• 文献检索
  • 文档翻译
  • 深度研究
  • 学术资讯
  • Suppr Zotero 插件Zotero 插件
  • 邀请有礼
  • 套餐&价格
  • 历史记录
应用&插件
Suppr Zotero 插件Zotero 插件浏览器插件Mac 客户端Windows 客户端微信小程序
定价
高级版会员购买积分包购买API积分包
服务
文献检索文档翻译深度研究API 文档MCP 服务
关于我们
关于 Suppr公司介绍联系我们用户协议隐私条款
关注我们

Suppr 超能文献

核心技术专利:CN118964589B侵权必究
粤ICP备2023148730 号-1Suppr @ 2026

文献检索

告别复杂PubMed语法,用中文像聊天一样搜索,搜遍4000万医学文献。AI智能推荐,让科研检索更轻松。

立即免费搜索

文件翻译

保留排版,准确专业,支持PDF/Word/PPT等文件格式,支持 12+语言互译。

免费翻译文档

深度研究

AI帮你快速写综述,25分钟生成高质量综述,智能提取关键信息,辅助科研写作。

立即免费体验

阿片类药物依赖作为动脉僵硬度和心血管衰老的独立及交互风险因素——一项女性纵向研究

Opiate dependence as an independent and interactive risk factor for arterial stiffness and cardiovascular ageing - a longitudinal study in females.

作者信息

Reece Albert Stuart, Hulse Gary Kenneth

机构信息

School of Psychiatry and Clinical Neurosciences, University of Western Australia, Crawley WA 6009, Australia.

出版信息

J Clin Med Res. 2013 Oct;5(5):356-67. doi: 10.4021/jocmr1496w. Epub 2013 Aug 5.

DOI:10.4021/jocmr1496w
PMID:23976908
原文链接:https://pmc.ncbi.nlm.nih.gov/articles/PMC3748660/
Abstract

BACKGROUND

Despite intriguing observational cross-sectional data there are no longitudinal studies of opiate related arterial disease. As opiates act via P16INK4A/CDKN2A, and vascular ageing has been thought to be a surrogate for organismal ageing, the subject has far-reaching implications.

METHODS

Pulse Wave Analysis (PWA) by radial arterial tonometry (SphygmoCor) was performed on control and opiate dependent patients.

RESULTS

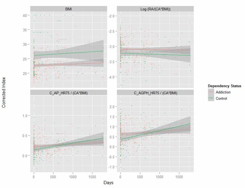
A total of 37 controls were compared with 93 opiate dependents. They were studied on 117 and 275 occasions respectively up to 1,797 days. The mean (± S.E.M.) ages were 38.72 ± 2.64 and 33.78 ± 0.90 years (P = 0.0260), 91.4% and 10.8% smoked (P < 0.0001). Body mass index rose more in controls (P = 0.0185) and in interaction with time (P = 0.0025). When controlled for time and BMI, opiate dependency status was shown to be associated with vascular age and central arterial stiffness and pressure indices (all P < 0.05). When repeated measures multiple regression was performed on all traditional cardiovascular risk factors, the opiate dose-duration interaction was significant and appeared in 12 terms in the final model. It was also independently significant (P = 0.0153). Opiate dose or duration appeared in a further 15 terms. The model was shown to be significantly improved by the inclusion of terms for opiate dependency (A.I.C. 71.10 v 54.31, P < 0.0001).

CONCLUSION

These data confirm increased vascular stiffness and ageing in a longitudinal study, and thereby imply advanced organismal ageing. These multivariate studies are consistent with opiate dependency as an interactive and multivariate cardiovascular risk factor and emphasize the role of treatment duration.

摘要

背景

尽管有有趣的观察性横断面数据,但尚无关于阿片类药物相关动脉疾病的纵向研究。由于阿片类药物通过P16INK4A/CDKN2A起作用,且血管老化一直被认为是机体老化的替代指标,因此该主题具有深远意义。

方法

对对照组和阿片类药物依赖患者进行经桡动脉压测定(SphygmoCor)的脉搏波分析(PWA)。

结果

共将37名对照组患者与93名阿片类药物依赖者进行了比较。分别在长达1797天的时间里对他们进行了117次和275次研究。平均(±标准误)年龄分别为38.72±2.64岁和33.78±0.90岁(P = 0.0260),吸烟者比例分别为91.4%和10.8%(P < 0.0001)。对照组的体重指数上升幅度更大(P = 0.0185),且与时间存在交互作用(P = 0.0025)。在对时间和体重指数进行控制后,阿片类药物依赖状态被证明与血管年龄、中心动脉僵硬度和压力指数相关(所有P < 0.05)。当对所有传统心血管危险因素进行重复测量多元回归分析时,阿片类药物剂量-持续时间交互作用显著,且在最终模型的12个项中出现。其也具有独立显著性(P = 0.0153)。阿片类药物剂量或持续时间在另外15个项中出现。通过纳入阿片类药物依赖项,模型得到显著改善(A.I.C. 71.10对54.31,P < 0.0001)。

