Suppr超能文献

HPV 感染向宫颈病变或清除进展的自然史:大型随机 PATRICIA 研究对照臂的分析。

Natural history of progression of HPV infection to cervical lesion or clearance: analysis of the control arm of the large, randomised PATRICIA study.

机构信息

Department of Obstetrics and Gynaecology, Faculty of Medicine, Chulalongkorn University, Bangkok, Thailand.

出版信息

PLoS One. 2013 Nov 19;8(11):e79260. doi: 10.1371/journal.pone.0079260. eCollection 2013.

Abstract

BACKGROUND

The control arm of PATRICIA (PApilloma TRIal against Cancer In young Adults, NCT00122681) was used to investigate the risk of progression from cervical HPV infection to cervical intraepithelial neoplasia (CIN) or clearance of infection, and associated determinants.

METHODS AND FINDINGS

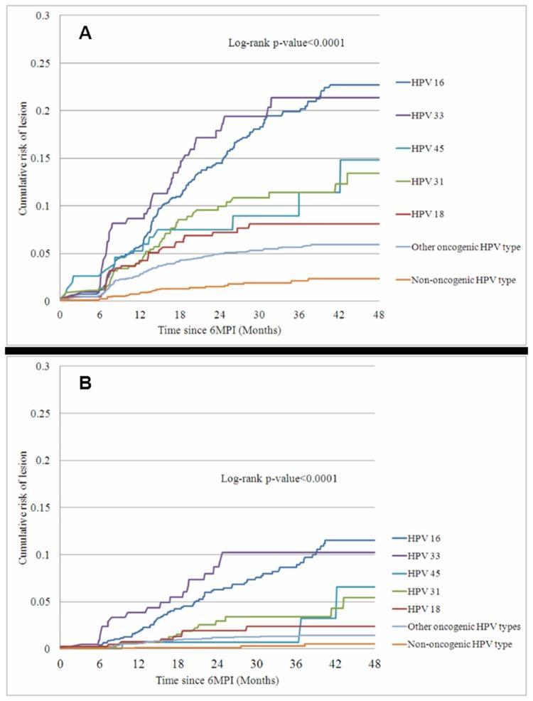
Women aged 15-25 years were enrolled. A 6-month persistent HPV infection (6MPI) was defined as detection of the same HPV type at two consecutive evaluations over 6 months and clearance as ≥2 type-specific HPV negative samples taken at two consecutive intervals of approximately 6 months following a positive sample. The primary endpoint was CIN grade 2 or greater (CIN2+) associated with the same HPV type as a 6MPI. Secondary endpoints were CIN1+/CIN3+ associated with the same HPV type as a 6MPI; CIN1+/CIN2+/CIN3+ associated with an infection of any duration; and clearance of infection. The analyses included 4825 women with 16,785 infections (3363 women with 6902 6MPIs). Risk of developing a CIN1+/CIN2+/CIN3+ associated with same HPV type as a 6MPI varied with HPV type and was significantly higher for oncogenic versus non-oncogenic types. Hazard ratios for development of CIN2+ were 10.44 (95% CI: 6.96-15.65), 9.65 (5.97-15.60), 5.68 (3.50-9.21), 5.38 (2.87-10.06) and 3.87 (2.38-6.30) for HPV-16, HPV-33, HPV-31, HPV-45 and HPV-18, respectively. HPV-16 or HPV-33 6MPIs had ~25-fold higher risk for progression to CIN3+. Previous or concomitant HPV infection or CIN1+ associated with a different HPV type increased risk. Of the different oncogenic HPV types, HPV-16 and HPV-31 infections were least likely to clear.

CONCLUSIONS

Cervical infections with oncogenic HPV types increased the risk of CIN2+ and CIN3+. Previous or concomitant infection or CIN1+ also increased the risk. HPV-16 and HPV-33 have by far the highest risk of progression to CIN3+, and HPV-16 and HPV-31 have the lowest chance of clearance.

摘要

背景

PATRICIA(青少年宫颈癌疫苗试验,NCT00122681)的对照臂用于研究从 HPV 感染到宫颈上皮内瘤变(CIN)或清除感染的进展风险,以及相关的决定因素。

方法和发现

纳入年龄在 15-25 岁的女性。6 个月持续 HPV 感染(6MPI)定义为在 6 个月内连续两次检测到相同的 HPV 类型,清除定义为在阳性样本后连续两次约 6 个月内至少有两次 HPV 阴性样本。主要终点是与 6MPI 相同 HPV 类型相关的 CIN2+。次要终点是与 6MPI 相同 HPV 类型相关的 CIN1+/CIN3+;与任何持续时间的感染相关的 CIN1+/CIN2+/CIN3+;以及感染清除。分析包括 4825 名女性,共 16785 次感染(3363 名女性,6902 次 6MPI)。与 6MPI 相同 HPV 类型相关的 CIN1+/CIN2+/CIN3+的发展风险因 HPV 类型而异,致癌型与非致癌型相比风险显著增加。发展为 CIN2+的风险比(HR)分别为 10.44(95%CI:6.96-15.65)、9.65(5.97-15.60)、5.68(3.50-9.21)、5.38(2.87-10.06)和 3.87(2.38-6.30),HPV-16、HPV-33、HPV-31、HPV-45 和 HPV-18。HPV-16 或 HPV-33 6MPI 进展为 CIN3+的风险增加了约 25 倍。以前或同时的 HPV 感染或与不同 HPV 类型相关的 CIN1+增加了风险。在不同的致癌 HPV 类型中,HPV-16 和 HPV-31 感染最不可能清除。

结论

致癌型 HPV 感染增加了 CIN2+和 CIN3+的风险。以前或同时的感染或 CIN1+也增加了风险。HPV-16 和 HPV-33 进展为 CIN3+的风险最高,而 HPV-16 和 HPV-31 清除的可能性最低。

https://cdn.ncbi.nlm.nih.gov/pmc/blobs/5e24/3834039/ab0c2f932919/pone.0079260.g001.jpg

文献AI研究员

20分钟写一篇综述,助力文献阅读效率提升50倍。

立即体验

用中文搜PubMed

大模型驱动的PubMed中文搜索引擎

马上搜索

文档翻译

学术文献翻译模型,支持多种主流文档格式。

立即体验