Suppr超能文献

产前和产后营养干预对儿童生长和身体成分的影响:孟加拉国农村地区的 MINIMat 试验。

Effects of pre- and postnatal nutrition interventions on child growth and body composition: the MINIMat trial in rural Bangladesh.

机构信息

icddr,b, Dhaka, Bangladesh; Department of Women's and Children's Health, International Maternal and Child Health, Uppsala University, Uppsala, Sweden;

出版信息

Glob Health Action. 2013 Dec 13;6:22476. doi: 10.3402/gha.v6i0.22476.

Abstract

BACKGROUND

Nutritional insults and conditions during fetal life and infancy influence subsequent growth and body composition of children.

OBJECTIVES

Effects of maternal food and micronutrient supplementation and exclusive breastfeeding counseling on growth of offspring aged 0-54 months and their body composition at 54 months of age were studied.

METHODS

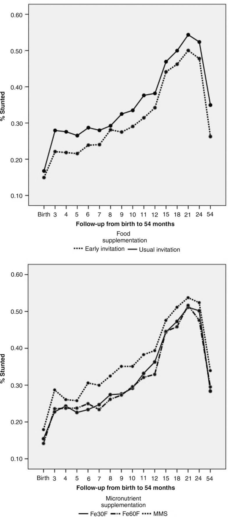
In the MINIMat trial (ISRCTN16581394) in Matlab, Bangladesh, pregnant women were randomized to early (around 9 weeks) or usual invitation (around 20 weeks) to food supplementation and to one of the three daily micronutrient supplements: 30-mg Fe and 400-µg folic acid (Fe30F), 60-mg Fe and 400-µg folic acid (Fe60F), and multiple micronutrient supplements (MMS). The supplements were also randomized to exclusive breastfeeding (EBF) counseling or to usual health messages.

RESULTS

No differences in background characteristics were observed among the intervention groups. There was also no differential effect of prenatal interventions on birthweight or birthlength. Early food supplementation reduced the level of stunting from early infancy up to 54 months of age among boys (average difference - 6.5% units, 95% confidence interval [CI] 1.7-11.3, p=0.01) but not among girls (average difference - 2.4% units, 95% CI -2.2-7.0, p=0.31). MMS resulted in more stunting compared to standard Fe60F (average difference - 4.8% units, 95% CI 0.8-8.9, p=0.02). Breastfeeding counseling prolonged the duration of EBF (difference - 35 days, 95% CI 30.6-39.5, p<0.001). Neither pregnancy interventions nor breastfeeding counseling influenced the body composition of children at 54 months of age.

CONCLUSION

Early food supplementation during pregnancy reduced the occurrence of stunting among boys aged 0-54 months, while prenatal MMS increased the proportion of stunting. Food and micronutrient supplementation or EBF intervention did not affect body composition of offspring at 54 months of age. The effects of prenatal interventions on postnatal growth suggest programming effects in early fetal life.

摘要

背景

胎儿期和婴儿期的营养损伤和状况会影响儿童后续的生长和身体成分。

目的

本研究旨在探讨母体食物和微量营养素补充以及纯母乳喂养咨询对 0-54 月龄后代生长及其 54 月龄时身体成分的影响。

方法

在孟加拉国 Matlab 的 MINIMat 试验(ISRCTN80604654)中,孕妇被随机分配至早期(约 9 周)或常规(约 20 周)接受食物补充,并随机分配至三种每日微量营养素补充剂之一:30mg 铁和 400μg 叶酸(Fe30F)、60mg 铁和 400μg 叶酸(Fe60F)和多种微量营养素补充剂(MMS)。补充剂也随机分配至纯母乳喂养(EBF)咨询或常规健康信息。

结果

干预组之间的背景特征无差异。产前干预对出生体重或出生身长也无差异影响。早期食物补充减少了男孩(平均差异-6.5%,95%置信区间[CI]为 1.7-11.3,p=0.01)而非女孩(平均差异-2.4%,95%CI 为-2.2-7.0,p=0.31)从婴儿早期到 54 月龄时的生长迟缓发生率。与标准 Fe60F 相比,MMS 导致更多的生长迟缓(平均差异-4.8%,95%CI 为 0.8-8.9,p=0.02)。母乳喂养咨询延长了 EBF 的持续时间(差异-35 天,95%CI 为 30.6-39.5,p<0.001)。妊娠干预或母乳喂养咨询均未影响 54 月龄儿童的身体成分。

结论

孕期早期食物补充减少了 0-54 月龄男孩的生长迟缓发生率,而产前 MMS 增加了生长迟缓的比例。食物和微量营养素补充或 EBF 干预对 54 月龄后代的身体成分没有影响。产前干预对产后生长的影响提示早期胎儿生活中存在编程效应。

https://cdn.ncbi.nlm.nih.gov/pmc/blobs/5d5b/3864158/9638b9f85898/GHA-6-22476-g001.jpg

文献AI研究员

20分钟写一篇综述,助力文献阅读效率提升50倍。

立即体验

用中文搜PubMed

大模型驱动的PubMed中文搜索引擎

马上搜索

文档翻译

学术文献翻译模型,支持多种主流文档格式。

立即体验