• 文献检索
  • 文档翻译
  • 深度研究
  • 学术资讯
  • Suppr Zotero 插件Zotero 插件
  • 邀请有礼
  • 套餐&价格
  • 历史记录
应用&插件
Suppr Zotero 插件Zotero 插件浏览器插件Mac 客户端Windows 客户端微信小程序
定价
高级版会员购买积分包购买API积分包
服务
文献检索文档翻译深度研究API 文档MCP 服务
关于我们
关于 Suppr公司介绍联系我们用户协议隐私条款
关注我们

Suppr 超能文献

核心技术专利:CN118964589B侵权必究
粤ICP备2023148730 号-1Suppr @ 2026

文献检索

告别复杂PubMed语法,用中文像聊天一样搜索,搜遍4000万医学文献。AI智能推荐,让科研检索更轻松。

立即免费搜索

文件翻译

保留排版,准确专业,支持PDF/Word/PPT等文件格式,支持 12+语言互译。

免费翻译文档

深度研究

AI帮你快速写综述,25分钟生成高质量综述,智能提取关键信息,辅助科研写作。

立即免费体验

核磁共振方法在 2-氧代酸脱氢酶多酶复合物研究中的应用——文献综述。

Nuclear magnetic resonance approaches in the study of 2-oxo acid dehydrogenase multienzyme complexes--a literature review.

机构信息

Department of Chemistry, Rutgers University, Newark, NJ 07102, USA.

出版信息

Molecules. 2013 Sep 26;18(10):11873-903. doi: 10.3390/molecules181011873.

DOI:10.3390/molecules181011873
PMID:24077172
原文链接:https://pmc.ncbi.nlm.nih.gov/articles/PMC6270654/
Abstract

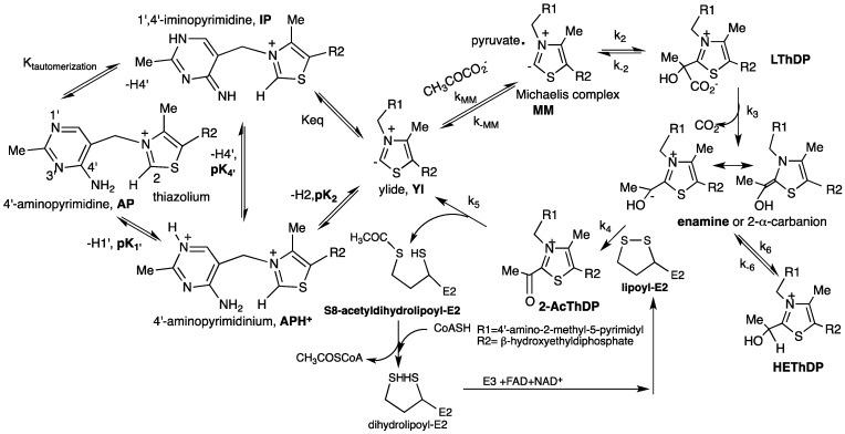
The 2-oxoacid dehydrogenase complexes (ODHc) consist of multiple copies of three enzyme components: E1, a 2-oxoacid decarboxylase; E2, dihydrolipoyl acyl-transferase; and E3, dihydrolipoyl dehydrogenase, that together catalyze the oxidative decarboxylation of 2-oxoacids, in the presence of thiamin diphosphate (ThDP), coenzyme A (CoA), Mg²⁺ and NAD⁺, to generate CO₂, NADH and the corresponding acyl-CoA. The structural scaffold of the complex is provided by E2, with E1 and E3 bound around the periphery. The three principal members of the family are pyruvate dehydrogenase (PDHc), 2-oxoglutarate dehydrogenase (OGDHc) and branched-chain 2-oxo acid dehydrogenase (BCKDHc). In this review, we report application of NMR-based approaches to both mechanistic and structural issues concerning these complexes. These studies revealed the nature and reactivity of transient intermediates on the enzymatic pathway and provided site-specific information on the architecture and binding specificity of the domain interfaces using solubilized truncated domain constructs of the multi-domain E2 component in its interactions with the E1 and E3 components. Where studied, NMR has also provided information about mobile loops and the possible relationship of mobility and catalysis.

