Suppr超能文献

生物物理因素对造礁双壳贝类附着斑块最佳长度的限制。

Biophysical constraints on optimal patch lengths for settlement of a reef-building bivalve.

机构信息

Institute of Marine and Coastal Sciences, Rutgers University, New Brunswick, New Jersey, United States of America.

出版信息

PLoS One. 2013 Aug 19;8(8):e71506. doi: 10.1371/journal.pone.0071506. eCollection 2013.

Abstract

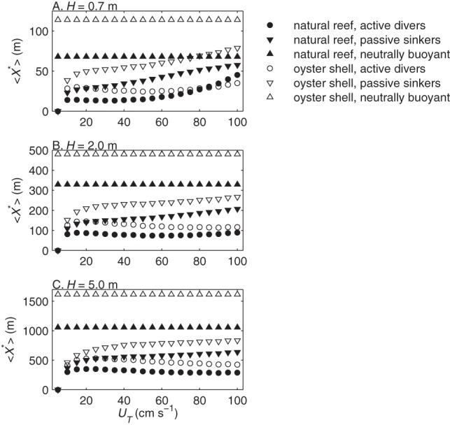
Reef-building species form discrete patches atop soft sediments, and reef restoration often involves depositing solid material as a substrate for larval settlement and growth. There have been few theoretical efforts to optimize the physical characteristics of a restored reef patch to achieve high recruitment rates. The delivery of competent larvae to a reef patch is influenced by larval behavior and by physical habitat characteristics such as substrate roughness, patch length, current speed, and water depth. We used a spatial model, the "hitting-distance" model, to identify habitat characteristics that will jointly maximize both the settlement probability and the density of recruits on an oyster reef (Crassostrea virginica). Modeled larval behaviors were based on laboratory observations and included turbulence-induced diving, turbulence-induced passive sinking, and neutral buoyancy. Profiles of currents and turbulence were based on velocity profiles measured in coastal Virginia over four different substrates: natural oyster reefs, mud, and deposited oyster and whelk shell. Settlement probabilities were higher on larger patches, whereas average settler densities were higher on smaller patches. Larvae settled most successfully and had the smallest optimal patch length when diving over rough substrates in shallow water. Water depth was the greatest source of variability, followed by larval behavior, substrate roughness, and tidal current speed. This result suggests that the best way to maximize settlement on restored reefs is to construct patches of optimal length for the water depth, whereas substrate type is less important than expected. Although physical patch characteristics are easy to measure, uncertainty about larval behavior remains an obstacle for predicting settlement patterns. The mechanistic approach presented here could be combined with a spatially explicit metapopulation model to optimize the arrangement of reef patches in an estuary or region for greater sustainability of restored habitats.

摘要

造礁物种在软沉积物上形成离散的斑块,而珊瑚礁修复通常涉及将固体物质沉积作为幼虫定殖和生长的基质。很少有理论努力来优化修复后的珊瑚礁斑块的物理特性,以实现高招募率。幼虫到达珊瑚礁斑块的能力受到幼虫行为和物理栖息地特征的影响,如基质粗糙度、斑块长度、海流速度和水深。我们使用空间模型,即“命中距离”模型,来确定栖息地特征,这些特征将共同最大限度地提高牡蛎礁(Crassostrea virginica)上的定殖概率和幼虫密度。模拟的幼虫行为基于实验室观察,包括由湍流引起的潜水、由湍流引起的被动下沉和中性浮力。海流和湍流剖面基于在弗吉尼亚海岸测量的四个不同基质(天然牡蛎礁、泥和沉积的牡蛎和涡螺壳)的速度剖面。较大的斑块上的定殖概率较高,而较小的斑块上的平均定居者密度较高。当幼虫在浅水中在粗糙基质上潜水时,幼虫的定殖成功率最高,且最优斑块长度最小。水深是最大的变异性来源,其次是幼虫行为、基质粗糙度和潮汐海流速度。这一结果表明,在修复的珊瑚礁上最大限度地提高定殖的最佳方法是构建与水深相匹配的最佳长度的斑块,而基质类型的重要性低于预期。虽然物理斑块特征易于测量,但幼虫行为的不确定性仍然是预测定殖模式的障碍。这里提出的机械方法可以与空间显式集合种群模型相结合,以优化河口或区域中珊瑚礁斑块的排列方式,从而提高修复栖息地的可持续性。

https://cdn.ncbi.nlm.nih.gov/pmc/blobs/2a0f/3747277/79fc7947db6d/pone.0071506.g001.jpg

文献AI研究员

20分钟写一篇综述,助力文献阅读效率提升50倍。

立即体验

用中文搜PubMed

大模型驱动的PubMed中文搜索引擎

马上搜索

文档翻译

学术文献翻译模型,支持多种主流文档格式。

立即体验