结论

这些数据在纵向研究中证实了血管僵硬度增加和老化,从而意味着机体老化进程加快。这些多变量研究表明阿片类药物依赖是一种交互性和多变量的心血管危险因素,并强调了治疗持续时间的作用。

https://cdn.ncbi.nlm.nih.gov/pmc/blobs/e9a4/3748660/6aa298851ec0/jocmr-05-356-g004.jpg
https://cdn.ncbi.nlm.nih.gov/pmc/blobs/e9a4/3748660/390b9b1a39ce/jocmr-05-356-g001.jpg
https://cdn.ncbi.nlm.nih.gov/pmc/blobs/e9a4/3748660/2b44993a921c/jocmr-05-356-g002.jpg
https://cdn.ncbi.nlm.nih.gov/pmc/blobs/e9a4/3748660/c1a9a7bdd8d8/jocmr-05-356-g003.jpg
https://cdn.ncbi.nlm.nih.gov/pmc/blobs/e9a4/3748660/6aa298851ec0/jocmr-05-356-g004.jpg
https://cdn.ncbi.nlm.nih.gov/pmc/blobs/e9a4/3748660/390b9b1a39ce/jocmr-05-356-g001.jpg
https://cdn.ncbi.nlm.nih.gov/pmc/blobs/e9a4/3748660/2b44993a921c/jocmr-05-356-g002.jpg
https://cdn.ncbi.nlm.nih.gov/pmc/blobs/e9a4/3748660/c1a9a7bdd8d8/jocmr-05-356-g003.jpg
https://cdn.ncbi.nlm.nih.gov/pmc/blobs/e9a4/3748660/6aa298851ec0/jocmr-05-356-g004.jpg

相似文献

1
Opiate dependence as an independent and interactive risk factor for arterial stiffness and cardiovascular ageing - a longitudinal study in females.阿片类药物依赖作为动脉僵硬度和心血管衰老的独立及交互风险因素——一项女性纵向研究
J Clin Med Res. 2013 Oct;5(5):356-67. doi: 10.4021/jocmr1496w. Epub 2013 Aug 5.
2
Duration of opiate exposure as a determinant of arterial stiffness and vascular age in male opiate dependence: a longitudinal study.阿片类药物暴露时长对男性阿片类药物依赖者动脉僵硬度和血管年龄的影响:一项纵向研究
J Clin Pharm Ther. 2014 Apr;39(2):158-67. doi: 10.1111/jcpt.12121. Epub 2013 Dec 16.
3
Lifetime opiate exposure as an independent and interactive cardiovascular risk factor in males: a cross-sectional clinical study.终生阿片类药物暴露作为男性独立和交互性心血管危险因素:一项横断面临床研究。
Vasc Health Risk Manag. 2013;9:551-61. doi: 10.2147/VHRM.S48030. Epub 2013 Oct 2.
4
Impact of lifetime opioid exposure on arterial stiffness and vascular age: cross-sectional and longitudinal studies in men and women.终生阿片类药物暴露对动脉僵硬度和血管年龄的影响:男性和女性的横断面及纵向研究
BMJ Open. 2014 Jun 2;4(6):e004521. doi: 10.1136/bmjopen-2013-004521.
5
Cannabis exposure as an interactive cardiovascular risk factor and accelerant of organismal ageing: a longitudinal study.大麻暴露作为一种交互性心血管危险因素及机体衰老的加速因素:一项纵向研究。
BMJ Open. 2016 Nov 7;6(11):e011891. doi: 10.1136/bmjopen-2016-011891.
6
Impact of opioid pharmacotherapy on arterial stiffness and vascular ageing: cross-sectional and longitudinal studies.阿片类药物治疗对动脉僵硬和血管老化的影响:横断面和纵向研究。
Cardiovasc Toxicol. 2013 Sep;13(3):254-66. doi: 10.1007/s12012-013-9204-4.
7
Reduction in arterial stiffness and vascular age by naltrexone-induced interruption of opiate agonism: a cohort study.纳曲酮诱导的阿片激动剂阻断减少动脉僵硬度和血管年龄:一项队列研究。
BMJ Open. 2013 Mar 21;3(3):e002610. doi: 10.1136/bmjopen-2013-002610.
8
Elevation of central arterial stiffness and vascular ageing in opiate withdrawal: cross-sectional and longitudinal studies.阿片类药物戒断中心动脉僵硬度和血管老化升高:横断面和纵向研究。
Cardiovasc Toxicol. 2013 Mar;13(1):55-67. doi: 10.1007/s12012-012-9186-7.
9
Nonfunctioning adrenal incidentaloma affecting central blood pressure and arterial stiffness parameters.无功能肾上腺意外瘤对中心血压和动脉僵硬度参数的影响。
Endocrine. 2017 Dec;58(3):513-520. doi: 10.1007/s12020-017-1439-6. Epub 2017 Oct 17.
10
Association between arterial stiffness, disease activity and functional impairment in ankylosing spondylitis patients: a cross-sectional study.强直性脊柱炎患者动脉僵硬度、疾病活动度与功能障碍之间的关联:一项横断面研究。
Clin Rheumatol. 2016 Aug;35(8):2017-2022. doi: 10.1007/s10067-016-3297-7. Epub 2016 May 12.