摘要

2-氧代酸脱氢酶复合物(ODHc)由三种酶成分的多个拷贝组成:E1,2-氧代酸脱羧酶;E2,二氢硫辛酸酰基转移酶;E3,二氢硫辛酸脱氢酶,它们共同催化 2-氧代酸的氧化脱羧,在硫胺素二磷酸(ThDP)、辅酶 A(CoA)、Mg²⁺和 NAD⁺的存在下,生成 CO₂、NADH 和相应的酰基辅酶 A。复合物的结构支架由 E2 提供,E1 和 E3 结合在其周围。该家族的三个主要成员是丙酮酸脱氢酶(PDHc)、2-酮戊二酸脱氢酶(OGDHc)和支链 2-氧代酸脱氢酶(BCKDHc)。在这篇综述中,我们报告了基于 NMR 的方法在这些复合物的机制和结构问题上的应用。这些研究揭示了酶促途径中瞬态中间体的性质和反应性,并使用可溶性截断的 E2 成分的结构域构建体,提供了关于结构域界面的架构和结合特异性的特定于位点的信息,这些构建体与 E1 和 E3 成分相互作用。在研究的情况下,NMR 还提供了关于可移动环和可能的流动性和催化关系的信息。

https://cdn.ncbi.nlm.nih.gov/pmc/blobs/cf23/6270654/feda29958d4d/molecules-18-11873-g011.jpg
https://cdn.ncbi.nlm.nih.gov/pmc/blobs/cf23/6270654/1e8d07274384/molecules-18-11873-g012.jpg
https://cdn.ncbi.nlm.nih.gov/pmc/blobs/cf23/6270654/207025132ea2/molecules-18-11873-g013.jpg
https://cdn.ncbi.nlm.nih.gov/pmc/blobs/cf23/6270654/99823f272031/molecules-18-11873-g014.jpg
https://cdn.ncbi.nlm.nih.gov/pmc/blobs/cf23/6270654/fce867245e99/molecules-18-11873-g015.jpg
https://cdn.ncbi.nlm.nih.gov/pmc/blobs/cf23/6270654/b1abc5c25071/molecules-18-11873-g001.jpg
https://cdn.ncbi.nlm.nih.gov/pmc/blobs/cf23/6270654/8e9069888cd3/molecules-18-11873-g002.jpg
https://cdn.ncbi.nlm.nih.gov/pmc/blobs/cf23/6270654/e036181ad663/molecules-18-11873-g003.jpg
https://cdn.ncbi.nlm.nih.gov/pmc/blobs/cf23/6270654/5615dcadfd60/molecules-18-11873-g004.jpg
https://cdn.ncbi.nlm.nih.gov/pmc/blobs/cf23/6270654/a1e5ad973b3a/molecules-18-11873-g005.jpg
https://cdn.ncbi.nlm.nih.gov/pmc/blobs/cf23/6270654/9d5e15dc4812/molecules-18-11873-g006.jpg
https://cdn.ncbi.nlm.nih.gov/pmc/blobs/cf23/6270654/f860e07b5ddb/molecules-18-11873-g007.jpg
https://cdn.ncbi.nlm.nih.gov/pmc/blobs/cf23/6270654/c01fbf471efa/molecules-18-11873-g008.jpg
https://cdn.ncbi.nlm.nih.gov/pmc/blobs/cf23/6270654/a0daae3db325/molecules-18-11873-g009.jpg
