Suppr超能文献

高通量 Sanger 策略在人类线粒体基因组测序中的应用。

A high-throughput Sanger strategy for human mitochondrial genome sequencing.

机构信息

American Registry of Pathology, 120A Old Camden Rd,, Camden DE 19934, USA.

出版信息

BMC Genomics. 2013 Dec 16;14:881. doi: 10.1186/1471-2164-14-881.

Abstract

BACKGROUND

A population reference database of complete human mitochondrial genome (mtGenome) sequences is needed to enable the use of mitochondrial DNA (mtDNA) coding region data in forensic casework applications. However, the development of entire mtGenome haplotypes to forensic data quality standards is difficult and laborious. A Sanger-based amplification and sequencing strategy that is designed for automated processing, yet routinely produces high quality sequences, is needed to facilitate high-volume production of these mtGenome data sets.

RESULTS

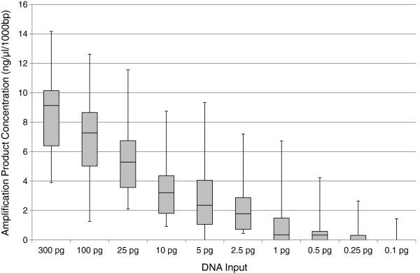
We developed a robust 8-amplicon Sanger sequencing strategy that regularly produces complete, forensic-quality mtGenome haplotypes in the first pass of data generation. The protocol works equally well on samples representing diverse mtDNA haplogroups and DNA input quantities ranging from 50 pg to 1 ng, and can be applied to specimens of varying DNA quality. The complete workflow was specifically designed for implementation on robotic instrumentation, which increases throughput and reduces both the opportunities for error inherent to manual processing and the cost of generating full mtGenome sequences.

CONCLUSIONS

The described strategy will assist efforts to generate complete mtGenome haplotypes which meet the highest data quality expectations for forensic genetic and other applications. Additionally, high-quality data produced using this protocol can be used to assess mtDNA data developed using newer technologies and chemistries. Further, the amplification strategy can be used to enrich for mtDNA as a first step in sample preparation for targeted next-generation sequencing.

摘要

背景

为了在法医学案件应用中使用线粒体 DNA(mtDNA)编码区数据,需要建立完整的人类线粒体基因组(mtGenome)序列的群体参考数据库。然而,开发符合法医数据质量标准的整个 mtGenome 单倍型是困难且费力的。需要一种基于 Sanger 的扩增和测序策略,该策略专为自动化处理而设计,但常规情况下会产生高质量的序列,以促进这些 mtGenome 数据集的批量生产。

结果

我们开发了一种强大的 8 个扩增子 Sanger 测序策略,该策略在数据生成的第一遍中常规产生完整的、具有法医质量的 mtGenome 单倍型。该方案对代表不同 mtDNA 单倍群的样本和从 50 pg 到 1 ng 的 DNA 输入量都同样有效,并且可以应用于不同 DNA 质量的标本。完整的工作流程专门设计用于机器人仪器上的实施,这增加了通量,并减少了手动处理固有的错误机会和生成完整 mtGenome 序列的成本。

结论

所描述的策略将有助于生成符合法医遗传和其他应用的最高数据质量期望的完整 mtGenome 单倍型。此外,使用该方案产生的高质量数据可用于评估使用更新技术和化学物质开发的 mtDNA 数据。此外,扩增策略可用作靶向下一代测序样本制备的第一步,用于富集 mtDNA。

https://cdn.ncbi.nlm.nih.gov/pmc/blobs/1033/3878621/bc14c670652e/1471-2164-14-881-1.jpg

文献AI研究员

20分钟写一篇综述,助力文献阅读效率提升50倍。

立即体验

用中文搜PubMed

大模型驱动的PubMed中文搜索引擎

马上搜索

文档翻译

学术文献翻译模型,支持多种主流文档格式。

立即体验