• 文献检索
  • 文档翻译
  • 深度研究
  • 学术资讯
  • Suppr Zotero 插件Zotero 插件
  • 邀请有礼
  • 套餐&价格
  • 历史记录
应用&插件
Suppr Zotero 插件Zotero 插件浏览器插件Mac 客户端Windows 客户端微信小程序
定价
高级版会员购买积分包购买API积分包
服务
文献检索文档翻译深度研究API 文档MCP 服务
关于我们
关于 Suppr公司介绍联系我们用户协议隐私条款
关注我们

Suppr 超能文献

核心技术专利:CN118964589B侵权必究
粤ICP备2023148730 号-1Suppr @ 2026

文献检索

告别复杂PubMed语法,用中文像聊天一样搜索,搜遍4000万医学文献。AI智能推荐,让科研检索更轻松。

立即免费搜索

文件翻译

保留排版,准确专业,支持PDF/Word/PPT等文件格式,支持 12+语言互译。

免费翻译文档

深度研究

AI帮你快速写综述,25分钟生成高质量综述,智能提取关键信息,辅助科研写作。

立即免费体验

晚期结直肠癌(CRC)患者接受贝伐珠单抗治疗时,PTEN 拷贝数改变的预后影响及其相关性。

Prognostic impact and the relevance of PTEN copy number alterations in patients with advanced colorectal cancer (CRC) receiving bevacizumab.

机构信息

Haematology-Oncology Department, The Queen Elizabeth Hospital Woodville, SA, 5011, Australia.

出版信息

Cancer Med. 2013 Jun;2(3):277-85. doi: 10.1002/cam4.75. Epub 2013 Mar 25.

DOI:10.1002/cam4.75
PMID:23930204
原文链接:https://pmc.ncbi.nlm.nih.gov/articles/PMC3699839/
Abstract

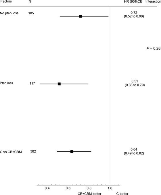
Loss of phosphatase and tensin homologue (PTEN) expression may be prognostic in colorectal cancer (CRC) and may have a correlation with vascular endothelial growth factor (VEGF) expression via hypoxia-inducible factor 1 (HIF-1) alpha, and the PI3K/mTOR pathways. We therefore have explored the prognostic association of PTEN loss and the potential that PTEN loss may be predictive of outcome with bevacizumab. Patients enrolled in the AGITG MAX trial, a randomized Phase III trial of capecitabine (C) +/- bevacizumab (B) (+/- mitomycin C [M]) with available tissues were analyzed for PTEN expression (loss vs. no loss) as assessed using a Taqman® copy number assay (CNA). Of the original 471 patients enrolled, tissues from 302 (64.1%) patients were analyzed. PTEN loss was observed in 38.7% of patients. There was no relationship between PTEN loss and KRAS or BRAF mutation. PTEN status was not prognostic for progression-free survival (PFS) or overall survival (OS) in multivariate analyses adjusting for other baseline factors; loss versus no loss PFS hazard ratio (HR) 0.9 (0.7-1.16), OS HR 1.04 (0.79-1.38). PTEN was not prognostic when assessed by KRAS and BRAF status. By using the comparison of C versus CB+CBM, PTEN status was not significantly predictive of the effectiveness of B for PFS or OS. PTEN status was not prognostic for survival in advanced colorectal cancer, irrespective of KRAS or BRAF status. PTEN status did not significantly predict different benefit with bevacizumb therapy.

摘要

PTEN 表达缺失可能与结直肠癌(CRC)的预后相关,并可能通过缺氧诱导因子 1(HIF-1)α和 PI3K/mTOR 途径与血管内皮生长因子(VEGF)表达相关。因此,我们探讨了 PTEN 缺失的预后相关性,以及 PTEN 缺失是否可能预示贝伐单抗治疗的结局。对 AGITG MAX 试验的患者进行了分析,该试验是卡培他滨(C)+/-贝伐单抗(B)(+/-丝裂霉素 C [M])的随机 III 期试验,有可用组织的患者进行了 PTEN 表达(缺失与不缺失)的分析,采用 Taqman®拷贝数分析(CNA)进行评估。在最初纳入的 471 例患者中,有 302 例(64.1%)患者的组织进行了分析。38.7%的患者观察到 PTEN 缺失。PTEN 缺失与 KRAS 或 BRAF 突变之间没有关系。在调整其他基线因素的多变量分析中,PTEN 状态与无进展生存期(PFS)或总生存期(OS)无关;缺失与无缺失的 PFS 风险比(HR)为 0.9(0.7-1.16),OS HR 为 1.04(0.79-1.38)。当按 KRAS 和 BRAF 状态评估时,PTEN 状态无预后意义。通过比较 C 与 CB+CBM,PTEN 状态对 B 治疗 PFS 或 OS 的有效性无显著预测意义。PTEN 状态与晚期结直肠癌的生存无关,无论 KRAS 或 BRAF 状态如何。PTEN 状态对贝伐单抗治疗的获益无显著预测意义。