https://cdn.ncbi.nlm.nih.gov/pmc/blobs/cf23/6270654/878b88e326f2/molecules-18-11873-g016.jpg
https://cdn.ncbi.nlm.nih.gov/pmc/blobs/cf23/6270654/76aaf4a67bee/molecules-18-11873-g010.jpg
https://cdn.ncbi.nlm.nih.gov/pmc/blobs/cf23/6270654/feda29958d4d/molecules-18-11873-g011.jpg
https://cdn.ncbi.nlm.nih.gov/pmc/blobs/cf23/6270654/1e8d07274384/molecules-18-11873-g012.jpg
https://cdn.ncbi.nlm.nih.gov/pmc/blobs/cf23/6270654/207025132ea2/molecules-18-11873-g013.jpg
https://cdn.ncbi.nlm.nih.gov/pmc/blobs/cf23/6270654/99823f272031/molecules-18-11873-g014.jpg
https://cdn.ncbi.nlm.nih.gov/pmc/blobs/cf23/6270654/fce867245e99/molecules-18-11873-g015.jpg
https://cdn.ncbi.nlm.nih.gov/pmc/blobs/cf23/6270654/b1abc5c25071/molecules-18-11873-g001.jpg
https://cdn.ncbi.nlm.nih.gov/pmc/blobs/cf23/6270654/8e9069888cd3/molecules-18-11873-g002.jpg
https://cdn.ncbi.nlm.nih.gov/pmc/blobs/cf23/6270654/e036181ad663/molecules-18-11873-g003.jpg
https://cdn.ncbi.nlm.nih.gov/pmc/blobs/cf23/6270654/5615dcadfd60/molecules-18-11873-g004.jpg
https://cdn.ncbi.nlm.nih.gov/pmc/blobs/cf23/6270654/a1e5ad973b3a/molecules-18-11873-g005.jpg
https://cdn.ncbi.nlm.nih.gov/pmc/blobs/cf23/6270654/9d5e15dc4812/molecules-18-11873-g006.jpg
https://cdn.ncbi.nlm.nih.gov/pmc/blobs/cf23/6270654/f860e07b5ddb/molecules-18-11873-g007.jpg
https://cdn.ncbi.nlm.nih.gov/pmc/blobs/cf23/6270654/c01fbf471efa/molecules-18-11873-g008.jpg
https://cdn.ncbi.nlm.nih.gov/pmc/blobs/cf23/6270654/a0daae3db325/molecules-18-11873-g009.jpg
https://cdn.ncbi.nlm.nih.gov/pmc/blobs/cf23/6270654/878b88e326f2/molecules-18-11873-g016.jpg
https://cdn.ncbi.nlm.nih.gov/pmc/blobs/cf23/6270654/76aaf4a67bee/molecules-18-11873-g010.jpg
https://cdn.ncbi.nlm.nih.gov/pmc/blobs/cf23/6270654/feda29958d4d/molecules-18-11873-g011.jpg

