Suppr超能文献

古老的混沌:古菌中的内在无序蛋白质

Archaic chaos: intrinsically disordered proteins in Archaea.

作者信息

Xue Bin, Williams Robert W, Oldfield Christopher J, Dunker A Keith, Uversky Vladimir N

机构信息

Center for Computational Biology and Bioinformatics, Indiana University School of Medicine, Indianapolis, IN 46202, USA.

出版信息

BMC Syst Biol. 2010 May 28;4 Suppl 1(Suppl 1):S1. doi: 10.1186/1752-0509-4-S1-S1.

Abstract

BACKGROUND

Many proteins or their regions known as intrinsically disordered proteins (IDPs) and intrinsically disordered regions (IDRs) lack unique 3D structure in their native states under physiological conditions yet fulfill key biological functions. Earlier bioinformatics studies showed that IDPs and IDRs are highly abundant in different proteomes and carry out mostly regulatory functions related to molecular recognition and signal transduction. Archaea belong to an intriguing domain of life whose members, being microbes, are characterized by a unique mosaic-like combination of bacterial and eukaryotic properties and include inhabitants of some of the most extreme environments on the planet. With the expansion of the archaea genome data (more than fifty archaea species from five different phyla are known now), and with recent improvements in the accuracy of intrinsic disorder prediction, it is time to re-examine the abundance of IDPs and IDRs in the archaea domain.

RESULTS

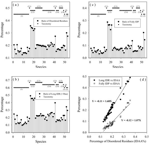
The abundance of IDPs and IDRs in 53 archaea species is analyzed. The amino acid composition profiles of these species are generally quite different from each other. The disordered content is highly species-dependent. Thermoproteales proteomes have 14% of disordered residues, while in Halobacteria, this value increases to 34%. In proteomes of these two phyla, proteins containing long disordered regions account for 12% and 46%, whereas 4% and 26% their proteins are wholly disordered. These three measures of disorder content are linearly correlated with each other at the genome level. There is a weak correlation between the environmental factors (such as salinity, pH and temperature of the habitats) and the abundance of intrinsic disorder in Archaea, with various environmental factors possessing different disorder-promoting strengths. Harsh environmental conditions, especially those combining several hostile factors, clearly favor increased disorder content. Intrinsic disorder is highly abundant in functional Pfam domains of the archaea origin. The analysis based on the disordered content and phylogenetic tree indicated diverse evolution of intrinsic disorder among various classes and species of Archaea.

CONCLUSIONS

Archaea proteins are rich in intrinsic disorder. Some of these IDPs and IDRs likely evolve to help archaea to accommodate to their hostile habitats. Other archaean IDPs and IDRs possess crucial biological functions similar to those of the bacterial and eukaryotic IDPs/IDRs.

摘要

背景

许多被称为内在无序蛋白(IDP)和内在无序区域(IDR)的蛋白质或其区域在生理条件下的天然状态下缺乏独特的三维结构,但却履行着关键的生物学功能。早期的生物信息学研究表明,IDP和IDR在不同的蛋白质组中高度丰富,并且主要执行与分子识别和信号转导相关的调节功能。古菌属于一个有趣的生命领域,其成员作为微生物,具有细菌和真核生物特性的独特镶嵌式组合,并且包括地球上一些最极端环境中的生物。随着古菌基因组数据的扩展(目前已知来自五个不同门的五十多种古菌物种),以及最近内在无序预测准确性的提高,现在是重新审视古菌域中IDP和IDR丰度的时候了。

结果

分析了53种古菌物种中IDP和IDR的丰度。这些物种的氨基酸组成概况通常彼此差异很大。无序含量高度依赖于物种。嗜热栖热菌蛋白质组有14%的无序残基,而在盐杆菌中,这一数值增加到34%。在这两个门的蛋白质组中,含有长无序区域的蛋白质分别占12%和46%,而其完全无序的蛋白质分别占4%和26%。这三种无序含量测量方法在基因组水平上彼此呈线性相关。环境因素(如栖息地的盐度、pH值和温度)与古菌中内在无序的丰度之间存在弱相关性,不同的环境因素具有不同的促进无序的强度。恶劣的环境条件,尤其是那些结合了多种不利因素的条件,显然有利于增加无序含量。内在无序在古菌起源的功能性Pfam结构域中高度丰富。基于无序含量和系统发育树的分析表明,古菌的不同类别和物种之间内在无序的进化是多样的。

结论

古菌蛋白质富含内在无序。其中一些IDP和IDR可能进化以帮助古菌适应其恶劣的栖息地。其他古菌IDP和IDR具有与细菌和真核生物IDP/IDR类似的关键生物学功能。

https://cdn.ncbi.nlm.nih.gov/pmc/blobs/4427/2880407/3eac1206f444/1752-0509-4-S1-S1-1.jpg

文献检索

告别复杂PubMed语法,用中文像聊天一样搜索,搜遍4000万医学文献。AI智能推荐,让科研检索更轻松。

立即免费搜索

文件翻译

保留排版,准确专业,支持PDF/Word/PPT等文件格式,支持 12+语言互译。

免费翻译文档

深度研究

AI帮你快速写综述,25分钟生成高质量综述,智能提取关键信息,辅助科研写作。

立即免费体验