https://cdn.ncbi.nlm.nih.gov/pmc/blobs/6d55/3699839/0b9e3f923504/cam40002-0277-f3.jpg
https://cdn.ncbi.nlm.nih.gov/pmc/blobs/6d55/3699839/069aed1b64a9/cam40002-0277-f1.jpg
https://cdn.ncbi.nlm.nih.gov/pmc/blobs/6d55/3699839/9ec25cf80fd6/cam40002-0277-f2.jpg
https://cdn.ncbi.nlm.nih.gov/pmc/blobs/6d55/3699839/0b9e3f923504/cam40002-0277-f3.jpg
https://cdn.ncbi.nlm.nih.gov/pmc/blobs/6d55/3699839/069aed1b64a9/cam40002-0277-f1.jpg
https://cdn.ncbi.nlm.nih.gov/pmc/blobs/6d55/3699839/9ec25cf80fd6/cam40002-0277-f2.jpg
https://cdn.ncbi.nlm.nih.gov/pmc/blobs/6d55/3699839/0b9e3f923504/cam40002-0277-f3.jpg

相似文献

1
Prognostic impact and the relevance of PTEN copy number alterations in patients with advanced colorectal cancer (CRC) receiving bevacizumab.晚期结直肠癌(CRC)患者接受贝伐珠单抗治疗时,PTEN 拷贝数改变的预后影响及其相关性。
Cancer Med. 2013 Jun;2(3):277-85. doi: 10.1002/cam4.75. Epub 2013 Mar 25.
2
Impact of KRAS and BRAF Gene Mutation Status on Outcomes From the Phase III AGITG MAX Trial of Capecitabine Alone or in Combination With Bevacizumab and Mitomycin in Advanced Colorectal Cancer.KRAS 和 BRAF 基因突变状态对 AGITG MAX 三期试验中卡培他滨单药或联合贝伐珠单抗和丝裂霉素治疗晚期结直肠癌结局的影响。
J Clin Oncol. 2011 Jul 1;29(19):2675-82. doi: 10.1200/JCO.2010.34.5520. Epub 2011 Jun 6.
3
Correlation of extended RAS and PIK3CA gene mutation status with outcomes from the phase III AGITG MAX STUDY involving capecitabine alone or in combination with bevacizumab plus or minus mitomycin C in advanced colorectal cancer.扩展RAS和PIK3CA基因突变状态与III期AGITG MAX研究结果的相关性,该研究涉及晚期结直肠癌单独使用卡培他滨或联合贝伐单抗加或减丝裂霉素C。
Br J Cancer. 2015 Mar 17;112(6):963-70. doi: 10.1038/bjc.2015.37.
4
Prognostic value of the combination of circulating tumor cells plus KRAS in patients with metastatic colorectal cancer treated with chemotherapy plus bevacizumab.循环肿瘤细胞联合 KRAS 对化疗联合贝伐珠单抗治疗转移性结直肠癌患者预后的预测价值。
Clin Colorectal Cancer. 2013 Dec;12(4):280-6. doi: 10.1016/j.clcc.2013.06.001. Epub 2013 Sep 5.
5
Analysis of PTEN, BRAF and PI3K status for determination of benefit from cetuximab therapy in metastatic colorectal cancer patients refractory to chemotherapy with wild-type KRAS.分析PTEN、BRAF和PI3K状态,以确定野生型KRAS的转移性结直肠癌患者从西妥昔单抗治疗中获益情况。
Tumour Biol. 2014 Feb;35(2):1041-9. doi: 10.1007/s13277-013-1138-8. Epub 2013 Sep 1.
6
Bevacizumab is equally effective and no more toxic in elderly patients with advanced colorectal cancer: a subgroup analysis from the AGITG MAX trial: an international randomised controlled trial of Capecitabine, Bevacizumab and Mitomycin C.贝伐珠单抗在老年晚期结直肠癌患者中同样有效且毒性更小:来自 AGITG MAX 试验的亚组分析:卡培他滨、贝伐珠单抗和丝裂霉素 C 的国际随机对照试验。
Ann Oncol. 2012 Jun;23(6):1531-6. doi: 10.1093/annonc/mdr488. Epub 2011 Oct 29.
7
Vascular endothelial growth factor D expression is a potential biomarker of bevacizumab benefit in colorectal cancer.血管内皮生长因子D的表达是贝伐单抗治疗结直肠癌疗效的潜在生物标志物。
Br J Cancer. 2015 Jun 30;113(1):37-45. doi: 10.1038/bjc.2015.209.
8
Role of Kras status in patients with metastatic colorectal cancer receiving first-line chemotherapy plus bevacizumab: a TTD group cooperative study.转移性结直肠癌患者一线化疗联合贝伐珠单抗治疗中 Kras 状态的作用:TTD 协作组研究。
PLoS One. 2012;7(10):e47345. doi: 10.1371/journal.pone.0047345. Epub 2012 Oct 12.
9
KRAS and BRAF mutations and PTEN expression do not predict efficacy of cetuximab-based chemoradiotherapy in locally advanced rectal cancer.KRAS 和 BRAF 突变以及 PTEN 表达不能预测基于西妥昔单抗的放化疗在局部晚期直肠癌中的疗效。
Int J Radiat Oncol Biol Phys. 2011 Nov 15;81(4):1032-8. doi: 10.1016/j.ijrobp.2010.06.043. Epub 2010 Oct 13.
10
Capecitabine, bevacizumab, and mitomycin in first-line treatment of metastatic colorectal cancer: results of the Australasian Gastrointestinal Trials Group Randomized Phase III MAX Study.卡培他滨、贝伐珠单抗和丝裂霉素在转移性结直肠癌一线治疗中的应用:澳大利亚胃肠试验组随机 III 期 MAX 研究的结果。
J Clin Oncol. 2010 Jul 1;28(19):3191-8. doi: 10.1200/JCO.2009.27.7723. Epub 2010 Jun 1.