相似文献

1
Nuclear magnetic resonance approaches in the study of 2-oxo acid dehydrogenase multienzyme complexes--a literature review.核磁共振方法在 2-氧代酸脱氢酶多酶复合物研究中的应用——文献综述。
Molecules. 2013 Sep 26;18(10):11873-903. doi: 10.3390/molecules181011873.
2
Structural bases for the specific interactions between the E2 and E3 components of the Thermus thermophilus 2-oxo acid dehydrogenase complexes.嗜热栖热菌2-氧代酸脱氢酶复合物中E2和E3组分之间特异性相互作用的结构基础。
J Biochem. 2008 Jun;143(6):747-58. doi: 10.1093/jb/mvn033. Epub 2008 Mar 3.
3
Competence of Thiamin Diphosphate-Dependent Enzymes with 2'-Methoxythiamin Diphosphate Derived from Bacimethrin, a Naturally Occurring Thiamin Anti-vitamin.硫胺素二磷酸依赖性酶与源自天然存在的硫胺素抗维生素巴西菌素的2'-甲氧基硫胺素二磷酸的活性
Biochemistry. 2016 Feb 23;55(7):1135-48. doi: 10.1021/acs.biochem.5b01300. Epub 2016 Feb 8.
4
Kinetics and specificity of reductive acylation of wild-type and mutated lipoyl domains of 2-oxo-acid dehydrogenase complexes from Azotobacter vinelandii.来自棕色固氮菌的2-氧代酸脱氢酶复合物野生型和突变型硫辛酰结构域的还原酰化动力学及特异性
Eur J Biochem. 1998 Feb 15;252(1):45-50. doi: 10.1046/j.1432-1327.1998.2520045.x.
5
Dual role of a single multienzyme complex in the oxidative decarboxylation of pyruvate and branched-chain 2-oxo acids in Bacillus subtilis.单一多酶复合物在枯草芽孢杆菌丙酮酸和支链2-氧代酸氧化脱羧反应中的双重作用。
Biochem J. 1983 Oct 1;215(1):133-40. doi: 10.1042/bj2150133.
6
The mitochondrial 2-oxoadipate and 2-oxoglutarate dehydrogenase complexes share their E2 and E3 components for their function and both generate reactive oxygen species.线粒体 2-氧代戊二酸和 2-氧代戊二酸脱氢酶复合物共享其 E2 和 E3 成分以发挥其功能,并且两者均会产生活性氧物质。
Free Radic Biol Med. 2018 Feb 1;115:136-145. doi: 10.1016/j.freeradbiomed.2017.11.018. Epub 2017 Dec 1.
7
Catalytic and structural properties of the dihydrolipoyl transacylase component of bovine branched-chain alpha-keto acid dehydrogenase.牛支链α-酮酸脱氢酶二氢硫辛酰转乙酰基酶组分的催化和结构特性
J Biol Chem. 1984 Jul 25;259(14):9277-84.
8
2-Oxo-3-alkynoic acids, universal mechanism-based inactivators of thiamin diphosphate-dependent decarboxylases: synthesis and evidence for potent inactivation of the pyruvate dehydrogenase multienzyme complex.2-氧代-3-炔酸,硫胺素二磷酸依赖性脱羧酶的通用基于机制的失活剂:丙酮酸脱氢酶多酶复合物有效失活的合成与证据
Biochemistry. 1997 Jul 1;36(26):8071-81. doi: 10.1021/bi970094y.
9
Distinct modes of recognition of the lipoyl domain as substrate by the E1 and E3 components of the pyruvate dehydrogenase multienzyme complex.丙酮酸脱氢酶多酶复合体的E1和E3组分将硫辛酰结构域识别为底物的不同模式。
J Mol Biol. 2007 Feb 9;366(1):132-9. doi: 10.1016/j.jmb.2006.11.018. Epub 2006 Nov 10.
10
A 'random steady-state' model for the pyruvate dehydrogenase and alpha-ketoglutarate dehydrogenase enzyme complexes.丙酮酸脱氢酶和α-酮戊二酸脱氢酶复合物的“随机稳态”模型。
Phys Biol. 2010 Mar 12;7:16016. doi: 10.1088/1478-3975/7/1/016016.

引用本文的文献

1
Sperm metabolomic signatures of asthenozoospermia and teratozoospermia in Chinese reproductive-age men.中国育龄男性弱精子症和畸形精子症的精子代谢组学特征
Sci Rep. 2025 Jul 4;15(1):23932. doi: 10.1038/s41598-025-09787-1.
2
Succinylome Profiling the Function and Distribution of Lysine Succinylation in Saccharopolyspora erythraea.琥珀酰化组学:对红色糖多孢菌中赖氨酸琥珀酰化的功能和分布进行分析
Appl Biochem Biotechnol. 2025 Apr;197(4):2610-2623. doi: 10.1007/s12010-024-05176-y. Epub 2025 Jan 8.
3
Lipoic acid. Kinetics and pluripotent biological properties and derivatives.

