Suppr超能文献

成年期暴露于双酚 A 对大鼠前额叶皮层生理病理学相关基因的影响。

Effects of adult exposure to bisphenol a on genes involved in the physiopathology of rat prefrontal cortex.

机构信息

Department of Biochemistry and Molecular Biology, Faculty of Medicine, University of Granada, Granada, Spain.

出版信息

PLoS One. 2013 Sep 16;8(9):e73584. doi: 10.1371/journal.pone.0073584. eCollection 2013.

Abstract

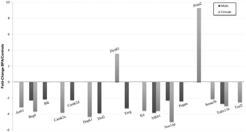
Several neurological and behavioral dysfunctions have been reported in animals exposed to bisphenol A (BPA). However, little is known about the impact of adult exposure to BPA on brain physiopathology. Here, we focused on prefrontal cortex (PFC) of rats, because it is an important area for cognitive control, complex behaviors and is altered in many psychopathologies. Gamma-aminobutyric acid (GABA) and serotonin (5-HT) systems are essential for PFC function. Therefore, we examined the effects of adult exposure to BPA on 5α-Reductase (5α-R) and cytochrome P450 aromatase (P450arom), enzymes that synthesize GABAA receptor modulators, and tryptophan hydroxylase (Tph), the rate-limiting enzyme in 5-HT biosynthesis. To gain better understanding of BPA's action in the adult PFC, 84 genes involved in neurotoxicity were also analysed. Adult male and female rats were subcutaneously injected for 4 days with 50 µg/kg/day, the current reference safe dose for BPA. mRNA and protein levels of 5α-R, P450arom and Tph were quantified by real-time RT-PCR and Western blot. Genes linked to neurotoxicity were analyzed by PCR-Array technology. Adult exposure to BPA increased both P450arom and Tph2 expression in PFC of male and female, but decreased 5α-R1 expression in female. Moreover, we identified 17 genes related to PFC functions such as synaptic plasticity and memory, as potential targets of BPA. Our results provided new insights on the molecular mechanisms underlying BPA action in the physiopathology of PFC, but also raise the question about the safety of short-term exposure to it in the adulthood.

摘要

已有研究报道,双酚 A(BPA)暴露会导致动物出现多种神经和行为功能障碍。然而,人们对于成年期 BPA 暴露对大脑病理生理学的影响知之甚少。在这里,我们重点研究了前额叶皮层(PFC),因为它是认知控制、复杂行为的重要区域,并且在许多精神病理学中都会发生改变。γ-氨基丁酸(GABA)和 5-羟色胺(5-HT)系统对于 PFC 功能至关重要。因此,我们研究了成年期 BPA 暴露对 5α-还原酶(5α-R)和细胞色素 P450 芳香化酶(P450arom)的影响,这两种酶可合成 GABAA 受体调节剂,以及色氨酸羟化酶(Tph),5-HT 生物合成的限速酶。为了更好地了解 BPA 在成年 PFC 中的作用,我们还分析了 84 种与神经毒性相关的基因。成年雄性和雌性大鼠通过皮下注射 50μg/kg/天的 BPA,这是目前 BPA 的参考安全剂量,连续注射 4 天。通过实时 RT-PCR 和 Western blot 定量测定 5α-R、P450arom 和 Tph 的 mRNA 和蛋白水平。通过 PCR-Array 技术分析与神经毒性相关的基因。成年期 BPA 暴露增加了雄性和雌性 PFC 中 P450arom 和 Tph2 的表达,但降低了雌性 5α-R1 的表达。此外,我们还鉴定了 17 个与 PFC 功能相关的基因,如突触可塑性和记忆,它们可能是 BPA 的潜在作用靶点。我们的研究结果为 BPA 作用于 PFC 病理生理学的分子机制提供了新的见解,但也引发了对成年期短期暴露于 BPA 的安全性的质疑。

https://cdn.ncbi.nlm.nih.gov/pmc/blobs/d4bc/3774751/bad6c0c7871c/pone.0073584.g001.jpg