引用本文的文献

1
Landscape of lncRNAs expressed in Mexican patients with triple‑negative breast cancer.墨西哥三阴性乳腺癌患者中lncRNAs的表达情况
Mol Med Rep. 2025 Jun;31(6). doi: 10.3892/mmr.2025.13528. Epub 2025 Apr 11.
2
A panorama of colon cancer in the era of liquid biopsy.液体活检时代的结肠癌全景
J Liq Biopsy. 2024 Mar 13;4:100148. doi: 10.1016/j.jlb.2024.100148. eCollection 2024 Jun.
3
Copy Number Alterations as Novel Biomarkers and Therapeutic Targets in Colorectal Cancer.拷贝数改变作为结直肠癌的新型生物标志物和治疗靶点

本文引用的文献

1
Loss of PTEN expression as a predictor of resistance to anti-EGFR monoclonal therapy in metastatic colorectal cancer: evidence from retrospective studies.PTEN 表达缺失可预测转移性结直肠癌患者对抗 EGFR 单克隆治疗的耐药性:来自回顾性研究的证据。
Cancer Chemother Pharmacol. 2012 Jun;69(6):1647-55. doi: 10.1007/s00280-012-1886-y. Epub 2012 May 18.
2
Copy number alterations of c-MYC and PTEN are prognostic factors for relapse after prostate cancer radiotherapy.c-MYC 和 PTEN 的拷贝数改变是前列腺癌放疗后复发的预后因素。
Cancer. 2012 Aug 15;118(16):4053-62. doi: 10.1002/cncr.26729. Epub 2012 Jan 26.
3
Analysis of the concordance in the EGFR pathway status between primary tumors and related metastases of colorectal cancer patients:implications for cancer therapy.
Cancers (Basel). 2022 Apr 29;14(9):2223. doi: 10.3390/cancers14092223.
4
Cell-Free DNA Detection of Tumor Mutations in Heterogeneous, Localized Prostate Cancer Via Targeted, Multiregion Sequencing.通过靶向多区域测序对异质性局限性前列腺癌进行肿瘤突变的无细胞 DNA 检测。
JCO Precis Oncol. 2021 Apr 27;5. doi: 10.1200/PO.20.00428. eCollection 2021.
5
PTEN in Colorectal Cancer: Shedding Light on Its Role as Predictor and Target.结直肠癌中的PTEN:揭示其作为预测指标和靶点的作用
Cancers (Basel). 2019 Nov 9;11(11):1765. doi: 10.3390/cancers11111765.
6
Molecular characterization and biomarker identification in colorectal cancer: Toward realization of the precision medicine dream.结直肠癌的分子特征与生物标志物鉴定:迈向精准医学梦想的实现
Cancer Manag Res. 2018 Nov 19;10:5895-5908. doi: 10.2147/CMAR.S162967. eCollection 2018.
7
Association of PTEN expression with biochemical recurrence in prostate cancer: results based on previous reports.前列腺癌中PTEN表达与生化复发的关联:基于既往报告的结果
Onco Targets Ther. 2017 Oct 24;10:5089-5097. doi: 10.2147/OTT.S132653. eCollection 2017.
8
Molecular Biomarkers for the Evaluation of Colorectal Cancer: Guideline From the American Society for Clinical Pathology, College of American Pathologists, Association for Molecular Pathology, and American Society of Clinical Oncology.用于评估结直肠癌的分子生物标志物:美国临床病理学会、美国病理学家学会、分子病理学协会和美国临床肿瘤学会的指南
