)IU/mL;P = 0.01)、游离脂肪酸(4.3(2.8 - 8.6)对2(0.8 - 4.6)mM;P = 0.026)和最小表面张力(25.6±6.1对18±1.8 mN/m;P = 0.006)在ARDS组中高于对照组。ARDS组中的磷脂低于对照组(76.5(54 - 100)对1094(536 - 2907)μg/mL;P = 0.0001)。鉴定出三种酶亚型(-IIA、-V、-X),尽管对照组中的含量较低;另一种亚型(-IB)主要在ARDS组中检测到。酶活性与游离脂肪酸(ρ = 0.823;P < 0.001)和表面张力(ρ = 0.55;P < 0.028)之间存在显著相关性。与重症监护病房住院时间(ρ = 0.54;P = 0.001)、PRISM-III24评分(ρ = 0.79;P < 0.001)、通气时间(ρ = 0.53;P = 0.002)和氧疗(ρ = 0.54;P = 0.001)也存在相关性。

结论

小儿ARDS中分泌型磷脂酶A2活性升高,由四种亚型组成。该酶与一些炎症介质、表面张力和主要临床结局相关。分泌型磷脂酶A2可能是小儿ARDS中一个与临床相关的靶点。

https://cdn.ncbi.nlm.nih.gov/pmc/blobs/6ecb/4057254/2176e0f33f6c/cc12842-1.jpg

文献AI研究员

20分钟写一篇综述,助力文献阅读效率提升50倍。

立即体验

用中文搜PubMed

大模型驱动的PubMed中文搜索引擎

马上搜索

文档翻译

学术文献翻译模型,支持多种主流文档格式。

立即体验