相似文献

1
Effects of adult exposure to bisphenol a on genes involved in the physiopathology of rat prefrontal cortex.
PLoS One. 2013 Sep 16;8(9):e73584. doi: 10.1371/journal.pone.0073584. eCollection 2013.
3
Effects of perinatal exposure to bisphenol A on the intraprostatic levels of aromatase and 5α-reductase isozymes in juvenile rats.
Food Chem Toxicol. 2018 May;115:20-25. doi: 10.1016/j.fct.2018.02.060. Epub 2018 Feb 28.
4
Identification of dopamine- and serotonin-related genes modulated by bisphenol A in the prefrontal cortex of male rats.
Chemosphere. 2015 Nov;139:235-9. doi: 10.1016/j.chemosphere.2015.06.061. Epub 2015 Jul 1.
6
Bisphenol A exposure during adulthood alters expression of aromatase and 5α-reductase isozymes in rat prostate.
PLoS One. 2013;8(2):e55905. doi: 10.1371/journal.pone.0055905. Epub 2013 Feb 6.
10

引用本文的文献

1
Effect of bisphenol A on the neurological system: a review update.
Arch Toxicol. 2024 Jan;98(1):1-73. doi: 10.1007/s00204-023-03614-0. Epub 2023 Oct 19.
2
Impact of a bisphenol A, F, and S mixture and maternal care on the brain transcriptome of rat dams and pups.
Neurotoxicology. 2022 Dec;93:22-36. doi: 10.1016/j.neuro.2022.08.014. Epub 2022 Aug 27.
3
The effects of prenatal bisphenol A exposure on brain volume of children and young mice.
Environ Res. 2022 Nov;214(Pt 3):114040. doi: 10.1016/j.envres.2022.114040. Epub 2022 Aug 8.
6
Pomegranate derivative urolithin A enhances vitamin D receptor signaling to amplify serotonin-related gene induction by 1,25-dihydroxyvitamin D.
Biochem Biophys Rep. 2020 Oct 13;24:100825. doi: 10.1016/j.bbrep.2020.100825. eCollection 2020 Dec.
8
Neurotoxic Agent-Induced Injury in Neurodegenerative Disease Model: Focus on Involvement of Glutamate Receptors.
Front Mol Neurosci. 2018 Aug 29;11:307. doi: 10.3389/fnmol.2018.00307. eCollection 2018.

本文引用的文献

1
Sex-specific effects of bisphenol-A on memory and synaptic structural modification in hippocampus of adult mice.
Horm Behav. 2013 May;63(5):766-75. doi: 10.1016/j.yhbeh.2013.03.004. Epub 2013 Mar 19.
2
Bisphenol A exposure during adulthood alters expression of aromatase and 5α-reductase isozymes in rat prostate.
PLoS One. 2013;8(2):e55905. doi: 10.1371/journal.pone.0055905. Epub 2013 Feb 6.
3
Obesity: Fat from plastics? Linking bisphenol A exposure and obesity.
Nat Rev Endocrinol. 2013 Jan;9(1):9-10. doi: 10.1038/nrendo.2012.205. Epub 2012 Nov 13.
4
Neurobiology of suicidal behaviour.
Psychiatr Danub. 2012 Oct;24 Suppl 3:S336-41.
6
A single exposure to bisphenol A alters the levels of important neuroproteins in adult male and female mice.
Neurotoxicology. 2012 Oct;33(5):1390-5. doi: 10.1016/j.neuro.2012.09.002. Epub 2012 Sep 12.
7
Neurodevelopmental effects of insulin-like growth factor signaling.
Front Neuroendocrinol. 2012 Aug;33(3):230-51. doi: 10.1016/j.yfrne.2012.06.002. Epub 2012 Jun 16.
8
Neuronal excitability and calcium/calmodulin-dependent protein kinase type II: location, location, location.
Epilepsia. 2012 Jun;53 Suppl 1:45-52. doi: 10.1111/j.1528-1167.2012.03474.x.
9
Estrogen-induced memory enhancements are blocked by acute bisphenol A in adult female rats: role of dendritic spines.
Endocrinology. 2012 Jul;153(7):3357-67. doi: 10.1210/en.2012-1121. Epub 2012 May 8.
10
Short-term treatment with bisphenol-A leads to metabolic abnormalities in adult male mice.
PLoS One. 2012;7(3):e33814. doi: 10.1371/journal.pone.0033814. Epub 2012 Mar 28.

文献AI研究员

20分钟写一篇综述,助力文献阅读效率提升50倍。

立即体验

用中文搜PubMed

大模型驱动的PubMed中文搜索引擎

马上搜索

文档翻译

学术文献翻译模型,支持多种主流文档格式。

立即体验