Suppr超能文献

GNAO1 的下调及其在肝细胞癌中的促进作用。

The down-regulation of GNAO1 and its promoting role in hepatocellular carcinoma.

机构信息

*Department of Digestive Diseases, Huashan Hospital, Fudan University, Shanghai, China.

出版信息

Biosci Rep. 2013 Sep 17;33(5):e00069. doi: 10.1042/BSR20130001.

Abstract

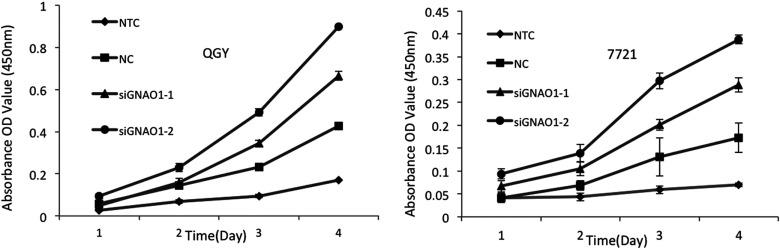
GNAO1 (guanine nucleotide-binding protein, α-activating activity polypeptide O) is a member of the subunit family of Gα proteins, which are molecular switchers controlling signal transductions and whose deregulation can promote oncogenesis. HCC (hepatocellular carcinoma) is one of the malignant tumours around the world, which summons novel biomarkers or targets for effective diagnosis and treatments. The present study was aimed to investigate the expression of GNAO1 in HCC patient tissues and the possible mechanisms by which it took effects. The expression of GNAO1 was detected by IHC (immunohistochemistry) and real-time qPCR (quantitative PCR). Cell proliferation test and cell senescence test were then performed to explore the role of GNAO1 in the occurrence and development of HCC. It was revealed that the level of GNAO1 was comparably less in HCC tissues than in the adjacent tissues. Furthermore, down-regulation of GNAO1 increased cell proliferation, while suppressing the senescence of HCC cells. In conclusion, our findings revealed and confirmed the importance of GNAO1 in HCC, indicating that GNAO1 is a potential biomarker as well as a promising therapeutic target for HCC.

摘要

GNAO1(鸟嘌呤核苷酸结合蛋白,α-激活活性多肽 O)是 Gα 蛋白亚基家族的成员,是控制信号转导的分子开关,其失调可促进肿瘤发生。肝癌(hepatocellular carcinoma)是全球范围内的恶性肿瘤之一,需要寻找新的生物标志物或靶点,以实现有效的诊断和治疗。本研究旨在探讨 GNAO1 在肝癌患者组织中的表达及其作用机制。通过免疫组织化学(IHC)和实时 qPCR(定量 PCR)检测 GNAO1 的表达。然后进行细胞增殖试验和细胞衰老试验,以探讨 GNAO1 在肝癌发生发展中的作用。结果表明,GNAO1 在肝癌组织中的水平明显低于相邻组织。此外,下调 GNAO1 可增加肝癌细胞的增殖,同时抑制其衰老。综上所述,我们的研究结果揭示并证实了 GNAO1 在肝癌中的重要性,表明 GNAO1 是肝癌潜在的生物标志物和有前途的治疗靶点。

https://cdn.ncbi.nlm.nih.gov/pmc/blobs/564b/3775511/950692975d51/bsr2013-0001i001.jpg

文献AI研究员

20分钟写一篇综述,助力文献阅读效率提升50倍。

立即体验

用中文搜PubMed

大模型驱动的PubMed中文搜索引擎

马上搜索

文档翻译

学术文献翻译模型,支持多种主流文档格式。

立即体验