Suppr超能文献

使用双高光谱方法无创性测量高空间分辨率下青蛙皮肤的反射率。

Non-invasive measurement of frog skin reflectivity in high spatial resolution using a dual hyperspectral approach.

机构信息

Institute of Bio- and Geosciences: Plant Sciences (IBG-2), Forschungszentrum Jülich GmbH, Jülich, Germany.

出版信息

PLoS One. 2013 Sep 18;8(9):e73234. doi: 10.1371/journal.pone.0073234. eCollection 2013.

Abstract

BACKGROUND

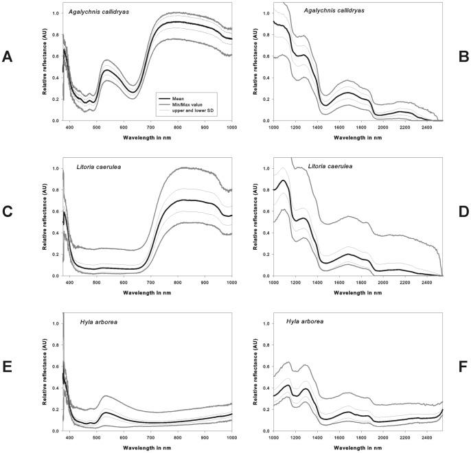
Most spectral data for the amphibian integument are limited to the visible spectrum of light and have been collected using point measurements with low spatial resolution. In the present study a dual camera setup consisting of two push broom hyperspectral imaging systems was employed, which produces reflectance images between 400 and 2500 nm with high spectral and spatial resolution and a high dynamic range.

METHODOLOGY/PRINCIPAL FINDINGS: We briefly introduce the system and document the high efficiency of this technique analyzing exemplarily the spectral reflectivity of the integument of three arboreal anuran species (Litoria caerulea, Agalychnis callidryas and Hyla arborea), all of which appear green to the human eye. The imaging setup generates a high number of spectral bands within seconds and allows non-invasive characterization of spectral characteristics with relatively high working distance. Despite the comparatively uniform coloration, spectral reflectivity between 700 and 1100 nm differed markedly among the species. In contrast to H. arborea, L. caerulea and A. callidryas showed reflection in this range. For all three species, reflectivity above 1100 nm is primarily defined by water absorption. Furthermore, the high resolution allowed examining even small structures such as fingers and toes, which in A. callidryas showed an increased reflectivity in the near infrared part of the spectrum.

CONCLUSION/SIGNIFICANCE: Hyperspectral imaging was found to be a very useful alternative technique combining the spectral resolution of spectrometric measurements with a higher spatial resolution. In addition, we used Digital Infrared/Red-Edge Photography as new simple method to roughly determine the near infrared reflectivity of frog specimens in field, where hyperspectral imaging is typically difficult.

摘要

背景

大多数两栖动物皮肤的光谱数据仅限于可见光光谱,并且是使用低空间分辨率的点测量收集的。在本研究中,使用了由两个推帚式高光谱成像系统组成的双相机设置,该系统具有高光谱和空间分辨率以及高动态范围,可以生成 400 至 2500nm 之间的反射率图像。

方法/主要发现:我们简要介绍了该系统,并通过分析三种树栖蛙类(Litoria caerulea、Agalychnis callidryas 和 Hyla arborea)的皮肤光谱反射率,证明了该技术的高效性,这三种蛙类在人眼中均呈现绿色。成像系统在几秒钟内生成大量光谱带,并允许在相对较高的工作距离下对光谱特征进行非侵入式表征。尽管颜色相对均匀,但在 700 至 1100nm 之间的物种之间的光谱反射率存在明显差异。与 H. arborea 不同,L. caerulea 和 A. callidryas 在该范围内显示出反射。对于所有三种物种,1100nm 以上的反射率主要由水吸收决定。此外,高分辨率还允许检查甚至是小结构,如手指和脚趾,在 A. callidryas 中,这些结构在近红外光谱部分显示出更高的反射率。

结论/意义:高光谱成像被发现是一种非常有用的替代技术,它将光谱测量的光谱分辨率与更高的空间分辨率结合在一起。此外,我们还使用数字红外/红边摄影作为一种新的简单方法,在高光谱成像通常较困难的野外环境中,粗略确定青蛙标本的近红外反射率。

https://cdn.ncbi.nlm.nih.gov/pmc/blobs/ba3d/3776832/0352c80dade2/pone.0073234.g001.jpg

文献AI研究员

20分钟写一篇综述,助力文献阅读效率提升50倍。

立即体验

用中文搜PubMed

大模型驱动的PubMed中文搜索引擎

马上搜索

文档翻译

学术文献翻译模型,支持多种主流文档格式。

立即体验