Nordic Bioscience, Fibrosis Biology and Biomarkers, Herlev, Denmark.
Aliment Pharmacol Ther. 2013 Nov;38(9):1086-96. doi: 10.1111/apt.12484. Epub 2013 Sep 15.
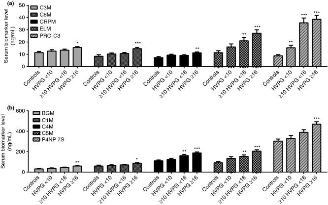
The hepatic venous pressure gradient (HVPG) is an invasive, but important diagnostic and prognostic marker in cirrhosis with portal hypertension (PHT). During cirrhosis, remodelling of fibrotic tissue by matrix metalloproteinases (MMPs) is a permanent process generating small fragments of degraded extracellular matrix (ECM) proteins known as neoepitopes, which are then released into the circulation.
To investigate their potential as plasma markers for detection of PHT.
Ninety-four patients with alcoholic cirrhosis and 20 liver-healthy controls were included. Clinical and laboratory data of the patients were collected. All patients received HVPG measurement with blood sampling. In these samples, the following degradation or formation markers were measured: C1M (type I-collagen), C3M and PRO-C3 (type III collagen), C4M and P4NP 7S (type IV collagen), C5M (type V collagen), C6M (type VI collagen), BGM (biglycan), ELM (elastin), CRPM (CRP).
All ECM markers except for CRPM correlated significantly with HVPG. Interestingly, C4M, C5M and ELM levels were significantly higher in patients with HVPG >10 mmHg. Multiple regression analysis identified PRO-C3, C6M and ELM as significant determinants, while the models A and B including PRO-C3, ELM, C6M and model for end-stage liver disease (MELD) provided better description of PHT (r = 0.75, P < 0.0001). The models provided odds ratios of >100 for having clinical significant PHT.
These novel non-invasive extracellular matrix markers reflect the degree of liver dysfunction. The different degrees of portal hypertension correlated with these circulating neoepitopes. Using a single blood sample, these neoepitopes in combination with MELD detect the level of portal hypertension.
肝静脉压力梯度(HVPG)是肝硬化伴门静脉高压症(PHT)的一种侵入性但重要的诊断和预后标志物。在肝硬化中,基质金属蛋白酶(MMPs)对纤维组织的重塑是一个永久的过程,会产生已知的降解细胞外基质(ECM)蛋白的小片段,即新表位,然后这些新表位被释放到循环中。
研究其作为检测 PHT 的血浆标志物的潜力。
纳入 94 例酒精性肝硬化患者和 20 例肝健康对照者。收集患者的临床和实验室数据。所有患者均接受 HVPG 测量和血液采样。在这些样本中,测量了以下降解或形成标志物:C1M(I 型胶原)、C3M 和 PRO-C3(III 型胶原)、C4M 和 P4NP 7S(IV 型胶原)、C5M(V 型胶原)、C6M(VI 型胶原)、BGM(biglycan)、ELM(弹性蛋白)、CRPM(CRP)。
除 CRPM 外,所有 ECM 标志物均与 HVPG 显著相关。有趣的是,HVPG >10mmHg 的患者 C4M、C5M 和 ELM 水平显著升高。多元回归分析确定 PRO-C3、C6M 和 ELM 为显著决定因素,而包括 PRO-C3、ELM、C6M 和终末期肝病模型(MELD)的模型 A 和 B 提供了对 PHT 的更好描述(r=0.75,P<0.0001)。这些模型提供了>100 的患有临床显著 PHT 的比值比。
这些新型非侵入性细胞外基质标志物反映了肝功能障碍的程度。不同程度的门静脉高压与这些循环新表位相关。使用单个血样,这些新表位与 MELD 结合可检测门静脉高压的程度。