J Mol Diagn. 2017 Mar;19(2):187-225. doi: 10.1016/j.jmoldx.2016.11.001. Epub 2017 Feb 6.
9
Molecular Biomarkers for the Evaluation of Colorectal Cancer.结直肠癌的分子生物标志物评估。
Am J Clin Pathol. 2017 Mar;147(3):221-260. doi: 10.1093/ajcp/aqw209. Epub 2017 Feb 3.
10
Somatic gene copy number alterations in colorectal cancer: new quest for cancer drivers and biomarkers.结直肠癌中的体细胞基因拷贝数改变:对癌症驱动因素和生物标志物的新探索。
Oncogene. 2016 Apr 21;35(16):2011-9. doi: 10.1038/onc.2015.304. Epub 2015 Aug 10.
分析结直肠癌患者原发肿瘤与相关转移灶中 EGFR 通路状态的一致性:对癌症治疗的启示。
Curr Cancer Drug Targets. 2012 Feb;12(2):124-31. doi: 10.2174/156800912799095162.
4
PI3K/AKT/mTOR Pathway in Angiogenesis.PI3K/AKT/mTOR 通路在血管生成中的作用。
Front Mol Neurosci. 2011 Dec 2;4:51. doi: 10.3389/fnmol.2011.00051. eCollection 2011.
5
Biologic therapies in the metastatic colorectal cancer treatment continuum--applying current evidence to clinical practice.生物疗法在转移性结直肠癌治疗连续体中的应用——将现有证据应用于临床实践。
Cancer Treat Rev. 2012 Aug;38(5):397-406. doi: 10.1016/j.ctrv.2011.08.002. Epub 2011 Sep 6.
6
Concordance of predictive markers for EGFR inhibitors in primary tumors and metastases in colorectal cancer: a review.探讨结直肠癌原发灶和转移灶中表皮生长因子受体抑制剂预测标志物的一致性:综述。
Oncologist. 2011;16(9):1239-49. doi: 10.1634/theoncologist.2011-0024. Epub 2011 Jul 8.
7
Impact of KRAS and BRAF Gene Mutation Status on Outcomes From the Phase III AGITG MAX Trial of Capecitabine Alone or in Combination With Bevacizumab and Mitomycin in Advanced Colorectal Cancer.KRAS 和 BRAF 基因突变状态对 AGITG MAX 三期试验中卡培他滨单药或联合贝伐珠单抗和丝裂霉素治疗晚期结直肠癌结局的影响。
J Clin Oncol. 2011 Jul 1;29(19):2675-82. doi: 10.1200/JCO.2010.34.5520. Epub 2011 Jun 6.
8
Alterations in PTEN and PIK3CA in colorectal cancers in the EPIC Norfolk study: associations with clinicopathological and dietary factors.EPIC Norfolk 研究中结直肠癌中 PTEN 和 PIK3CA 的改变:与临床病理和饮食因素的关联。
BMC Cancer. 2011 Apr 7;11:123. doi: 10.1186/1471-2407-11-123.
9
Impact of KRAS, BRAF, PIK3CA mutations, PTEN, AREG, EREG expression and skin rash in ≥ 2 line cetuximab-based therapy of colorectal cancer patients.KRAS、BRAF、PIK3CA 突变、PTEN、AREG、EREG 表达及皮疹对≥2 线基于西妥昔单抗治疗的结直肠癌患者的影响。
PLoS One. 2011 Jan 20;6(1):e15980. doi: 10.1371/journal.pone.0015980.
10
Nuclear PTEN regulates the APC-CDH1 tumor-suppressive complex in a phosphatase-independent manner.核 PTEN 以非依赖磷酸酶的方式调节 APC-CDH1 肿瘤抑制复合物。
Cell. 2011 Jan 21;144(2):187-99. doi: 10.1016/j.cell.2010.12.020.