Suppr超能文献

副结核病疫苗接种仅在牛结核病皮肤试验诊断中引起有限的交叉反应。

Paratuberculosis vaccination causes only limited cross-reactivity in the skin test for diagnosis of bovine tuberculosis.

机构信息

NEIKER-Tecnalia, Animal Health Department, Derio, Bizkaia, Spain.

出版信息

PLoS One. 2013 Nov 26;8(11):e80985. doi: 10.1371/journal.pone.0080985. eCollection 2013.

Abstract

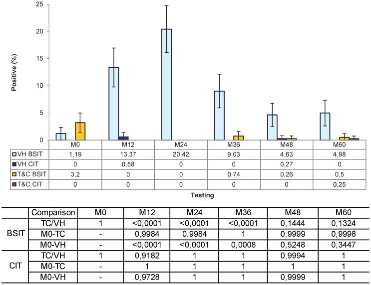
Although there is a wide consensus on the efficacy of paratuberculosis vaccination to limit economic losses, its use has been restricted because of its interference in the diagnosis of tuberculosis. Data from a vaccine clinical trial in the Basque Country (Spain) has been evaluated in relationship with bovine tuberculosis intradermal test results. The trial included two herds applying a Test and Culling strategy and five applying an inactivated vaccine. The vaccine was applied to animals of all ages present in each vaccinated herd when joining the trial, and then to all the replacers within their first three months of life. Yearly testing done with the comparative intradermal test (CIT) was applied to all animals older than 6 weeks. Between 2005 and 2011, the study generated 2,033 records from Vaccinated Herds (VH) and 2,252 from Test and Cull herds (TC). Pre-vaccination positive results rate was 2.40% among the 7 herds in the single bovine intradermal tuberculin test (BSIT). Two years later it rose to 20.42% in the VH and remained below at 0.75% in the TC. Applying the CIT reduced these rates to only 0.58% in the VH and to 0.25% in the TC ons. Regarding time since each animal joined the program, the proportion of positives to BSIT was variable and, in some cases, significantly different between time points. With regard to the age of vaccination, no significant differences were found between vaccination within the first year of life and afterwards. Vaccinated animals showed seventeen times more reactions than the non-vaccinated in the BSIT, but only four times more in the CIT. In conclusion, comparative intradermal test can be a useful tool to differentiate paratuberculosis vaccine cross-reactions from specific bovine tuberculosis reactions according to the European and Spanish legislation.

摘要

虽然人们普遍认为副结核病疫苗接种在限制经济损失方面是有效的,但由于其对结核病诊断的干扰,其使用受到了限制。巴斯克地区(西班牙)疫苗临床试验的数据已根据牛结核病皮内试验结果进行了评估。该试验包括两个采用检测和淘汰策略的牛群和五个采用灭活疫苗的牛群。疫苗接种应用于每个接种牛群中所有年龄段的动物,然后在其生命的头三个月内接种所有的替代者。每年对所有 6 周龄以上的动物进行比较皮内试验(CIT)。在 2005 年至 2011 年期间,该研究从接种牛群(VH)中生成了 2033 条记录,从检测和淘汰牛群(TC)中生成了 2252 条记录。在单个牛结核菌素皮内试验(BSIT)中,7 个牛群的预接种阳性率为 2.40%。两年后,VH 上升至 20.42%,而 TC 则保持在 0.75%以下。应用 CIT 将这些比率降低到 VH 中的 0.58%和 TC 中的 0.25%。关于每只动物加入该计划的时间,BSIT 的阳性比例是可变的,在某些情况下,不同时间点之间存在显著差异。关于接种年龄,在生命的头一年接种和之后接种之间没有发现显著差异。在 BSIT 中,接种动物的反应比未接种动物多 17 倍,但在 CIT 中只多 4 倍。总之,根据欧洲和西班牙的法规,比较皮内试验可以成为区分副结核病疫苗交叉反应与特定牛结核病反应的有用工具。

https://cdn.ncbi.nlm.nih.gov/pmc/blobs/1ea6/3841166/562972efce8a/pone.0080985.g001.jpg

文献AI研究员

20分钟写一篇综述,助力文献阅读效率提升50倍。

立即体验

用中文搜PubMed

大模型驱动的PubMed中文搜索引擎

马上搜索

文档翻译

学术文献翻译模型,支持多种主流文档格式。

立即体验