本文引用的文献

1
Insight to the interaction of the dihydrolipoamide acetyltransferase (E2) core with the peripheral components in the Escherichia coli pyruvate dehydrogenase complex via multifaceted structural approaches.通过多方面的结构方法深入了解大肠杆菌丙酮酸脱氢酶复合物中二氢硫辛酰胺乙酰转移酶(E2)核心与外围组件的相互作用。
J Biol Chem. 2013 May 24;288(21):15402-17. doi: 10.1074/jbc.M113.466789. Epub 2013 Apr 11.
2
Determination of pre-steady-state rate constants on the Escherichia coli pyruvate dehydrogenase complex reveals that loop movement controls the rate-limiting step.测定大肠杆菌丙酮酸脱氢酶复合物的准稳定态速率常数表明,环的运动控制着限速步骤。
J Am Chem Soc. 2012 Nov 14;134(45):18644-55. doi: 10.1021/ja3062375. Epub 2012 Nov 2.
3
硫辛酸。动力学和多能生物特性及其衍生物。
Mol Biol Rep. 2021 Sep;48(9):6539-6550. doi: 10.1007/s11033-021-06643-z. Epub 2021 Aug 22.
4
Metabolic Regulation of Hypoxia-Inducible Transcription Factors: The Role of Small Molecule Metabolites and Iron.缺氧诱导转录因子的代谢调控:小分子代谢物和铁的作用
Biomedicines. 2018 May 17;6(2):60. doi: 10.3390/biomedicines6020060.
5
Roles of pyruvate dehydrogenase and branched-chain α-keto acid dehydrogenase in branched-chain membrane fatty acid levels and associated functions in Staphylococcus aureus.丙酮酸脱氢酶和支链α-酮酸脱氢酶在金黄色葡萄球菌支链膜脂肪酸水平及相关功能中的作用
J Med Microbiol. 2018 Apr;67(4):570-578. doi: 10.1099/jmm.0.000707. Epub 2018 Mar 2.
6
Genetic analysis of the Warburg effect in yeast.酵母中瓦伯格效应的遗传分析。
Adv Biol Regul. 2015 Jan;57:185-92. doi: 10.1016/j.jbior.2014.09.009. Epub 2014 Sep 30.
Solid-state nuclear magnetic resonance studies delineate the role of the protein in activation of both aromatic rings of thiamin.固态核磁共振研究阐明了该蛋白在激活硫胺素两个芳环中的作用。
J Am Chem Soc. 2012 Jan 11;134(1):665-72. doi: 10.1021/ja209856x. Epub 2011 Dec 9.
4
Solid-state NMR and density functional theory studies of ionization states of thiamin.固态 NMR 和密度泛函理论研究硫胺素的离子态。
J Phys Chem B. 2011 Feb 3;115(4):730-6. doi: 10.1021/jp109765b. Epub 2010 Dec 22.
5
Solid-state NMR studies of HIV-1 capsid protein assemblies.固态 NMR 研究 HIV-1 衣壳蛋白组装。
J Am Chem Soc. 2010 Feb 17;132(6):1976-87. doi: 10.1021/ja908687k.
6
Nuclear magnetic resonance evidence for the role of the flexible regions of the E1 component of the pyruvate dehydrogenase complex from gram-negative bacteria.核磁共振证据表明革兰氏阴性菌丙酮酸脱氢酶复合物 E1 成分的柔性区域的作用。
J Biol Chem. 2010 Feb 12;285(7):4680-94. doi: 10.1074/jbc.M109.082842. Epub 2009 Dec 7.
7
Solid-state and solution NMR studies of the CAP-Gly domain of mammalian dynactin and its interaction with microtubules.哺乳动物动力蛋白激活蛋白(dynactin)的CAP-Gly结构域及其与微管相互作用的固态和溶液核磁共振研究。
J Am Chem Soc. 2009 Jul 29;131(29):10113-26. doi: 10.1021/ja902003u.
8
Reaction mechanisms of thiamin diphosphate enzymes: redox reactions.硫胺素二磷酸酶的反应机制:氧化还原反应。
FEBS J. 2009 May;276(9):2454-68. doi: 10.1111/j.1742-4658.2009.06966.x. Epub 2009 Mar 16.
9
Structural basis for inactivation of the human pyruvate dehydrogenase complex by phosphorylation: role of disordered phosphorylation loops.磷酸化导致人丙酮酸脱氢酶复合体失活的结构基础:无序磷酸化环的作用
Structure. 2008 Dec 10;16(12):1849-59. doi: 10.1016/j.str.2008.10.010.
10
Thiamin diphosphate catalysis: enzymic and nonenzymic covalent intermediates.硫胺素二磷酸催化作用:酶促和非酶促共价中间体
Chem Rev. 2008 Jun;108(6):1797-833. doi: 10.1021/cr068444m. Epub 2008 May 21.