Department of Electrical and Computer Engineering, University of Alberta, Edmonton, AB, T6G 2V4, Canada.
Cell Mol Life Sci. 2014 Apr;71(8):1477-504. doi: 10.1007/s00018-013-1446-6. Epub 2013 Aug 13.
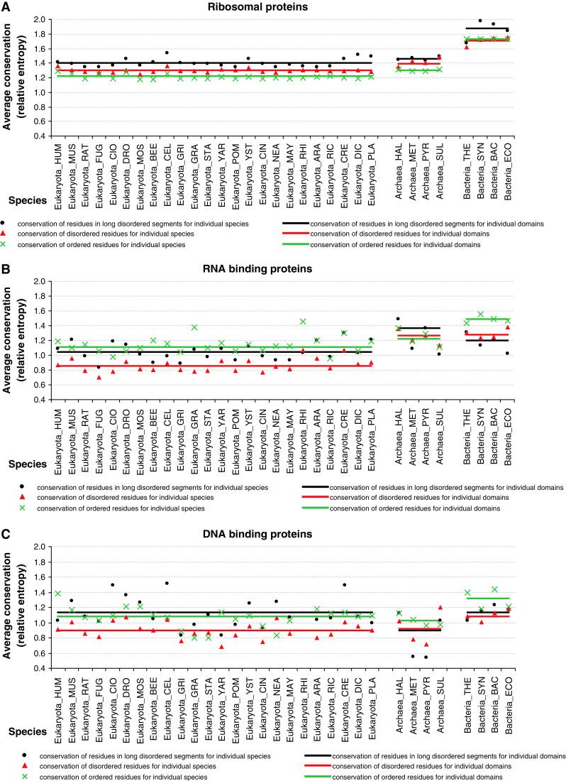
Intrinsic disorder (i.e., lack of a unique 3-D structure) is a common phenomenon, and many biologically active proteins are disordered as a whole, or contain long disordered regions. These intrinsically disordered proteins/regions constitute a significant part of all proteomes, and their functional repertoire is complementary to functions of ordered proteins. In fact, intrinsic disorder represents an important driving force for many specific functions. An illustrative example of such disorder-centric functional class is RNA-binding proteins. In this study, we present the results of comprehensive bioinformatics analyses of the abundance and roles of intrinsic disorder in 3,411 ribosomal proteins from 32 species. We show that many ribosomal proteins are intrinsically disordered or hybrid proteins that contain ordered and disordered domains. Predicted globular domains of many ribosomal proteins contain noticeable regions of intrinsic disorder. We also show that disorder in ribosomal proteins has different characteristics compared to other proteins that interact with RNA and DNA including overall abundance, evolutionary conservation, and involvement in protein-protein interactions. Furthermore, intrinsic disorder is not only abundant in the ribosomal proteins, but we demonstrate that it is absolutely necessary for their various functions.
内在无序(即缺乏独特的 3D 结构)是一种常见现象,许多具有生物活性的蛋白质整体无序,或含有长的无序区域。这些固有无序的蛋白质/区域构成了所有蛋白质组的重要组成部分,其功能谱与有序蛋白质的功能互补。事实上,内在无序代表了许多特定功能的重要驱动力。这种以无序为中心的功能类的一个说明性例子是 RNA 结合蛋白。在这项研究中,我们展示了对来自 32 个物种的 3411 个核糖体蛋白中内在无序的丰度和作用的综合生物信息学分析结果。我们表明,许多核糖体蛋白是内在无序的或混合蛋白,它们包含有序和无序的结构域。许多核糖体蛋白的预测球状结构域包含明显的内在无序区域。我们还表明,与其他与 RNA 和 DNA 相互作用的蛋白质相比,核糖体蛋白中的无序具有不同的特征,包括整体丰度、进化保守性以及参与蛋白质-蛋白质相互作用。此外,内在无序不仅在核糖体蛋白中大量存在,而且我们证明它对于它们的各种功能是绝对必要的。