引用本文的文献

1
Cannabis exposure as an interactive cardiovascular risk factor and accelerant of organismal ageing: a longitudinal study.大麻暴露作为一种交互性心血管危险因素及机体衰老的加速因素:一项纵向研究。
BMJ Open. 2016 Nov 7;6(11):e011891. doi: 10.1136/bmjopen-2016-011891.
2
The Effects of Opioid Substitution Treatment and Highly Active Antiretroviral Therapy on the Cause-Specific Risk of Mortality Among HIV-Positive People Who Inject Drugs.阿片类药物替代治疗和高效抗逆转录病毒疗法对注射毒品的艾滋病毒阳性者特定病因死亡风险的影响。
Clin Infect Dis. 2015 Oct 1;61(7):1157-65. doi: 10.1093/cid/civ476. Epub 2015 Jun 25.
3
Impact of lifetime opioid exposure on arterial stiffness and vascular age: cross-sectional and longitudinal studies in men and women.

本文引用的文献

1
Genomics of cardiovascular disease.心血管疾病的基因组学
N Engl J Med. 2011 Dec 1;365(22):2098-109. doi: 10.1056/NEJMra1105239.
2
Assessment and treatment of abuse risk in opioid prescribing for chronic pain.慢性疼痛阿片类药物处方中滥用风险的评估与治疗
Pain Res Treat. 2011;2011:941808. doi: 10.1155/2011/941808. Epub 2011 Oct 11.
3
The increasing mortality burden of liver disease among opioid-dependent people: cohort study.阿片类药物依赖者中肝病死亡率负担增加:队列研究。
终生阿片类药物暴露对动脉僵硬度和血管年龄的影响:男性和女性的横断面及纵向研究
BMJ Open. 2014 Jun 2;4(6):e004521. doi: 10.1136/bmjopen-2013-004521.
Addiction. 2011 Dec;106(12):2186-92. doi: 10.1111/j.1360-0443.2011.03575.x. Epub 2011 Oct 17.
4
Increasing cancer mortality among opioid-dependent persons in Australia: a new public health challenge for a disadvantaged population.澳大利亚阿片类药物依赖者的癌症死亡率上升:一个弱势人群面临的新公共卫生挑战。
Aust N Z J Public Health. 2011 Jun;35(3):220-5. doi: 10.1111/j.1753-6405.2011.00682.x. Epub 2011 Mar 7.
5
Differing age related trajectories of dysfunction in several organ systems in opiate dependence.阿片类药物依赖中几个器官系统功能障碍的不同年龄相关轨迹。
Aging Clin Exp Res. 2012 Feb;24(1):85-96. doi: 10.3275/7518. Epub 2011 Feb 21.
6
Central versus ambulatory blood pressure in the prediction of all-cause and cardiovascular mortalities.中心动脉压与动态血压在预测全因死亡率和心血管死亡率中的比较。
J Hypertens. 2011 Mar;29(3):454-9. doi: 10.1097/HJH.0b013e3283424b4d.
7
Independent and additive effects of cytokine patterns and the metabolic syndrome on arterial aging in the SardiNIA Study.在 SardiNIA 研究中,细胞因子模式和代谢综合征对动脉老化的独立和附加作用。
Atherosclerosis. 2011 Apr;215(2):459-64. doi: 10.1016/j.atherosclerosis.2010.12.023. Epub 2010 Dec 30.
8
Epidemiology of opium use in 4398 patients admitted for coronary artery bypass graft in Tehran Heart Center.德黑兰心脏中心4398例接受冠状动脉搭桥手术患者的鸦片使用情况流行病学研究
J Cardiovasc Surg (Torino). 2011 Feb;52(1):140-1.
9
Hypothalamic opioid-melanocortin appetitive balance and addictive craving.下丘脑阿片-黑素皮质素食欲平衡与成瘾性渴望。
Med Hypotheses. 2011 Jan;76(1):132-7. doi: 10.1016/j.mehy.2010.09.002.
10
Survival and cessation in injecting drug users: prospective observational study of outcomes and effect of opiate substitution treatment.注射吸毒者的生存和停止:结局的前瞻性观察研究及阿片类物质替代治疗的效果。
BMJ. 2010 Jul 1;341:c3172. doi: 10.1136/bmj.c3172.