Beijing Institute of Genomics, Chinese Academy of Sciences, Beijing 100101, China.
Genomics Proteomics Bioinformatics. 2013 Oct;11(5):320-6. doi: 10.1016/j.gpb.2013.09.006. Epub 2013 Oct 4.
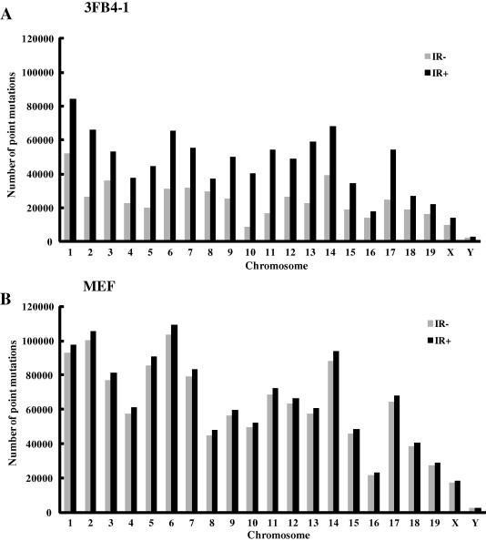
Induced pluripotent stem cells (iPSCs) resemble embryonic stem cells (ESCs) in morphology, gene expression and in vitro differentiation, raising new hope for personalized clinical therapy. While many efforts have been made to improve reprogramming efficiency, significant problems such as genomic instability of iPSCs need to be addressed before clinical therapy. In this study, we try to figure out the real genomic state of iPSCs and their DNA damage response to ionizing radiation (IR). We found that iPSC line 3FB4-1 had lower DNA damage repair ability than mouse embryonic fibroblast (MEF) cells, from which 3FB4-1line was derived. After the introduction of DNA damage by IR, the number of γ-H2AX foci in 3FB4-1 increased modestly compared to a large increase seen in MEF, albeit both significantly (P<0.01). In addition, whole-genome sequencing analysis showed that after IR, 3FB4-1 possessed more point mutations than MEF and the point mutations spread all over chromosomes. These observations provide evidence that iPSCs are more sensitive to ionizing radiation and their relatively low DNA damage repair capacity may account for their high radiosensitivity. The compromised DNA damage repair capacity of iPSCs should be considered when used in clinical therapy.
诱导多能干细胞(iPSCs)在形态、基因表达和体外分化方面与胚胎干细胞(ESCs)相似,为个性化临床治疗带来了新的希望。虽然已经做出了许多努力来提高重编程效率,但在临床治疗之前,还需要解决 iPSCs 的基因组不稳定性等重大问题。在这项研究中,我们试图了解 iPSCs 的真实基因组状态及其对电离辐射(IR)的 DNA 损伤反应。我们发现,iPSC 系 3FB4-1 的 DNA 损伤修复能力低于其来源的小鼠胚胎成纤维细胞(MEF)细胞。与 MEF 细胞相比,IR 引入 DNA 损伤后,3FB4-1 中的 γ-H2AX 焦点数量略有增加,尽管两者均显著增加(P<0.01)。此外,全基因组测序分析表明,IR 后,3FB4-1 比 MEF 具有更多的点突变,并且点突变遍布染色体。这些观察结果为 iPSCs 对电离辐射更敏感提供了证据,其相对较低的 DNA 损伤修复能力可能是其高放射敏感性的原因。在临床治疗中使用 iPSCs 时,应考虑其受损的 DNA 损伤修复能力。